Suppr超能文献

液-液相分离改变了无序蛋白的动态特性。

Liquid-Liquid Phase Separation Modifies the Dynamic Properties of Intrinsically Disordered Proteins.

机构信息

Institut de Biologie Structurale, Université Grenoble Alpes-CEA-CNRS, 71, Avenue des Martyrs, 38000 Grenoble, France.

出版信息

J Am Chem Soc. 2023 May 17;145(19):10548-10563. doi: 10.1021/jacs.2c13647. Epub 2023 May 5.

Abstract

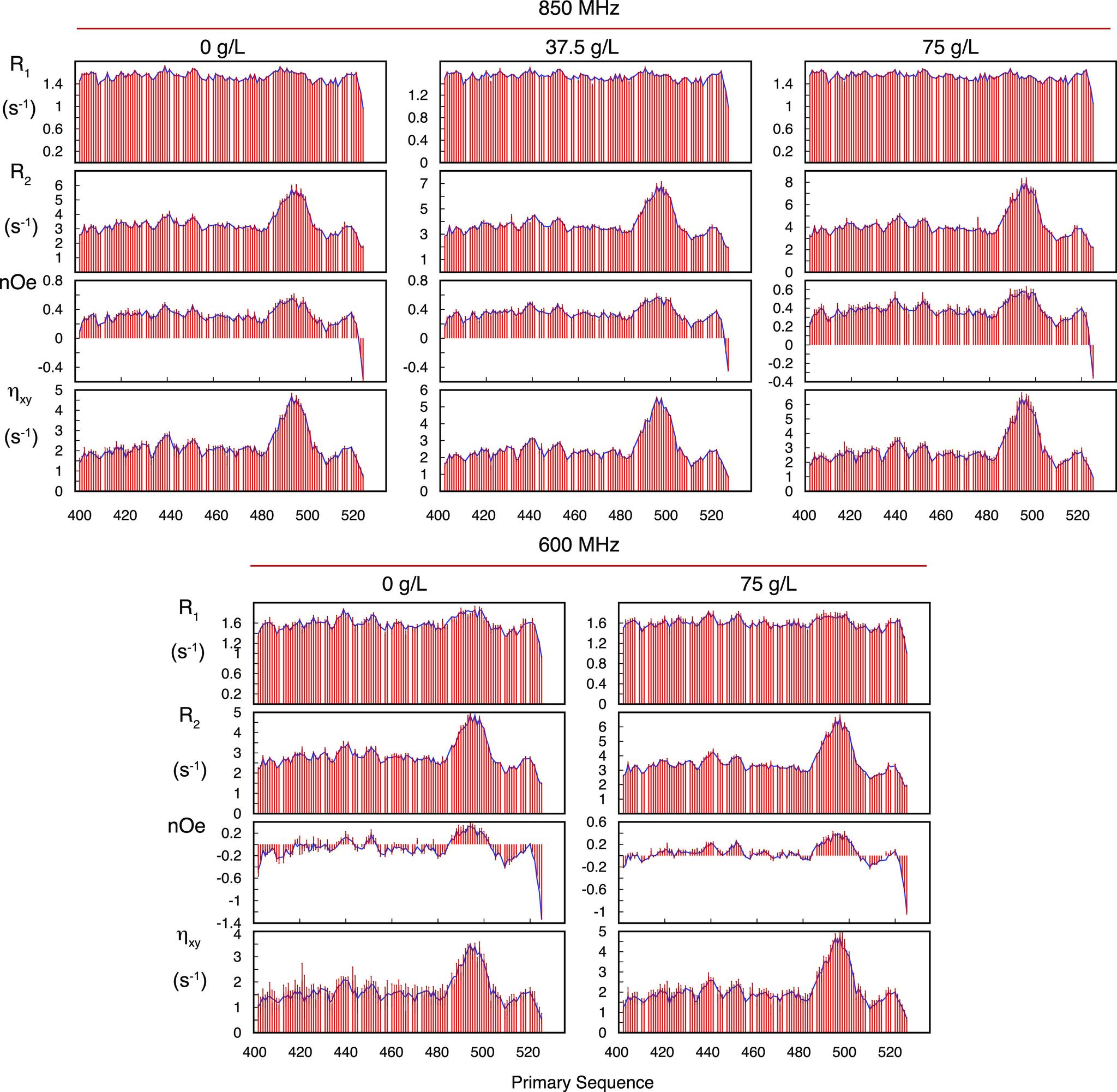
Liquid-liquid phase separation of flexible biomolecules has been identified as a ubiquitous phenomenon underlying the formation of membraneless organelles that harbor a multitude of essential cellular processes. We use nuclear magnetic resonance (NMR) spectroscopy to compare the dynamic properties of an intrinsically disordered protein (measles virus ) in the dilute and dense phases at atomic resolution. By measuring N NMR relaxation at different magnetic field strengths, we are able to characterize the dynamics of the protein in dilute and crowded conditions and to compare the amplitude and timescale of the different motional modes to those present in the membraneless organelle. Although the local backbone conformational sampling appears to be largely retained, dynamics occurring on all detectable timescales, including librational, backbone dihedral angle dynamics and segmental, chainlike motions, are considerably slowed down. Their relative amplitudes are also drastically modified, with slower, chain-like motions dominating the dynamic profile. In order to provide additional mechanistic insight, we performed extensive molecular dynamics simulations of the protein under self-crowding conditions at concentrations comparable to those found in the dense liquid phase. Simulation broadly reproduces the impact of formation of the condensed phase on both the free energy landscape and the kinetic interconversion between states. In particular, the experimentally observed reduction in the amplitude of the fastest component of backbone dynamics correlates with higher levels of intermolecular contacts or entanglement observed in simulations, reducing the conformational space available to this mode under strongly self-crowding conditions.

摘要

液态-液态相分离已被确定为无膜细胞器形成的普遍现象,这些细胞器承载着许多重要的细胞过程。我们使用核磁共振(NMR)光谱技术,在原子分辨率下比较了稀相和密相条件下一种固有无序蛋白质(麻疹病毒)的动态特性。通过在不同磁场强度下测量 N 核磁共振弛豫,我们能够在稀相和拥挤条件下表征蛋白质的动力学,并将不同运动模式的幅度和时间尺度与无膜细胞器中的模式进行比较。尽管局部骨架构象采样似乎基本保留,但在所有可检测的时间尺度上发生的动力学,包括摆动、骨架二面角动力学和分段、链式运动,都明显减慢。它们的相对幅度也被大大改变,较慢的链式运动主导了动态轮廓。为了提供更多的机制见解,我们在与密相液体中发现的浓度相当的自拥挤条件下对蛋白质进行了广泛的分子动力学模拟。模拟广泛再现了凝聚相形成对自由能景观和状态之间的动力学转换的影响。特别是,实验观察到的骨架动力学最快成分幅度的减小与模拟中观察到的更高水平的分子间接触或缠结相关联,在强烈的自拥挤条件下,这种模式的构象空间减少。

https://cdn.ncbi.nlm.nih.gov/pmc/blobs/5c15/10197138/fc8dd3d9b314/ja2c13647_0002.jpg

文献AI研究员

20分钟写一篇综述,助力文献阅读效率提升50倍。

立即体验

用中文搜PubMed

大模型驱动的PubMed中文搜索引擎

马上搜索

文档翻译

学术文献翻译模型,支持多种主流文档格式。

立即体验