Department of Physical Education and Health in Biala Podlaska, Faculty in Biala Podlaska, Jozef Pilsudski University of Physical Education, Warsaw, Poland.
Students' Scientific Group of Lifestyle Medicine, 3rd Department of Internal Medicine and Cardiology, Medical University of Warsaw, Warsaw, Poland.
Elife. 2023 May 10;12:e86291. doi: 10.7554/eLife.86291.
Oxygen uptake (VO) is one of the most important measures of fitness and critical vital sign. Cardiopulmonary exercise testing (CPET) is a valuable method of assessing fitness in sport and clinical settings. There is a lack of large studies on athletic populations to predict VO using somatic or submaximal CPET variables. Thus, this study aimed to: (1) derive prediction models for maximal VO (VO) based on submaximal exercise variables at anaerobic threshold (AT) or respiratory compensation point (RCP) or only somatic and (2) internally validate provided equations.
Four thousand four hundred twenty-four male endurance athletes (EA) underwent maximal symptom-limited CPET on a treadmill (n=3330) or cycle ergometer (n=1094). The cohort was randomly divided between: variables selection (n = 1998; n = 656), model building (n = 666; n = 219), and validation (n = 666; n = 219). Random forest was used to select the most significant variables. Models were derived and internally validated with multiple linear regression.
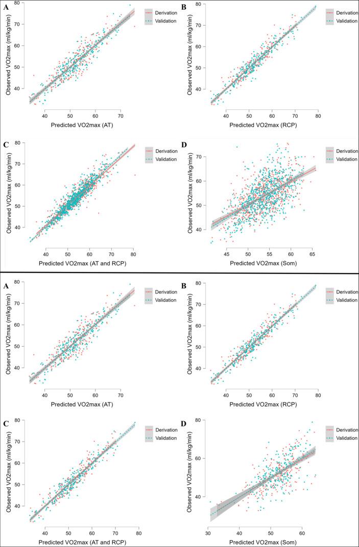
Runners were 36.24±8.45 years; BMI = 23.94 ± 2.43 kg·m; VO=53.81±6.67 mL·min·kg. Cyclists were 37.33±9.13 years; BMI = 24.34 ± 2.63 kg·m; VO=51.74±7.99 mL·min·kg. VO at AT and RCP were the most contributing variables to exercise equations. Body mass and body fat had the highest impact on the somatic equation. Model performance for VO based on variables at AT was R=0.81, at RCP was R=0.91, at AT and RCP was R=0.91 and for somatic-only was R=0.43.
Derived prediction models were highly accurate and fairly replicable. Formulae allow for precise estimation of VO based on submaximal exercise performance or somatic variables. Presented models are applicable for sport and clinical settling. They are a valuable supplementary method for fitness practitioners to adjust individualised training recommendations.
No external funding was received for this work.
氧气摄取量(VO)是衡量健康水平的最重要指标之一,也是关键的生命体征。心肺运动测试(CPET)是评估运动和临床环境下健康水平的一种有价值的方法。目前缺乏针对运动员群体的大型研究,无法使用亚最大运动测试变量或躯体变量预测 VO。因此,本研究旨在:(1)基于无氧阈(AT)或呼吸补偿点(RCP)的亚最大运动变量,或仅基于躯体变量,得出预测最大 VO(VO)的预测模型;(2)对提供的公式进行内部验证。
4424 名男性耐力运动员(EA)在跑步机(n=3330)或固定自行车(n=1094)上进行了最大症状限制 CPET。该队列随机分为:变量选择(n=1998;n=656)、模型构建(n=666;n=219)和验证(n=666;n=219)。随机森林用于选择最重要的变量。使用多元线性回归来推导和内部验证模型。
跑步者的年龄为 36.24±8.45 岁;BMI=23.94 ± 2.43 kg·m;VO=53.81±6.67 mL·min·kg。自行车运动员的年龄为 37.33±9.13 岁;BMI=24.34 ± 2.63 kg·m;VO=51.74±7.99 mL·min·kg。AT 和 RCP 处的 VO 是运动方程中最有贡献的变量。体重和体脂对躯体方程的影响最大。基于 AT 处变量的 VO 预测模型的性能为 R=0.81,基于 RCP 处变量的模型性能为 R=0.91,基于 AT 和 RCP 处变量的模型性能为 R=0.91,基于躯体变量的模型性能为 R=0.43。
得出的预测模型具有很高的准确性和相当的可复制性。这些公式可以根据亚最大运动表现或躯体变量来精确估计 VO。所提出的模型适用于运动和临床环境。它们是健身从业者调整个性化训练建议的一种有价值的补充方法。
本工作无外部资金支持。