• 文献检索
  • 文档翻译
  • 深度研究
  • 学术资讯
  • Suppr Zotero 插件Zotero 插件
  • 邀请有礼
  • 套餐&价格
  • 历史记录
应用&插件
Suppr Zotero 插件Zotero 插件浏览器插件Mac 客户端Windows 客户端微信小程序
定价
高级版会员购买积分包购买API积分包
服务
文献检索文档翻译深度研究API 文档MCP 服务
关于我们
关于 Suppr公司介绍联系我们用户协议隐私条款
关注我们

Suppr 超能文献

核心技术专利:CN118964589B侵权必究
粤ICP备2023148730 号-1Suppr @ 2026

文献检索

告别复杂PubMed语法,用中文像聊天一样搜索,搜遍4000万医学文献。AI智能推荐,让科研检索更轻松。

立即免费搜索

文件翻译

保留排版,准确专业,支持PDF/Word/PPT等文件格式,支持 12+语言互译。

免费翻译文档

深度研究

AI帮你快速写综述,25分钟生成高质量综述,智能提取关键信息,辅助科研写作。

立即免费体验

探索扇出型晶圆级封装中环氧模塑料材料特性对晶圆翘曲的影响。

Exploring the Influence of Material Properties of Epoxy Molding Compound on Wafer Warpage in Fan-Out Wafer-Level Packaging.

作者信息

Chuang Wan-Chun, Huang Yi, Chen Po-En

机构信息

Department of Mechanical and Electromechanical Engineering, Engineering Technology Research & Promotion Center, National Sun Yat-sen University, Kaohsiung 804, Taiwan.

出版信息

Materials (Basel). 2023 Apr 30;16(9):3482. doi: 10.3390/ma16093482.

DOI:10.3390/ma16093482
PMID:37176364
原文链接:https://pmc.ncbi.nlm.nih.gov/articles/PMC10179932/
Abstract

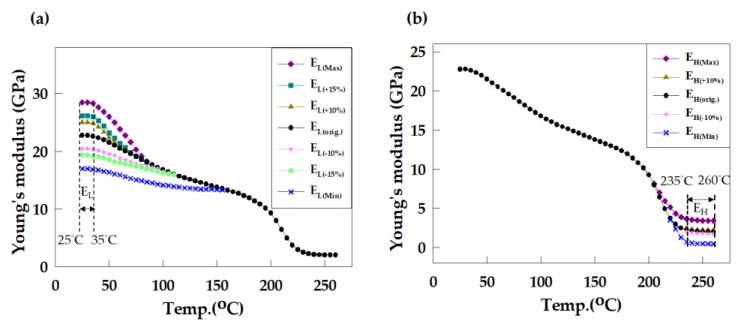
This study investigated the impact of material properties of epoxy molding compounds on wafer warpage in fan-out wafer-level packaging. As there is currently a lack of comprehensive discussion on the various material property parameters of EMC materials, it is essential to identify the critical influencing factors and quantify the effects of each parameter on wafer warpage. The material properties include Young's modulus of the epoxy molding compound before and after the glass transition temperature (Tg) range of 25-35 °C (E) and 235-260 °C (E), coefficient of thermal expansion (α1, α2), and the temperature change (∆T) between E and E. Results show that, within the range of extreme values of material properties, E and α1 are the critical factors that affect wafer warpage during the decarrier process in fan-out packaging. α1 has a more significant impact on wafer warpage compared with E. E, α2, Tg, and ∆T have little influence on wafer warpage. Additionally, the study identified the optimized material property of the epoxy molding compound that can reduce the maximum wafer warpage in the X and Y directions from initial values of 7.34 mm and 7.189 mm to 0.545 mm and 0.45 mm, respectively, resulting in a reduction of wafer warpage of 92.58% (X direction) and 93.74% (Y direction). Thus, this study proposes an approach for evaluating the impact of material properties of epoxy molding compounds on wafer warpage in fan-out wafer-level packaging. The approach aims to address the issue of excessive wafer warpage due to material variation and to provide criteria for selecting appropriate epoxy molding compounds to enhance process yield in packaging production lines.

摘要

本研究调查了环氧模塑料的材料特性对扇出型晶圆级封装中晶圆翘曲的影响。由于目前缺乏对环氧模塑料各种材料特性参数的全面讨论,因此确定关键影响因素并量化每个参数对晶圆翘曲的影响至关重要。材料特性包括玻璃化转变温度(Tg)范围为25 - 35°C(E)和235 - 260°C(E)前后环氧模塑料的杨氏模量、热膨胀系数(α1、α2)以及E和E之间的温度变化(∆T)。结果表明,在材料特性的极值范围内,E和α1是影响扇出型封装去载过程中晶圆翘曲的关键因素。与E相比,α1对晶圆翘曲的影响更大。E、α2、Tg和∆T对晶圆翘曲影响较小。此外,该研究确定了环氧模塑料的优化材料特性,可将晶圆在X和Y方向上的最大翘曲量分别从初始值7.34 mm和7.189 mm降低至0.545 mm和0.45 mm,使晶圆翘曲分别减少92.58%(X方向)和93.74%(Y方向)。因此,本研究提出了一种评估环氧模塑料材料特性对扇出型晶圆级封装中晶圆翘曲影响的方法。该方法旨在解决因材料变化导致的晶圆过度翘曲问题,并为选择合适的环氧模塑料提供标准,以提高封装生产线的工艺良率。

https://cdn.ncbi.nlm.nih.gov/pmc/blobs/ba5f/10179932/7399dc5a19d2/materials-16-03482-g015.jpg
https://cdn.ncbi.nlm.nih.gov/pmc/blobs/ba5f/10179932/1728f75ec405/materials-16-03482-g001.jpg
https://cdn.ncbi.nlm.nih.gov/pmc/blobs/ba5f/10179932/fee55f6fc7b5/materials-16-03482-g002.jpg
https://cdn.ncbi.nlm.nih.gov/pmc/blobs/ba5f/10179932/4925a3b4e51c/materials-16-03482-g003.jpg
https://cdn.ncbi.nlm.nih.gov/pmc/blobs/ba5f/10179932/652a32c9b06d/materials-16-03482-g004.jpg
https://cdn.ncbi.nlm.nih.gov/pmc/blobs/ba5f/10179932/423403fb1052/materials-16-03482-g005.jpg
https://cdn.ncbi.nlm.nih.gov/pmc/blobs/ba5f/10179932/e6dc9460bc30/materials-16-03482-g006.jpg
https://cdn.ncbi.nlm.nih.gov/pmc/blobs/ba5f/10179932/7c82ecb8ef88/materials-16-03482-g007.jpg
https://cdn.ncbi.nlm.nih.gov/pmc/blobs/ba5f/10179932/dc136adfaec8/materials-16-03482-g008.jpg
https://cdn.ncbi.nlm.nih.gov/pmc/blobs/ba5f/10179932/ac246fe86f8d/materials-16-03482-g009.jpg
https://cdn.ncbi.nlm.nih.gov/pmc/blobs/ba5f/10179932/3f46574f6c1f/materials-16-03482-g010.jpg
https://cdn.ncbi.nlm.nih.gov/pmc/blobs/ba5f/10179932/1dd26d3f3bfd/materials-16-03482-g011.jpg
https://cdn.ncbi.nlm.nih.gov/pmc/blobs/ba5f/10179932/ecbe8e2ed52e/materials-16-03482-g012.jpg
https://cdn.ncbi.nlm.nih.gov/pmc/blobs/ba5f/10179932/efa757fb2d50/materials-16-03482-g013.jpg
https://cdn.ncbi.nlm.nih.gov/pmc/blobs/ba5f/10179932/07cb77414213/materials-16-03482-g014.jpg
https://cdn.ncbi.nlm.nih.gov/pmc/blobs/ba5f/10179932/7399dc5a19d2/materials-16-03482-g015.jpg
https://cdn.ncbi.nlm.nih.gov/pmc/blobs/ba5f/10179932/1728f75ec405/materials-16-03482-g001.jpg
https://cdn.ncbi.nlm.nih.gov/pmc/blobs/ba5f/10179932/fee55f6fc7b5/materials-16-03482-g002.jpg
https://cdn.ncbi.nlm.nih.gov/pmc/blobs/ba5f/10179932/4925a3b4e51c/materials-16-03482-g003.jpg
https://cdn.ncbi.nlm.nih.gov/pmc/blobs/ba5f/10179932/652a32c9b06d/materials-16-03482-g004.jpg
https://cdn.ncbi.nlm.nih.gov/pmc/blobs/ba5f/10179932/423403fb1052/materials-16-03482-g005.jpg
https://cdn.ncbi.nlm.nih.gov/pmc/blobs/ba5f/10179932/e6dc9460bc30/materials-16-03482-g006.jpg
https://cdn.ncbi.nlm.nih.gov/pmc/blobs/ba5f/10179932/7c82ecb8ef88/materials-16-03482-g007.jpg
https://cdn.ncbi.nlm.nih.gov/pmc/blobs/ba5f/10179932/dc136adfaec8/materials-16-03482-g008.jpg
https://cdn.ncbi.nlm.nih.gov/pmc/blobs/ba5f/10179932/ac246fe86f8d/materials-16-03482-g009.jpg
https://cdn.ncbi.nlm.nih.gov/pmc/blobs/ba5f/10179932/3f46574f6c1f/materials-16-03482-g010.jpg
https://cdn.ncbi.nlm.nih.gov/pmc/blobs/ba5f/10179932/1dd26d3f3bfd/materials-16-03482-g011.jpg
https://cdn.ncbi.nlm.nih.gov/pmc/blobs/ba5f/10179932/ecbe8e2ed52e/materials-16-03482-g012.jpg
https://cdn.ncbi.nlm.nih.gov/pmc/blobs/ba5f/10179932/efa757fb2d50/materials-16-03482-g013.jpg
https://cdn.ncbi.nlm.nih.gov/pmc/blobs/ba5f/10179932/07cb77414213/materials-16-03482-g014.jpg
https://cdn.ncbi.nlm.nih.gov/pmc/blobs/ba5f/10179932/7399dc5a19d2/materials-16-03482-g015.jpg

相似文献

1
Exploring the Influence of Material Properties of Epoxy Molding Compound on Wafer Warpage in Fan-Out Wafer-Level Packaging.探索扇出型晶圆级封装中环氧模塑料材料特性对晶圆翘曲的影响。
Materials (Basel). 2023 Apr 30;16(9):3482. doi: 10.3390/ma16093482.
2
Investigation of Warpage for Multi-Die Fan-Out Wafer-Level Packaging Process.多芯片扇出型晶圆级封装工艺的翘曲研究
Materials (Basel). 2022 Feb 23;15(5):1683. doi: 10.3390/ma15051683.
3
Warpage Simulation During Fan-Out Wafer-Level Packaging Process with Uncertainty of Material Properties.基于材料属性不确定性的扇出型晶圆级封装过程中的翘曲模拟
J Nanosci Nanotechnol. 2021 May 1;21(5):2987-2991. doi: 10.1166/jnn.2021.19136.
4
Warpage Characteristics and Process Development of Through Silicon Via-Less Interconnection Technology.无硅通孔互连技术的翘曲特性与工艺开发
J Nanosci Nanotechnol. 2018 Aug 1;18(8):5558-5565. doi: 10.1166/jnn.2018.15444.
5
Compensation Method for Die Shift Caused by Flow Drag Force in Wafer-Level Molding Process.晶圆级模塑工艺中流动拖曳力引起的芯片偏移补偿方法。
Micromachines (Basel). 2016 May 24;7(6):95. doi: 10.3390/mi7060095.
6
Optimizing Epoxy Molding Compound Processing: A Multi-Sensor Approach to Enhance Material Characterization and Process Reliability.优化环氧模塑料加工:一种多传感器方法以增强材料特性及工艺可靠性
Polymers (Basel). 2024 May 30;16(11):1540. doi: 10.3390/polym16111540.
7
Process Optimization of the Morphological Properties of Epoxy Resin Molding Compounds Using Response Surface Design.基于响应面设计的环氧树脂模塑料形态性能工艺优化
Polymers (Basel). 2024 Apr 16;16(8):1102. doi: 10.3390/polym16081102.
8
Optimizing Glass Fiber Molding Process Design by Reverse Warping.通过反向翘曲优化玻璃纤维成型工艺设计
Materials (Basel). 2020 Mar 5;13(5):1151. doi: 10.3390/ma13051151.
9
Theoretical and Experimental Investigation of Warpage Evolution of Flip Chip Package on Packaging during Fabrication.倒装芯片封装在制造过程中封装翘曲演变的理论与实验研究。
Materials (Basel). 2021 Aug 25;14(17):4816. doi: 10.3390/ma14174816.
10
Application of Intelligent Modeling Method to Optimize the Multiple Quality Characteristics of the Injection Molding Process of Automobile Lock Parts.智能建模方法在优化汽车锁零件注塑成型工艺多质量特性中的应用
Polymers (Basel). 2021 Jul 30;13(15):2515. doi: 10.3390/polym13152515.

引用本文的文献

1
Underfill: A Review of Reliability Improvement Methods in Electronics Production.底部填充:电子产品生产中可靠性提升方法综述
Polymers (Basel). 2025 Aug 13;17(16):2206. doi: 10.3390/polym17162206.

本文引用的文献

1
Reliability Assessment of Thermocompressed Epoxy Molding Compound through Glass via Interposer Architecture by the Submodeling Simulation Approach.通过子模型模拟方法对基于玻璃通孔中介层架构的热压环氧树脂模塑料进行可靠性评估。
Materials (Basel). 2022 Oct 20;15(20):7357. doi: 10.3390/ma15207357.
2
Investigation of Warpage for Multi-Die Fan-Out Wafer-Level Packaging Process.多芯片扇出型晶圆级封装工艺的翘曲研究
Materials (Basel). 2022 Feb 23;15(5):1683. doi: 10.3390/ma15051683.