Suppr超能文献

采用五阶龙格 - 库塔方法研究磁场作用下含微生物纳米颗粒在垂直平板上的生物对流。

Examination of bio convection with nanoparticles containing microorganisms under the influence of magnetism fields on vertical sheets by five-order Runge-Kutta method.

作者信息

Fathollahi Reza, Alizadeh As'ad, Safari Yaghub, Nabi Hossein, Shamsborhan Mahmoud, Taghinia Fariborz

机构信息

Depatment of Engineering, Faculty of Khoy, Urmia University of Technology, Iran.

Department of Civil Engineering, College of Engineering, Cihan University-Erbil, Erbil, Iraq.

出版信息

Heliyon. 2023 May 12;9(5):e15982. doi: 10.1016/j.heliyon.2023.e15982. eCollection 2023 May.

Abstract

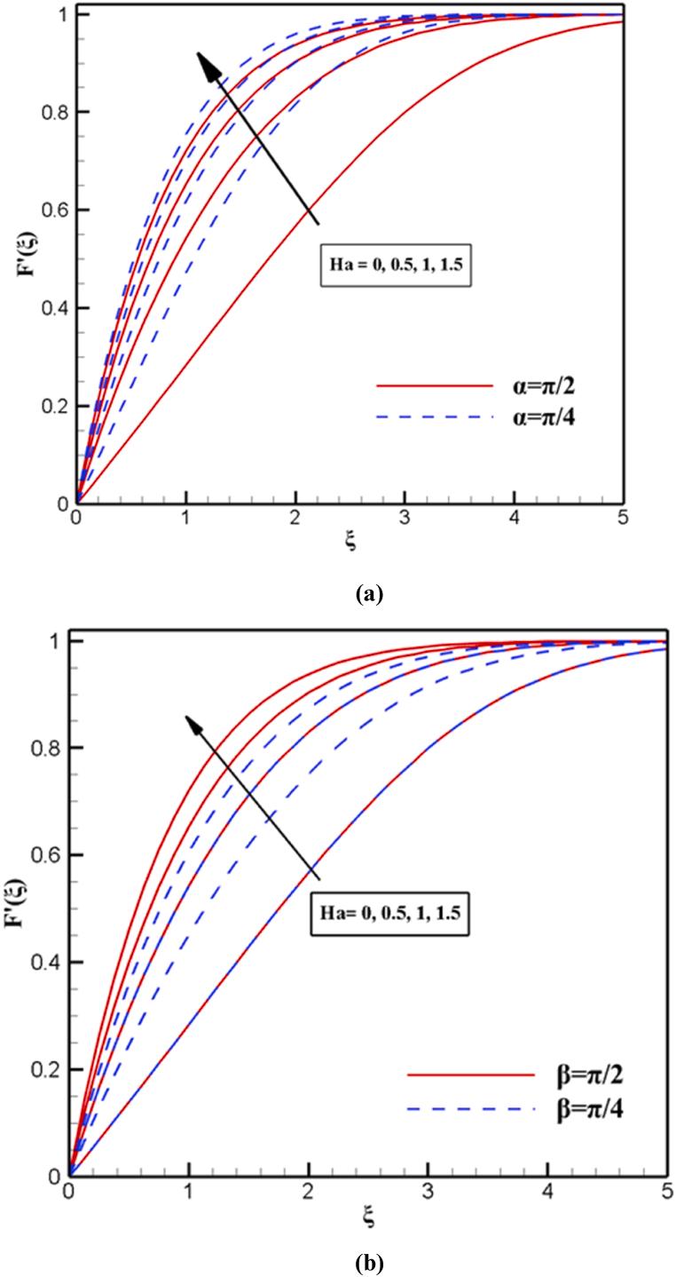
In this paper, we analyzed vertical bio convection in nanofluids containing microorganisms. The novelty of this article is the numerical and analytical investigation of magnetic flow, radiation heat transfer, and viscous dissipation on bio convective fluid flow using the Five-order Runge-Kutta technique. Utilizing similitude parameters, determined ODE (ordinary differential equation) equations from partial differential equations for continuity, momentum, energy, and nanofluid concentration. Five-order Runge-Kutta was then used to solve the equations. The results show that it has a more significant influence on and then and. In addition, it exerts a force on neighboring particles, which causes them to shift from a hot zone to a great region. The density of microorganisms inside a part rises as it grows; when Le rises and remains the same, x(ξ) falls, and When rises, and Le remains the same, x(ξ) fall.

摘要

在本文中,我们分析了含有微生物的纳米流体中的垂直生物对流。本文的新颖之处在于使用五阶龙格 - 库塔技术对生物对流流体流动中的磁流、辐射传热和粘性耗散进行数值和分析研究。利用相似参数,从连续性、动量、能量和纳米流体浓度的偏微分方程中确定常微分方程(ODE)。然后使用五阶龙格 - 库塔法求解这些方程。结果表明,它对……有更显著的影响,然后……此外,它对相邻粒子施加力,导致它们从热区转移到更大的区域。一部分内部微生物的密度随着其生长而增加;当勒夫数(Le)增加而……保持不变时,x(ξ)下降,并且当……增加而勒夫数保持不变时,x(ξ)下降。

https://cdn.ncbi.nlm.nih.gov/pmc/blobs/06da/10196994/82bf9a32b439/gr1.jpg

文献检索

告别复杂PubMed语法,用中文像聊天一样搜索,搜遍4000万医学文献。AI智能推荐,让科研检索更轻松。

立即免费搜索

文件翻译

保留排版,准确专业,支持PDF/Word/PPT等文件格式,支持 12+语言互译。

免费翻译文档

深度研究

AI帮你快速写综述,25分钟生成高质量综述,智能提取关键信息,辅助科研写作。

立即免费体验