Suppr超能文献

注意未激活(非侵袭性)与激活(侵袭性)室内真菌检测之间的差异:采样前环境设置对室内空气读数的影响。

Mind the gap between non-activated (non-aggressive) and activated (aggressive) indoor fungal testing: impact of pre-sampling environmental settings on indoor air readings.

作者信息

Efthymiopoulos Spyros, Aktas Yasemin D, Altamirano Hector

机构信息

Department of Civil Environmental and Geomatic Engineering (CEGE), University College London, London, UK.

UK Centre for Moisture in Buildings (UKCMB), London, UK.

出版信息

UCL Open Environ. 2023 Feb 16;5:e055. doi: 10.14324/111.444/ucloe.000055. eCollection 2023.

Abstract

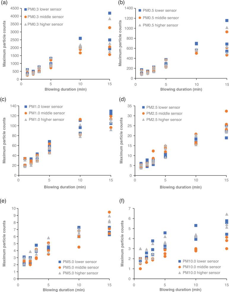
Indoor fungal testing has been within the researchers' scope of interest for more than a century. Various sampling and analysis techniques have been developed over the years, but no testing protocol has been yet standardised and widely accepted by the research and practitioner communities. The diversity in fungal taxa within buildings with varied biological properties and implications on the health and wellbeing of the occupants and the building fabric complicates the decision-making process for selecting an appropriate testing protocol. This study aims to present a critical review of non-activated and activated approaches to indoor testing, with an emphasis on the preparation of the indoor environment prior to sampling. The study demonstrates the differences in the outcomes of non-activated and activated testing through a set of laboratory experiments in idealised conditions and a case study. The findings suggest that larger particles are particularly sensitive to the sampling height and activation, and that non-activated protocols, despite dominating the current literature, can significantly underestimate the fungal biomass and species richness. Therefore, this paper calls for better-defined and activated protocols that can enhance robustness and reproducibility across the research domain focused on indoor fungal testing.

摘要

室内真菌检测在研究人员的关注范围内已有一个多世纪。多年来已开发出各种采样和分析技术,但尚未有检测方案得到标准化并被研究界和从业者广泛接受。建筑物内真菌分类群的多样性,以及其对居住者健康和福祉以及建筑结构的影响,使得选择合适检测方案的决策过程变得复杂。本研究旨在对室内检测的非活化和活化方法进行批判性综述,重点关注采样前室内环境的准备。该研究通过一组理想化条件下的实验室实验和一个案例研究,展示了非活化和活化检测结果的差异。研究结果表明,较大颗粒对采样高度和活化特别敏感,并且尽管非活化方案在当前文献中占主导地位,但可能会显著低估真菌生物量和物种丰富度。因此,本文呼吁制定更明确的活化方案,以提高专注于室内真菌检测的整个研究领域的稳健性和可重复性。

https://cdn.ncbi.nlm.nih.gov/pmc/blobs/30c4/10208333/892c93691247/ucloe-05-055-g001.jpg

文献检索

告别复杂PubMed语法,用中文像聊天一样搜索,搜遍4000万医学文献。AI智能推荐,让科研检索更轻松。

立即免费搜索

文件翻译

保留排版,准确专业,支持PDF/Word/PPT等文件格式,支持 12+语言互译。

免费翻译文档

深度研究

AI帮你快速写综述,25分钟生成高质量综述,智能提取关键信息,辅助科研写作。

立即免费体验