Suppr超能文献

无需态层析的两量子比特量子关联的实验层次结构。

Experimental hierarchy of two-qubit quantum correlations without state tomography.

机构信息

Institute of Spintronics and Quantum Information, Faculty of Physics, Adam Mickiewicz University, 61-614, Poznań, Poland.

Palacký University Olomouc, Faculty of Science, Joint Laboratory of Optics of PU and IP CAS, 17. listopadu 1192/12, 779 00, Olomouc, Czech Republic.

出版信息

Sci Rep. 2023 May 26;13(1):8564. doi: 10.1038/s41598-023-35015-9.

Abstract

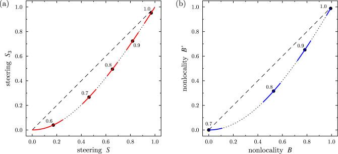
A Werner state, which is the singlet Bell state affected by white noise, is a prototype example of states, which can reveal a hierarchy of quantum entanglement, steering, and Bell nonlocality by controlling the amount of noise. However, experimental demonstrations of this hierarchy in a sufficient and necessary way (i.e., by applying measures or universal witnesses of these quantum correlations) have been mainly based on full quantum state tomography, corresponding to measuring at least 15 real parameters of two-qubit states. Here we report an experimental demonstration of this hierarchy by measuring only six elements of a correlation matrix depending on linear combinations of two-qubit Stokes parameters. We show that our experimental setup can also reveal the hierarchy of these quantum correlations of generalized Werner states, which are any two-qubit pure states affected by white noise.

摘要

处于白噪声影响下的威纳尔态是 singlet Bell 态的一个原型范例,它可以通过控制噪声量来揭示量子纠缠、引导和 Bell 非局域性的层次结构。然而,以充分和必要的方式(即通过应用这些量子相关性的度量或通用见证)在实验上演示这种层次结构的方法主要基于全量子态层析,这对应于测量至少 15 个两量子比特态的实参数。在这里,我们通过仅测量与两量子比特 Stokes 参数的线性组合相关的相关矩阵的六个元素来报告这种层次结构的实验演示。我们表明,我们的实验装置还可以揭示受白噪声影响的广义威纳尔态的这些量子相关性的层次结构,广义威纳尔态是任意两量子比特纯态。

https://cdn.ncbi.nlm.nih.gov/pmc/blobs/b196/10220071/2f8fce93c30e/41598_2023_35015_Fig1_HTML.jpg

文献检索

告别复杂PubMed语法,用中文像聊天一样搜索,搜遍4000万医学文献。AI智能推荐,让科研检索更轻松。

立即免费搜索

文件翻译

保留排版,准确专业,支持PDF/Word/PPT等文件格式,支持 12+语言互译。

免费翻译文档

深度研究

AI帮你快速写综述,25分钟生成高质量综述,智能提取关键信息,辅助科研写作。

立即免费体验