Suppr超能文献

添加乳铁蛋白的酸奶特性及其受储存时间的影响

Properties of Yoghurt Fortified in Lactoferrin with Effect of Storage Time.

作者信息

Jańczuk Anna, Brodziak Aneta, Król Jolanta, Czernecki Tomasz

机构信息

Department of Quality Assessment and Processing of Animal Products, Faculty of Animal Sciences and Bioeconomy, University of Life Sciences in Lublin, Akademicka 13, 20-950 Lublin, Poland.

Department of Biotechnology, Microbiology and Human Nutrition, Dietitian Service, Faculty of Food Science and Biotechnology, University of Life Sciences in Lublin, Skromna 8, 20-704 Lublin, Poland.

出版信息

Animals (Basel). 2023 May 11;13(10):1610. doi: 10.3390/ani13101610.

Abstract

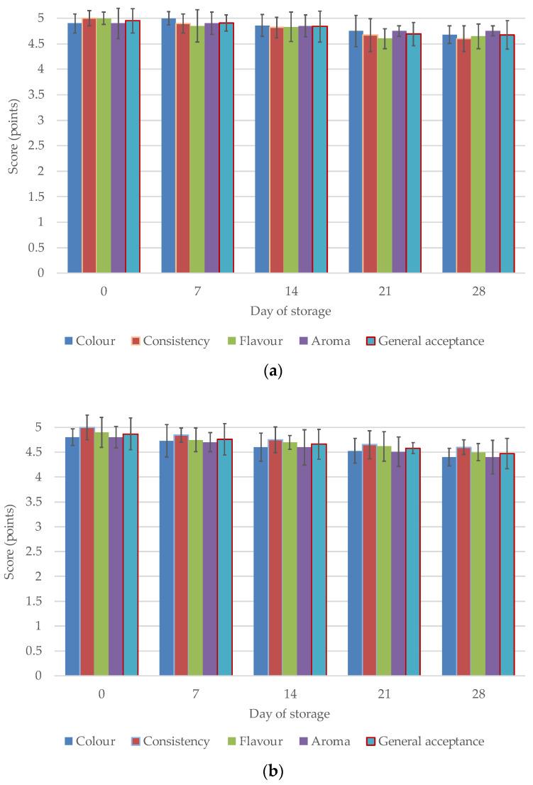
The stability of fortified yoghurts during refrigerated storage is important for industry and the consumer. The aim of the study was to evaluate the nutritional value, microbiological quality, organoleptic properties, and structure of natural yoghurts made with the addition of lactoferrin during refrigerated storage. In this study, we produced natural yoghurts fortified in lactoferrin, using YC-X11 yoghurt starter culture based on subsp. and . Physicochemical (acidity, nutritional value and structure) as well as microbiological and organoleptic changes occurring during 28-days refrigerated storage were determined. Storage research made it possible to determine the direction of changes taking place in the products. The analysed parameters did not differ statistically significantly between the control yoghurts and those with the addition of lactoferrin. Textural and rheological studies also shown that the addition of lactoferrin did not significantly change the structure of the yoghurt. The yoghurts were characterized by high sanitary and hygienic quality during the whole refrigerated storage. Lactoferrin has a positive effect on the durability of the product.

摘要

强化酸奶在冷藏储存期间的稳定性对食品行业和消费者都很重要。本研究的目的是评估添加乳铁蛋白的天然酸奶在冷藏储存期间的营养价值、微生物质量、感官特性和结构。在本研究中,我们使用基于亚种和的YC-X11酸奶发酵剂生产了添加乳铁蛋白的天然酸奶。测定了28天冷藏储存期间发生的物理化学变化(酸度、营养价值和结构)以及微生物和感官变化。储存研究使确定产品中发生的变化方向成为可能。对照酸奶和添加乳铁蛋白的酸奶之间分析的参数在统计学上没有显著差异。质地和流变学研究还表明,添加乳铁蛋白并没有显著改变酸奶的结构。在整个冷藏储存期间,酸奶具有很高的卫生质量。乳铁蛋白对产品的保质期有积极影响。

https://cdn.ncbi.nlm.nih.gov/pmc/blobs/4743/10215756/93fa1435ed28/animals-13-01610-g001.jpg

文献AI研究员

20分钟写一篇综述,助力文献阅读效率提升50倍。

立即体验

用中文搜PubMed

大模型驱动的PubMed中文搜索引擎

马上搜索

文档翻译

学术文献翻译模型,支持多种主流文档格式。

立即体验