Suppr超能文献

在受到副结核分枝杆菌亚种(MAP)实验性攻击的牛群队列中,粪便微生物群分类学、多样性和功能潜力的差异。

Differences in Faecal Microbiome Taxonomy, Diversity and Functional Potential in a Bovine Cohort Experimentally Challenged with subsp. (MAP).

作者信息

Matthews Chloe, Walsh Aaron M, Gordon Stephen V, Markey Bryan, Cotter Paul D, O' Mahony Jim

机构信息

Department of Biological Sciences, Munster Technological University, Bishopstown, T12 P928 Cork, Ireland.

Teagasc Food Research Centre, Moorepark, P61 C996 Fermoy, Ireland.

出版信息

Animals (Basel). 2023 May 16;13(10):1652. doi: 10.3390/ani13101652.

Abstract

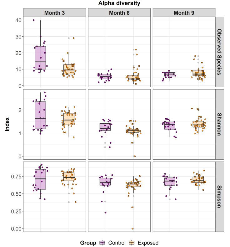
Mycobacterium avium subspecies paratuberculosis (MAP) is the causative agent of Johne's disease in ruminants, a chronic enteritis which results in emaciation and eventual loss of the animal. Recent advances in metagenomics have allowed a more in-depth study of complex microbiomes, including that of gastrointestinal tracts, and have the potential to provide insights into consequences of the exposure of an animal to MAP or other pathogens. This study aimed to investigate taxonomic diversity and compositional changes of the faecal microbiome of cattle experimentally challenged with MAP compared to an unexposed control group. Faecal swab samples were collected from a total of 55 animals [exposed group ( = 35) and a control group ( = 20)], across three time points (months 3, 6 and 9 post-inoculation). The composition and functional potential of the faecal microbiota differed across time and between the groups ( < 0.05), with the primary differences, from both a taxonomic and functional perspective, occurring at 3 months post inoculation. These included significant differences in the relative abundance of the genera Methanobrevibacter and Bifidobacterium and also of 11 other species (4 at a higher relative abundance in the exposed group and 7 at a higher relative abundance in the control group). Correlations were made between microbiome data and immunopathology measurements and it was noted that changes in the microbial composition correlated with miRNA-155, miR-146b and IFN-ɣ. In summary, this study illustrates the impact of exposure to MAP on the ruminant faecal microbiome with a number of species that may have relevance in veterinary medicine for tracking exposure to MAP.

摘要

副结核分枝杆菌鸟亚种(MAP)是反刍动物约翰氏病的病原体,约翰氏病是一种慢性肠炎,可导致动物消瘦并最终死亡。宏基因组学的最新进展使得对包括胃肠道微生物群在内的复杂微生物群落进行更深入的研究成为可能,并且有潜力深入了解动物接触MAP或其他病原体的后果。本研究旨在调查与未接触对照组相比,经MAP实验性攻击的牛粪便微生物群的分类多样性和组成变化。在三个时间点(接种后3个月、6个月和9个月)从总共55只动物(暴露组n = 35和对照组n = 20)采集粪便拭子样本。粪便微生物群的组成和功能潜力在不同时间和不同组之间存在差异(P < 0.05),从分类学和功能角度来看,主要差异出现在接种后3个月。这些差异包括甲烷短杆菌属和双歧杆菌属以及其他11个物种的相对丰度存在显著差异(4个在暴露组中相对丰度较高,7个在对照组中相对丰度较高)。对微生物组数据与免疫病理学测量结果进行了相关性分析,结果表明微生物组成的变化与miRNA - 155、miR - 146b和IFN - γ相关。总之,本研究阐明了接触MAP对反刍动物粪便微生物群的影响,有许多物种可能在兽医学中对追踪MAP暴露具有相关性。

https://cdn.ncbi.nlm.nih.gov/pmc/blobs/f80e/10215331/a5c7899f8376/animals-13-01652-g001.jpg

文献AI研究员

20分钟写一篇综述,助力文献阅读效率提升50倍。

立即体验

用中文搜PubMed

大模型驱动的PubMed中文搜索引擎

马上搜索

文档翻译

学术文献翻译模型,支持多种主流文档格式。

立即体验