Department of Neurodegeneration, Plasticity and Repair, Institute of Neurobiology, Biomedical Research Centre of Slovak Academy of Sciences, Soltesovej 4-6, 040 01 Kosice, Slovakia.
Int J Mol Sci. 2023 May 11;24(10):8616. doi: 10.3390/ijms24108616.
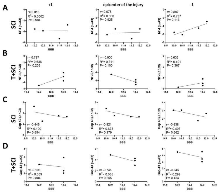
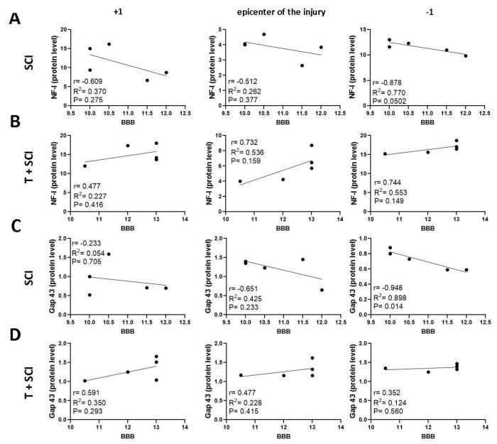
Endurance training prior to spinal cord injury (SCI) has a beneficial effect on the activation of signaling pathways responsible for survival, neuroplasticity, and neuroregeneration. It is, however, unclear which training-induced cell populations are essential for the functional outcome after SCI. Adult Wistar rats were divided into four groups: control, six weeks of endurance training, Th9 compression (40 g/15 min), and pretraining + Th9 compression. The animals survived six weeks. Training alone increased the gene expression and protein level of immature CNP-ase oligodendrocytes (~16%) at Th10, and caused rearrangements in neurotrophic regulation of inhibitory GABA/glycinergic neurons at the Th10 and L2 levels, known to contain the interneurons with rhythmogenic potential. Training + SCI upregulated markers for immature and mature (CNP-ase, PLP1) oligodendrocytes by ~13% at the lesion site and caudally, and increased the number of GABA/glycinergic neurons in specific spinal cord regions. In the pretrained SCI group, the functional outcome of hindlimbs positively correlated with the protein levels of CNP-ase, PLP1, and neurofilaments (NF-l), but not with the outgrowing axons (Gap-43) at the lesion site and caudally. These results indicate that endurance training applied before SCI potentiates the repair in damaged spinal cord, and creates a suitable environment for neurological outcome.
运动训练对脊髓损伤(SCI)前的信号通路激活具有有益作用,这些信号通路负责生存、神经可塑性和神经再生。然而,运动训练诱导的哪些细胞群对 SCI 后的功能结果至关重要尚不清楚。成年 Wistar 大鼠分为四组:对照组、六周耐力训练组、Th9 压迫组(40g/15min)和预训练+Th9 压迫组。动物存活六周。单独的训练增加了 Th10 处不成熟的 CNP-ase 少突胶质细胞的基因表达和蛋白水平(~16%),并导致 Th10 和 L2 水平的抑制性 GABA/甘氨酸能神经元神经营养调节发生重排,已知这些神经元含有具有节律发生潜力的中间神经元。训练+SCI 使损伤部位和尾部的不成熟和成熟(CNP-ase、PLP1)少突胶质细胞标志物上调约 13%,并增加了特定脊髓区域 GABA/甘氨酸能神经元的数量。在预先训练的 SCI 组中,后肢的功能结果与 CNP-ase、PLP1 和神经丝(NF-l)的蛋白水平呈正相关,但与损伤部位和尾部的轴突生长(Gap-43)无关。这些结果表明,SCI 前进行的耐力训练增强了受损脊髓的修复,并为神经功能结果创造了合适的环境。