Suppr超能文献

采用 HS-SPME-GC/MS 评估不同工艺对茶籽油风味的影响。

Evaluation of Different Processes Impact on Flavor of Camellia Seed Oil Using HS-SPME-GC/MS.

机构信息

Hunan Key Laboratory of Forestry Edible Sources Safety and Processing, Central South University of Forestry and Technology, Changsha 410004, China.

Hunan Key Laboratory of Processed Food for Special Medical Purpose, Changsha 410004, China.

出版信息

Molecules. 2023 May 9;28(10):3979. doi: 10.3390/molecules28103979.

Abstract

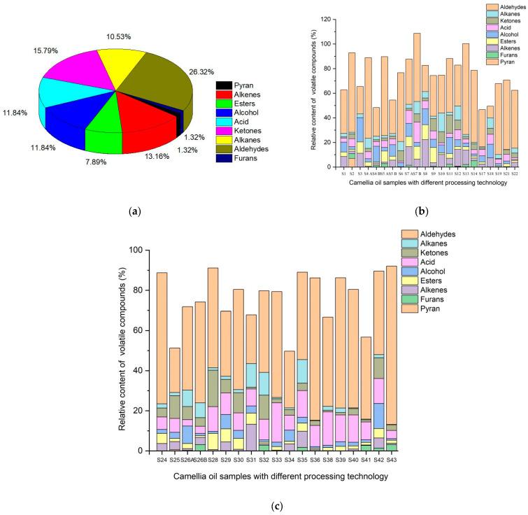
In this study, the flavor compounds of Camellia seed oils obtained by four processes were characterized by headspace solid phase microextraction/gas chromatography/mass spectrometry (HS-SPME/GC/MS). A variety of about 76 volatile flavor compounds were identified from all the oil samples. Of the four processing processes, the pressing process can retain a lot of volatile components. Among these, compounds nonanal and 2-undecenal were predominantly in the majority of the samples. Meanwhile, other compounds such as octyl ester formic acid, octanal and 2-nonenal (E), 3-acetyldihydro 2(3H)-furanone, (E)-2-decenal, dihydro-5-penty 2(3H)-furanone, nonanoic acid, and dodecane were also among the most consistently found compounds among the oil samples analyzed. The principal component analysis carried out to categorize the data produced seven clusters of the total oil samples based on the number of flavor compounds obtained in each sample. This categorization would lead to understanding the components which highly contributed to the characteristic volatile flavor and build up the flavor profile of Camellia seed oil.

摘要

本研究采用顶空固相微萃取/气相色谱/质谱联用(HS-SPME/GC/MS)的方法对四种工艺制得的茶籽油中的风味化合物进行了分析。从所有油样中鉴定出约 76 种挥发性风味化合物。在这四种加工工艺中,压榨工艺可以保留大量的挥发性成分。其中,壬醛和 2-十一烯醛是大多数样品中的主要成分。同时,其他化合物,如辛酯甲酸、辛醛和 2-壬烯醛(E)、3-乙酰基二氢-2(3H)-呋喃酮、(E)-2-癸烯醛、二氢-5-戊基-2(3H)-呋喃酮、壬酸和十二烷也存在于分析的油样中。对数据进行主成分分析,根据每个样品中获得的风味化合物的数量,将总油样分为七个聚类。这种分类将有助于了解对特征挥发性风味有高度贡献的成分,并建立茶籽油的风味特征。

https://cdn.ncbi.nlm.nih.gov/pmc/blobs/d019/10220843/57d9cfa0bb0a/molecules-28-03979-g001.jpg

文献AI研究员

20分钟写一篇综述,助力文献阅读效率提升50倍。

立即体验

用中文搜PubMed

大模型驱动的PubMed中文搜索引擎

马上搜索

文档翻译

学术文献翻译模型,支持多种主流文档格式。

立即体验