Inukai Junko Inoue, Nogami Munenobu, Tachibana Miho, Zeng Feibi, Nishitani Tatsuya, Kubo Kazuhiro, Murakami Takamichi
Department of Radiology, Kobe University Graduate School of Medicine, 7-5-1, Kusunoki-cho, Chuo-ku, Kobe 650-0017, Hyogo, Japan.
Department of Radiology, Kobe University Hospital, 7-5-2, Kusunoki-cho, Chuo-ku, Kobe 650-0017, Hyogo, Japan.
Diagnostics (Basel). 2023 May 26;13(11):1871. doi: 10.3390/diagnostics13111871.
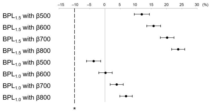
This study evaluated the diagnostic value of a rapid whole-body fluorodeoxyglucose (FDG) positron emission tomography (PET)/magnetic resonance imaging (MRI) approach, combining Bayesian penalised likelihood (BPL) PET with an optimised β value and abbreviated MRI (abb-MRI). The study compares the diagnostic performance of this approach with the standard PET/MRI that utilises ordered subsets expectation maximisation (OSEM) PET and standard MRI (std-MRI). The optimal β value was determined by evaluating the noise-equivalent count (NEC) phantom, background variability, contrast recovery, recovery coefficient, and visual scores (VS) for OSEM and BPL with β100-1000 at 2.5-, 1.5-, and 1.0-min scans, respectively. Clinical evaluations were conducted for , , liver signal-to-noise ratio (SNR), lesion maximum standardised uptake value, lesion signal-to-background ratio, lesion SNR, and VS in 49 patients. The diagnostic performance of BPL/abb-MRI was retrospectively assessed for lesion detection and differentiation in 156 patients using VS. The optimal β values were β600 for a 1.5-min scan and β700 for a 1.0-min scan. BPL/abb-MRI at these β values was equivalent to OSEM/std-MRI for a 2.5-min scan. By combining BPL with optimal β and abb-MRI, rapid whole-body PET/MRI could be achieved in ≤1.5 min per bed position, while maintaining comparable diagnostic performance to standard PET/MRI.
本研究评估了一种快速全身氟脱氧葡萄糖(FDG)正电子发射断层扫描(PET)/磁共振成像(MRI)方法的诊断价值,该方法将具有优化β值的贝叶斯惩罚似然(BPL)PET与简化MRI(abb-MRI)相结合。该研究将此方法的诊断性能与采用有序子集期望最大化(OSEM)PET和标准MRI(std-MRI)的标准PET/MRI进行了比较。通过分别在2.5分钟、1.5分钟和1.0分钟扫描时评估OSEM和BPL在β值为100 - 1000时的噪声等效计数(NEC)体模、背景变异性、对比度恢复、恢复系数和视觉评分(VS),确定了最佳β值。对49例患者进行了肝脏信噪比(SNR)、病变最大标准化摄取值、病变信号与背景比值、病变SNR和VS的临床评估。使用VS对156例患者的病变检测和鉴别进行回顾性评估BPL/abb-MRI的诊断性能。对于1.5分钟扫描,最佳β值为β600;对于1.0分钟扫描,最佳β值为β700。这些β值下的BPL/abb-MRI在2.5分钟扫描时与OSEM/std-MRI相当。通过将BPL与最佳β值和abb-MRI相结合,每个床位可在≤1.5分钟内完成快速全身PET/MRI检查,同时保持与标准PET/MRI相当的诊断性能。