• 文献检索
  • 文档翻译
  • 深度研究
  • 学术资讯
  • Suppr Zotero 插件Zotero 插件
  • 邀请有礼
  • 套餐&价格
  • 历史记录
应用&插件
Suppr Zotero 插件Zotero 插件浏览器插件Mac 客户端Windows 客户端微信小程序
定价
高级版会员购买积分包购买API积分包
服务
文献检索文档翻译深度研究API 文档MCP 服务
关于我们
关于 Suppr公司介绍联系我们用户协议隐私条款
关注我们

Suppr 超能文献

核心技术专利:CN118964589B侵权必究
粤ICP备2023148730 号-1Suppr @ 2026

文献检索

告别复杂PubMed语法,用中文像聊天一样搜索,搜遍4000万医学文献。AI智能推荐,让科研检索更轻松。

立即免费搜索

文件翻译

保留排版,准确专业,支持PDF/Word/PPT等文件格式,支持 12+语言互译。

免费翻译文档

深度研究

AI帮你快速写综述,25分钟生成高质量综述,智能提取关键信息,辅助科研写作。

立即免费体验

慢性免疫介导疾病、循环炎症生物标志物和细胞因子与肝癌关系的孟德尔随机化分析

Mendelian Randomization Analyses of Chronic Immune-Mediated Diseases, Circulating Inflammatory Biomarkers, and Cytokines in Relation to Liver Cancer.

作者信息

Yin Qiushi, Yang Qiuxi, Shi Wenjie, Kahlert Ulf D, Li Zhongyi, Lin Shibu, Song Qifeng, Fan Weiqiang, Wang Li, Zhu Yi, Huang Xiaolong

机构信息

Department of Hepatobiliary Surgery, The First Affiliated Hospital of Hainan Medical University, Haikou 570100, China.

Molecular and Experimental Surgery, University Clinic for General-, Visceral-, Vascular- and Trans-Plantation Surgery, Medical Faculty University Hospital Magdeburg, Otto-von Guericke University, 39120 Magdeburg, Germany.

出版信息

Cancers (Basel). 2023 May 26;15(11):2930. doi: 10.3390/cancers15112930.

DOI:10.3390/cancers15112930
PMID:37296892
原文链接:https://pmc.ncbi.nlm.nih.gov/articles/PMC10251825/
Abstract

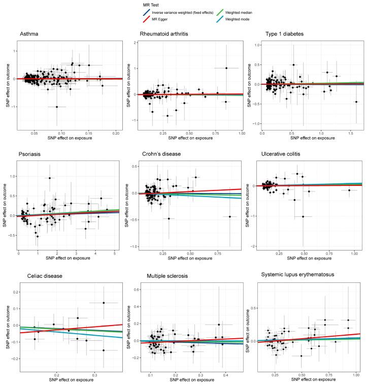
Liver cancer is closely linked to chronic inflammation. While observational studies have reported positive associations between extrahepatic immune-mediated diseases and systemic inflammatory biomarkers and liver cancer, the genetic association between these inflammatory traits and liver cancer remains elusive and merits further investigation. We conducted a two-sample Mendelian randomization (MR) analysis, using inflammatory traits as exposures and liver cancer as the outcome. The genetic summary data of both exposures and outcome were retrieved from previous genome-wide association studies (GWAS). Four MR methods, including inverse-variance-weighted (IVW), MR-Egger regression, weighted-median, and weighted-mode methods, were employed to examine the genetic association between inflammatory traits and liver cancer. Nine extrahepatic immune-mediated diseases, seven circulating inflammatory biomarkers, and 187 inflammatory cytokines were analyzed in this study. The IVW method suggested that none of the nine immune-mediated diseases were associated with the risk of liver cancer, with odds ratios of 1.08 (95% CI 0.87-1.35) for asthma, 0.98 (95% CI 0.91-1.06) for rheumatoid arthritis, 1.01 (95% CI 0.96-1.07) for type 1 diabetes, 1.01 (95% CI 0.98-1.03) for psoriasis, 0.98 (95% CI 0.89-1.08) for Crohn's disease, 1.02 (95% CI 0.91-1.13) for ulcerative colitis, 0.91 (95% CI 0.74-1.11) for celiac disease, 0.93 (95% CI 0.84-1.05) for multiple sclerosis, and 1.05 (95% CI 0.97-1.13) for systemic lupus erythematosus. Similarly, no significant association was found between circulating inflammatory biomarkers and cytokines and liver cancer after correcting for multiple testing. The findings were consistent across all four MR methods used in this study. Our findings do not support a genetic association between extrahepatic inflammatory traits and liver cancer. However, larger-scale GWAS summary data and more genetic instruments are needed to confirm these findings.

摘要

肝癌与慢性炎症密切相关。虽然观察性研究报告了肝外免疫介导疾病和全身炎症生物标志物与肝癌之间存在正相关,但这些炎症特征与肝癌之间的遗传关联仍不明确,值得进一步研究。我们进行了一项两样本孟德尔随机化(MR)分析,将炎症特征作为暴露因素,肝癌作为结局。暴露因素和结局的遗传汇总数据均取自先前的全基因组关联研究(GWAS)。我们采用了四种MR方法,包括逆方差加权(IVW)、MR-Egger回归、加权中位数和加权模式方法,来检验炎症特征与肝癌之间的遗传关联。本研究分析了九种肝外免疫介导疾病、七种循环炎症生物标志物和187种炎症细胞因子。IVW方法表明,九种免疫介导疾病中没有一种与肝癌风险相关,哮喘的比值比为1.08(95%CI 0.87-1.35),类风湿性关节炎为0.98(95%CI 0.91-1.06),1型糖尿病为1.01(95%CI 0.96-1.07),银屑病为1.01(95%CI 0.98-1.03),克罗恩病为0.98(95%CI 0.89-1.08),溃疡性结肠炎为1.02(95%CI 0.91-1.13),乳糜泻为0.91(95%CI 0.74-1.11),多发性硬化症为0.93(95%CI 0.84-1.05),系统性红斑狼疮为1.05(95%CI 0.97-1.13)。同样,在进行多重检验校正后,未发现循环炎症生物标志物和细胞因子与肝癌之间存在显著关联。本研究使用的所有四种MR方法的结果均一致。我们的研究结果不支持肝外炎症特征与肝癌之间存在遗传关联。然而,需要更大规模的GWAS汇总数据和更多的遗传工具来证实这些发现。

https://cdn.ncbi.nlm.nih.gov/pmc/blobs/c259/10251825/2105638a617b/cancers-15-02930-g005.jpg
https://cdn.ncbi.nlm.nih.gov/pmc/blobs/c259/10251825/efa135f621ee/cancers-15-02930-g001.jpg
https://cdn.ncbi.nlm.nih.gov/pmc/blobs/c259/10251825/8f8e745ec044/cancers-15-02930-g002.jpg
https://cdn.ncbi.nlm.nih.gov/pmc/blobs/c259/10251825/fd39db6fc234/cancers-15-02930-g003.jpg
https://cdn.ncbi.nlm.nih.gov/pmc/blobs/c259/10251825/4a48da6f3480/cancers-15-02930-g004.jpg
https://cdn.ncbi.nlm.nih.gov/pmc/blobs/c259/10251825/2105638a617b/cancers-15-02930-g005.jpg
https://cdn.ncbi.nlm.nih.gov/pmc/blobs/c259/10251825/efa135f621ee/cancers-15-02930-g001.jpg
https://cdn.ncbi.nlm.nih.gov/pmc/blobs/c259/10251825/8f8e745ec044/cancers-15-02930-g002.jpg
https://cdn.ncbi.nlm.nih.gov/pmc/blobs/c259/10251825/fd39db6fc234/cancers-15-02930-g003.jpg
https://cdn.ncbi.nlm.nih.gov/pmc/blobs/c259/10251825/4a48da6f3480/cancers-15-02930-g004.jpg
https://cdn.ncbi.nlm.nih.gov/pmc/blobs/c259/10251825/2105638a617b/cancers-15-02930-g005.jpg

相似文献

1
Mendelian Randomization Analyses of Chronic Immune-Mediated Diseases, Circulating Inflammatory Biomarkers, and Cytokines in Relation to Liver Cancer.慢性免疫介导疾病、循环炎症生物标志物和细胞因子与肝癌关系的孟德尔随机化分析
Cancers (Basel). 2023 May 26;15(11):2930. doi: 10.3390/cancers15112930.
2
Immune-mediated inflammatory diseases and leukocyte telomere length: A Mendelian randomization study.免疫介导的炎症性疾病与白细胞端粒长度:一项孟德尔随机化研究。
Front Genet. 2023 Apr 17;14:1129247. doi: 10.3389/fgene.2023.1129247. eCollection 2023.
3
The Causal Relationship Between Blood Lipids and Systemic Lupus Erythematosus Risk: A Bidirectional Two-Sample Mendelian Randomization Study.血脂与系统性红斑狼疮风险之间的因果关系:一项双向两样本孟德尔随机化研究
Front Genet. 2022 Apr 13;13:858653. doi: 10.3389/fgene.2022.858653. eCollection 2022.
4
Are neurodegenerative diseases associated with an increased risk of inflammatory bowel disease? A two-sample Mendelian randomization study.神经退行性疾病是否与炎症性肠病的风险增加有关?一项两样本孟德尔随机化研究。
Front Immunol. 2022 Sep 8;13:956005. doi: 10.3389/fimmu.2022.956005. eCollection 2022.
5
Immune-mediated inflammatory diseases and risk of venous thromboembolism: A Mendelian randomization study.免疫介导的炎症性疾病与静脉血栓栓塞风险:一项孟德尔随机研究。
Front Immunol. 2022 Dec 13;13:1042751. doi: 10.3389/fimmu.2022.1042751. eCollection 2022.
6
Mendelian randomization study of inflammatory bowel disease and bone mineral density.基于孟德尔随机化的炎症性肠病与骨密度相关性研究。
BMC Med. 2020 Nov 10;18(1):312. doi: 10.1186/s12916-020-01778-5.
7
Exploring causal correlations between inflammatory cytokines and systemic lupus erythematosus: A Mendelian randomization.探讨炎症细胞因子与系统性红斑狼疮之间的因果关联:一项孟德尔随机化研究。
Front Immunol. 2023 Jan 19;13:985729. doi: 10.3389/fimmu.2022.985729. eCollection 2022.
8
Inflammatory bowel disease and celiac disease: A bidirectional Mendelian randomization study.炎症性肠病与乳糜泻:一项双向孟德尔随机化研究。
Front Genet. 2022 Aug 19;13:928944. doi: 10.3389/fgene.2022.928944. eCollection 2022.
9
Causal Relationship Between Sleep Traits and Risk of Systemic Lupus Erythematosus: A Two-Sample Mendelian Randomization Study.睡眠特征与系统性红斑狼疮风险的因果关系:两样本孟德尔随机化研究。
Front Immunol. 2022 Jun 17;13:918749. doi: 10.3389/fimmu.2022.918749. eCollection 2022.
10
Association between autoimmunity-related disorders and prostate cancer: A Mendelian randomization study.自身免疫性疾病与前列腺癌之间的关联:一项孟德尔随机化研究。
Cancer Pathog Ther. 2024 Mar 29;2(4):292-298. doi: 10.1016/j.cpt.2024.03.002. eCollection 2024 Oct.

引用本文的文献

1
Association between dietary inflammatory index and all-cause mortality in patients with osteoporosis: data from NHANES.骨质疏松症患者饮食炎症指数与全因死亡率之间的关联:来自美国国家健康与营养检查调查(NHANES)的数据
Front Nutr. 2025 May 30;12:1579331. doi: 10.3389/fnut.2025.1579331. eCollection 2025.
2
Unraveling the Causal Links Between Immune Traits and Hepatocellular Carcinoma: Insights From a Bi-Directional Mendelian Randomization Study.揭示免疫特征与肝细胞癌之间的因果联系:双向孟德尔随机化研究的见解
Turk J Gastroenterol. 2025 Apr 21;36(7):420-30. doi: 10.5152/tjg.2025.24558.
3
An observational and genetic investigation into the association between psoriasis and risk of malignancy.

本文引用的文献

1
Exploring causal correlations between inflammatory cytokines and systemic lupus erythematosus: A Mendelian randomization.探讨炎症细胞因子与系统性红斑狼疮之间的因果关联:一项孟德尔随机化研究。
Front Immunol. 2023 Jan 19;13:985729. doi: 10.3389/fimmu.2022.985729. eCollection 2022.
2
Association between psoriasis and lung cancer: two-sample Mendelian randomization analyses.银屑病与肺癌的相关性:两样本孟德尔随机化分析。
BMC Pulm Med. 2023 Jan 5;23(1):4. doi: 10.1186/s12890-022-02297-0.
3
Alcohol consumption and hepatocellular carcinoma: novel insights from a prospective cohort study and nonlinear Mendelian randomization analysis.
一项关于银屑病与恶性肿瘤风险相关性的观察性和遗传学研究。
Nat Commun. 2024 Sep 11;15(1):7952. doi: 10.1038/s41467-024-51824-6.
4
Causal Effects and Immune Cell Mediators of Prescription Analgesic Use and Risk of Liver Cancer and Precancerosis in European Population: A Mendelian Randomization Study.欧洲人群中处方镇痛药使用与肝癌及癌前病变风险的因果效应和免疫细胞介质:一项孟德尔随机化研究
Biomedicines. 2024 Jul 11;12(7):1537. doi: 10.3390/biomedicines12071537.
5
Mendelian randomization analysis of psoriasis and psoriatic arthritis associated with risks of ulcerative colitis.基于孟德尔随机化分析的银屑病和银屑病关节炎与溃疡性结肠炎发病风险的相关性研究。
Skin Res Technol. 2024 Jul;30(7):e13795. doi: 10.1111/srt.13795.
6
Causal effects and metabolites mediators between immune cell and risk of breast cancer: a Mendelian randomization study.免疫细胞与乳腺癌风险之间的因果效应及代谢物介导因素:一项孟德尔随机化研究
Front Genet. 2024 May 17;15:1380249. doi: 10.3389/fgene.2024.1380249. eCollection 2024.
7
Starting the journey: Understanding the roles of complement proteins in liver diseases through mendelian randomization.开启征程:通过孟德尔随机化理解补体蛋白在肝脏疾病中的作用
Clin Mol Hepatol. 2024 Apr;30(2):150-153. doi: 10.3350/cmh.2024.0116. Epub 2024 Feb 22.
8
Dietary inflammation index is associated with dyslipidemia: evidence from national health and nutrition examination survey, 1999-2019.膳食炎症指数与血脂异常相关:来自 1999-2019 年全国健康与营养调查的证据。
Lipids Health Dis. 2023 Sep 9;22(1):149. doi: 10.1186/s12944-023-01914-z.
饮酒与肝细胞癌:一项前瞻性队列研究和非线性孟德尔随机化分析的新见解。
BMC Med. 2022 Oct 28;20(1):413. doi: 10.1186/s12916-022-02622-8.
4
Circulating vascular endothelial growth factor and cancer risk: A bidirectional mendelian randomization.循环血管内皮生长因子与癌症风险:双向孟德尔随机化研究
Front Genet. 2022 Sep 7;13:981032. doi: 10.3389/fgene.2022.981032. eCollection 2022.
5
C-reactive protein and cancer risk: a pan-cancer study of prospective cohort and Mendelian randomization analysis.C 反应蛋白与癌症风险:前瞻性队列和孟德尔随机化分析的泛癌症研究。
BMC Med. 2022 Sep 19;20(1):301. doi: 10.1186/s12916-022-02506-x.
6
Association between metabolic syndrome, C-reactive protein, and the risk of primary liver cancer: a large prospective study.代谢综合征、C 反应蛋白与原发性肝癌风险的关系:一项大型前瞻性研究。
BMC Cancer. 2022 Aug 4;22(1):853. doi: 10.1186/s12885-022-09939-w.
7
Dissecting causal relationships between nonalcoholic fatty liver disease proxied by chronically elevated alanine transaminase levels and 34 extrahepatic diseases.剖析以慢性升高的丙氨酸转氨酶水平为代表的非酒精性脂肪性肝病与34种肝外疾病之间的因果关系。
Metabolism. 2022 Oct;135:155270. doi: 10.1016/j.metabol.2022.155270. Epub 2022 Jul 29.
8
Causal relationships between inflammatory factors and multiple myeloma: A bidirectional Mendelian randomization study.炎症因子与多发性骨髓瘤之间的因果关系:一项双向孟德尔随机化研究。
Int J Cancer. 2022 Nov 15;151(10):1750-1759. doi: 10.1002/ijc.34214. Epub 2022 Jul 29.
9
Association of the presence of allergic disease with subsequent risk of liver cancer in a nationwide retrospective cohort among Koreans.韩国全国性回顾性队列研究中,过敏疾病的存在与随后肝癌风险的相关性。
Sci Rep. 2022 Jun 14;12(1):9856. doi: 10.1038/s41598-022-14147-4.
10
Risk of Cancer in Inflammatory Bowel Diseases: Umbrella Review and Reanalysis of Meta-analyses.炎症性肠病中的癌症风险:伞状综述与荟萃分析的再分析
Gastroenterology. 2022 Sep;163(3):671-684. doi: 10.1053/j.gastro.2022.05.038. Epub 2022 May 26.