• 文献检索
  • 文档翻译
  • 深度研究
  • 学术资讯
  • Suppr Zotero 插件Zotero 插件
  • 邀请有礼
  • 套餐&价格
  • 历史记录
应用&插件
Suppr Zotero 插件Zotero 插件浏览器插件Mac 客户端Windows 客户端微信小程序
定价
高级版会员购买积分包购买API积分包
服务
文献检索文档翻译深度研究API 文档MCP 服务
关于我们
关于 Suppr公司介绍联系我们用户协议隐私条款
关注我们

Suppr 超能文献

核心技术专利:CN118964589B侵权必究
粤ICP备2023148730 号-1Suppr @ 2026

文献检索

告别复杂PubMed语法,用中文像聊天一样搜索,搜遍4000万医学文献。AI智能推荐,让科研检索更轻松。

立即免费搜索

文件翻译

保留排版,准确专业,支持PDF/Word/PPT等文件格式,支持 12+语言互译。

免费翻译文档

深度研究

AI帮你快速写综述,25分钟生成高质量综述,智能提取关键信息,辅助科研写作。

立即免费体验

使用Morisky量表测量罕见病患者自我报告的药物依从性:一项系统评价和荟萃分析。

Self-Reported Medication Adherence Measured with Morisky Scales in Rare Disease Patients: A Systematic Review and Meta-Analysis.

作者信息

García-Muñoz Ana María, Victoria-Montesinos Desirée, Cerdá Begoña, Ballester Pura, de Velasco Eloisa María, Zafrilla Pilar

机构信息

Faculty of Pharmacy and Nutrition, Universidad Católica San Antonio de Murcia (UCAM), Campus de los Jerónimos, 30107 Murcia, Spain.

出版信息

Healthcare (Basel). 2023 May 31;11(11):1609. doi: 10.3390/healthcare11111609.

DOI:10.3390/healthcare11111609
PMID:37297749
原文链接:https://pmc.ncbi.nlm.nih.gov/articles/PMC10253179/
Abstract

BACKGROUND

The visibility of Rare Diseases is a new challenge for society. These diseases are numerous, heterogeneous in nature and distribution, characterized by a high mortality rate but low prevalence, and usually presenting a severe evolution. Adherence to medication studies in rare diseases are uncommon, due to treatment scarcity.

OBJECTIVES

The main purpose of this study is to do a meta-analysis, evaluating the level of adherence to medication in the most prevalent rare diseases.

METHODS

This work is a systematic review, and meta-analysis was registered in the International Prospective Register of Systematic Reviews (PROSPERO) (Registration number: CRD42022372843) and conducted according to the Preferred Reporting Items for Systematic Reviews and Meta-Analyses (PRISMA) statement. Adherence to treatment in this systematic review and meta-analysis was collected from all studies included, based on the crude numerators and denominators reported, using either the Morisky Medication Adherence Scale 4 or -8.

RESULTS

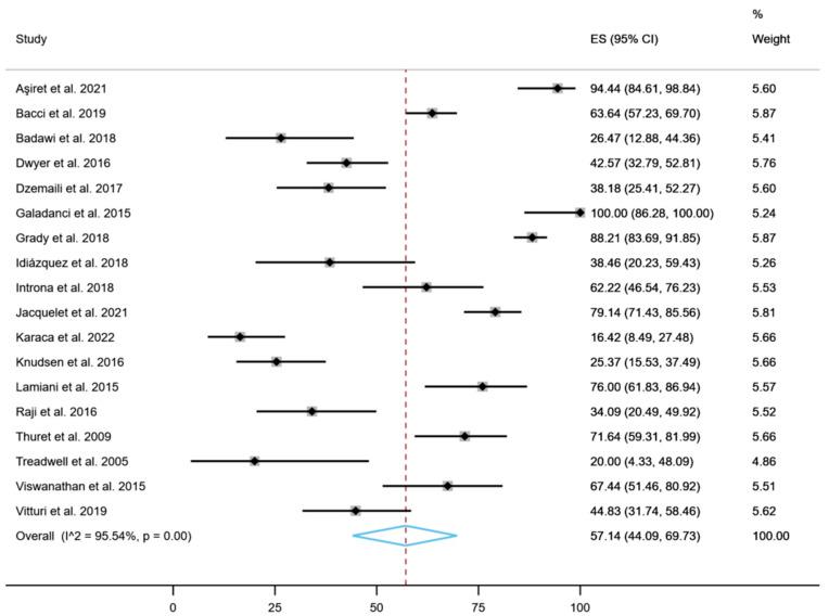
A total of 54 records were identified through database searches, or after screening relevant manuscripts' references. Finally, 18 studies were included in this systematic review and meta-analysis. A total of 1559 participants (54.18% women) aged less than 84 years old were included. Twelve studies used the MMAS-8. In 8 of them, they established the level of adherence to treatment in three categories (low, medium, and high), with the mean prevalence in each of them being 41.4%, 30.4%, and 28.2%, respectively.

CONCLUSIONS

The results observed in adherence to treatment in patients with rare diseases show great variability, due to the different aspects involved in the greater or lesser applicability of the medication.

摘要

背景

罕见病的可见性是社会面临的新挑战。这些疾病数量众多,在性质和分布上具有异质性,其特点是死亡率高但患病率低,且通常呈现严重的病情发展。由于治疗方法稀缺,针对罕见病的药物依从性研究并不常见。

目的

本研究的主要目的是进行一项荟萃分析,评估最常见的罕见病的药物依从性水平。

方法

本研究为系统评价,并在国际前瞻性系统评价注册库(PROSPERO)中进行了注册(注册号:CRD42022372843),并根据系统评价和荟萃分析的首选报告项目(PRISMA)声明进行。在本系统评价和荟萃分析中,基于所报告的原始分子和分母,使用Morisky药物依从性量表4或8,从纳入的所有研究中收集治疗依从性数据。

结果

通过数据库检索或筛选相关手稿参考文献后,共识别出54条记录。最终,18项研究纳入了本系统评价和荟萃分析。共纳入1559名年龄小于84岁的参与者(54.18%为女性)。12项研究使用了MMAS-8。其中8项研究将治疗依从性水平分为三类(低、中、高),每类的平均患病率分别为41.4%、30.4%和28.2%。

结论

在罕见病患者中观察到的治疗依从性结果显示出很大的变异性,这是由于药物适用性或多或少所涉及的不同方面所致。

https://cdn.ncbi.nlm.nih.gov/pmc/blobs/dd7b/10253179/1b72da682aab/healthcare-11-01609-g004.jpg
https://cdn.ncbi.nlm.nih.gov/pmc/blobs/dd7b/10253179/6477d10cab8b/healthcare-11-01609-g001.jpg
https://cdn.ncbi.nlm.nih.gov/pmc/blobs/dd7b/10253179/edc3a173a1cd/healthcare-11-01609-g002.jpg
https://cdn.ncbi.nlm.nih.gov/pmc/blobs/dd7b/10253179/821bbe4a0be4/healthcare-11-01609-g003.jpg
https://cdn.ncbi.nlm.nih.gov/pmc/blobs/dd7b/10253179/1b72da682aab/healthcare-11-01609-g004.jpg
https://cdn.ncbi.nlm.nih.gov/pmc/blobs/dd7b/10253179/6477d10cab8b/healthcare-11-01609-g001.jpg
https://cdn.ncbi.nlm.nih.gov/pmc/blobs/dd7b/10253179/edc3a173a1cd/healthcare-11-01609-g002.jpg
https://cdn.ncbi.nlm.nih.gov/pmc/blobs/dd7b/10253179/821bbe4a0be4/healthcare-11-01609-g003.jpg
https://cdn.ncbi.nlm.nih.gov/pmc/blobs/dd7b/10253179/1b72da682aab/healthcare-11-01609-g004.jpg

相似文献

1
Self-Reported Medication Adherence Measured with Morisky Scales in Rare Disease Patients: A Systematic Review and Meta-Analysis.使用Morisky量表测量罕见病患者自我报告的药物依从性:一项系统评价和荟萃分析。
Healthcare (Basel). 2023 May 31;11(11):1609. doi: 10.3390/healthcare11111609.
2
Folic acid supplementation and malaria susceptibility and severity among people taking antifolate antimalarial drugs in endemic areas.在流行地区,服用抗叶酸抗疟药物的人群中,叶酸补充剂与疟疾易感性和严重程度的关系。
Cochrane Database Syst Rev. 2022 Feb 1;2(2022):CD014217. doi: 10.1002/14651858.CD014217.
3
Self-Reported Medication Adherence Measured With Morisky Medication Adherence Scales and Its Determinants in Hypertensive Patients Aged ≥60 Years: A Systematic Review and Meta-Analysis.使用Morisky药物依从性量表测量的≥60岁高血压患者自我报告的药物依从性及其决定因素:一项系统评价和荟萃分析。
Front Pharmacol. 2019 Mar 1;10:168. doi: 10.3389/fphar.2019.00168. eCollection 2019.
4
The future of Cochrane Neonatal.考克兰新生儿协作网的未来。
Early Hum Dev. 2020 Nov;150:105191. doi: 10.1016/j.earlhumdev.2020.105191. Epub 2020 Sep 12.
5
Non-adherence to anti-hypertensive medications in a low-resource country Nepal: a systematic review and meta-analysis.资源匮乏国家尼泊尔患者对抗高血压药物的不依从性:一项系统评价与荟萃分析
Ann Med Surg (Lond). 2023 Jul 19;85(9):4520-4530. doi: 10.1097/MS9.0000000000001088. eCollection 2023 Sep.
6
Self-report instruments for assessing adherence to warfarin therapy: a systematic review.自我报告工具评估华法林治疗依从性:系统评价。
Eur J Clin Pharmacol. 2021 Dec;77(12):1765-1781. doi: 10.1007/s00228-021-03168-z. Epub 2021 Jul 22.
7
Prevalence and predictors of medication non-adherence among people living with multimorbidity: a systematic review and meta-analysis.患有多种疾病的人群中药物不依从的流行率和预测因素:系统评价和荟萃分析。
BMJ Open. 2021 Sep 2;11(9):e044987. doi: 10.1136/bmjopen-2020-044987.
8
9
Adherence to antihypertensive drug treatment in Brazil: a systematic review and meta-analysis.巴西抗高血压药物治疗的依从性:系统评价和荟萃分析。
Cien Saude Colet. 2024 Aug;29(8):e19282022. doi: 10.1590/1413-81232024298.19282022. Epub 2023 Aug 23.
10
Antiseizure medication nonadherence and its associated factors among Epileptic patients in Ethiopia, a systematic review and meta-analysis.抗癫痫药物不依从及其相关因素在埃塞俄比亚癫痫患者中的系统评价和荟萃分析。
Seizure. 2021 Oct;91:462-475. doi: 10.1016/j.seizure.2021.07.024. Epub 2021 Jul 26.

引用本文的文献

1
Medication Adherence and Contributing Factors in Patients with Heart Failure Within the Middle East: A Systematic Review.中东地区心力衰竭患者的药物依从性及影响因素:一项系统评价
Glob Heart. 2025 May 27;20(1):47. doi: 10.5334/gh.1431. eCollection 2025.
2
Non-Adherence Rate to Oral Mesalamine in Ulcerative Colitis Patients: A Systematic Review with Meta-Analysis.溃疡性结肠炎患者口服美沙拉嗪的不依从率:一项系统评价与荟萃分析
J Pers Med. 2025 Mar 24;15(4):123. doi: 10.3390/jpm15040123.
3
Effect of exercise-nutrition-psychology oriented nursing in patients undergoing interventional embolization for intracranial aneurysm.

本文引用的文献

1
The impact of the COVID-19 pandemic on Fabry Disease Patients: an examination of Mood Status, Therapy Adherence, and COVID-19 infection.COVID-19 大流行对法布雷病患者的影响:情绪状态、治疗依从性和 COVID-19 感染的考察。
Orphanet J Rare Dis. 2022 Sep 5;17(1):338. doi: 10.1186/s13023-022-02491-7.
2
Rare Diseases: Needs and Impact for Patients and Families: A Cross-Sectional Study in the Valencian Region, Spain.罕见病:患者及其家庭的需求和影响:西班牙巴伦西亚地区的一项横断面研究。
Int J Environ Res Public Health. 2022 Aug 19;19(16):10366. doi: 10.3390/ijerph191610366.
3
Psychosocial Considerations for the Child with Rare Disease: A Review with Recommendations and Calls to Action.
运动-营养-心理导向护理对颅内动脉瘤介入栓塞患者的影响。
Am J Transl Res. 2024 Jan 15;16(1):333-341. doi: 10.62347/HMMQ1938. eCollection 2024.
罕见病患儿的社会心理考量:一项带有建议与行动呼吁的综述
Children (Basel). 2022 Jun 21;9(7):933. doi: 10.3390/children9070933.
4
Orphan Drug Use in Patients With Rare Diseases: A Population-Based Cohort Study.罕见病患者使用孤儿药:一项基于人群的队列研究。
Front Pharmacol. 2022 May 16;13:869842. doi: 10.3389/fphar.2022.869842. eCollection 2022.
5
Current Treatment of Myasthenia Gravis.重症肌无力的当前治疗方法
J Clin Med. 2022 Mar 14;11(6):1597. doi: 10.3390/jcm11061597.
6
Prescription is not enough: the importance of adherence to pharmacological treatment of COPD.仅靠开处方是不够的:坚持慢性阻塞性肺疾病药物治疗的重要性。
J Bras Pneumol. 2022 Mar 14;48(1):e20220058. doi: 10.36416/1806-3756/e20220058.
7
Adherence to treatment, a challenge even in treatable metabolic rare diseases: A cross sectional study of Wilson's disease.治疗依从性,即使在可治疗的代谢性罕见病中也是一个挑战:一项对肝豆状核变性的横断面研究。
J Inherit Metab Dis. 2021 Nov;44(6):1481-1488. doi: 10.1002/jimd.12430. Epub 2021 Sep 21.
8
Impact of Pharmacists' Interventions and Patients' Decision on Health Outcomes in Terms of Medication Adherence and Quality Use of Medicines among Patients Attending Community Pharmacies: A Systematic Review.社区药房中,药师干预和患者决策对药物依从性和药物合理使用的健康结局的影响:系统评价。
Int J Environ Res Public Health. 2021 Apr 21;18(9):4392. doi: 10.3390/ijerph18094392.
9
The PRISMA 2020 statement: an updated guideline for reporting systematic reviews.PRISMA 2020 声明:系统评价报告的更新指南。
BMJ. 2021 Mar 29;372:n71. doi: 10.1136/bmj.n71.
10
Feasibility of Medical Student Mentors to Improve Transition in Sickle Cell Disease.医学生导师在改善镰状细胞病患者转归中的可行性研究
J Pediatr Psychol. 2021 Jul 20;46(6):650-661. doi: 10.1093/jpepsy/jsab031.