Suppr超能文献

反常关联诱导的动力学相变。

Anomalous correlation-induced dynamical phase transitions.

机构信息

Department of Physics, Zhejiang Normal University, Jinhua, 321004, People's Republic of China.

出版信息

Sci Rep. 2023 Jun 10;13(1):9470. doi: 10.1038/s41598-023-36564-9.

Abstract

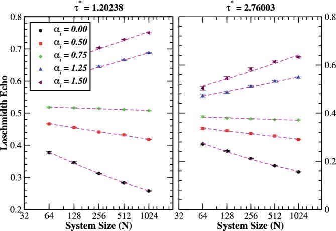
The nonanalyticity of the Loschmidt echo at critical times in quantum quenched systems is termed as the dynamical quantum phase transition, extending the notion of quantum criticality to a nonequilibrium scenario. In this paper, we establish a new paradigm of dynamical phase transitions driven by a sudden change in the internal spatial correlations of the disorder potential in a low-dimensional disordered system. The quench dynamics between prequenched pure and postquenched random system Hamiltonian reveals an anomalous dynamical quantum phase transition triggered by an infinite disorder correlation in the modulation potential. The physical origin of the anomalous phenomenon is associated with the overlap between the two distinctly different extended states. Furthermore, we explore the quench dynamics between the prequenched random and postquenched pure system Hamiltonian. Interestingly, the quenched system undergoes dynamical quantum phase transitions for the prequench white-noise potential in the thermodynamic limit. In addition, the quench dynamics also shows a clear signature of the delocalization phase transition in the correlated Anderson model.

摘要

在量子淬火系统中临界时间的 Loschmidt 回波的非解析性被称为动力学量子相变,将量子临界点的概念扩展到非平衡情况。在本文中,我们建立了一个由无序势的内部空间相关性在低维无序系统中的突然变化驱动的动力学相变的新范例。预淬火纯和后淬火随机系统哈密顿量之间的淬火动力学揭示了由调制势中的无限无序相关性引发的异常动力学量子相变。异常现象的物理起源与两个截然不同的扩展态之间的重叠有关。此外,我们还研究了预淬火随机和后淬火纯系统哈密顿量之间的淬火动力学。有趣的是,在热力学极限下,预淬火白噪声势的淬火系统经历了动力学量子相变。此外,淬火动力学在相关安德森模型中也显示出了去局域化相变的明显特征。

https://cdn.ncbi.nlm.nih.gov/pmc/blobs/7b31/10257700/98c3a44fdc65/41598_2023_36564_Fig1_HTML.jpg

文献AI研究员

20分钟写一篇综述,助力文献阅读效率提升50倍。

立即体验

用中文搜PubMed

大模型驱动的PubMed中文搜索引擎

马上搜索

文档翻译

学术文献翻译模型,支持多种主流文档格式。

立即体验