Medical College of Nanchang University, Nanchang, Jiangxi, China.
Department of Pulmonary and Critical Care Medicine, Jiangxi Provincial People's Hospital, The First Affiliated Hospital of Nanchang Medical College, Nanchang, Jiangxi, China.
Front Immunol. 2023 May 25;14:1192369. doi: 10.3389/fimmu.2023.1192369. eCollection 2023.
The assessment of accurate mortality risk is essential for managing pneumonia patients with connective tissue disease (CTD) treated with glucocorticoids or/and immunosuppressants. This study aimed to construct a nomogram for predicting 90-day mortality in pneumonia patients using machine learning.
Data were obtained from the DRYAD database. Pneumonia patients with CTD were screened. The samples were randomly divided into a training cohort (70%) and a validation cohort (30%). A univariate Cox regression analysis was used to screen for prognostic variables in the training cohort. Prognostic variables were entered into the least absolute shrinkage and selection operator (Lasso) and a random survival forest (RSF) analysis was used to screen important prognostic variables. The overlapping prognostic variables of the two algorithms were entered into the stepwise Cox regression analysis to screen the main prognostic variables and construct a model. Model predictive power was assessed using the C-index, the calibration curve, and the clinical subgroup analysis (age, gender, interstitial lung disease, diabetes mellitus). The clinical benefits of the model were assessed using a decision curve analysis (DCA). Similarly, the C-index was calculated and the calibration curve was plotted to verify the model stability in the validation cohort.
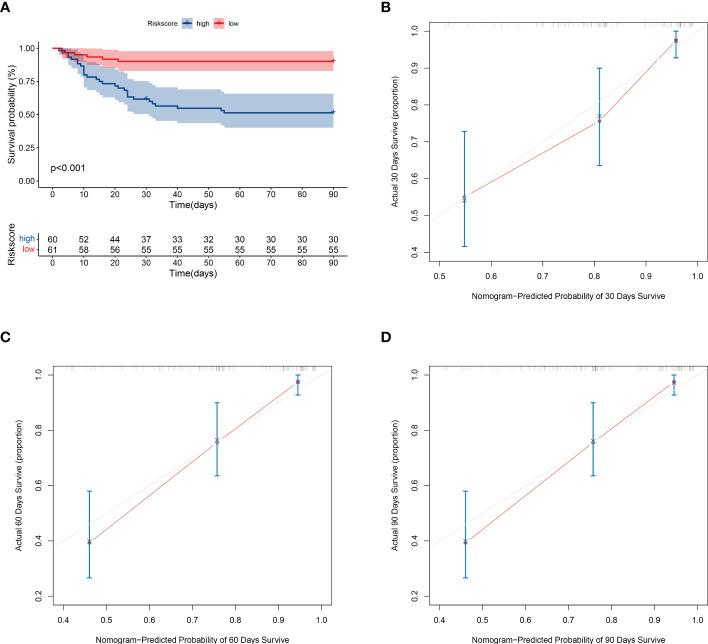
A total of 368 pneumonia patients with CTD (training cohort: 247; validation cohort: 121) treated with glucocorticoids or/and immunosuppressants were included. The univariate Cox regression analysis obtained 19 prognostic variables. Lasso and RSF algorithms obtained eight overlapping variables. The overlapping variables were entered into a stepwise Cox regression to obtain five variables (fever, cyanosis, blood urea nitrogen, ganciclovir treatment, and anti-pseudomonas treatment), and a prognostic model was constructed based on the five variables. The C-index of the construction nomogram of the training cohort was 0.808. The calibration curve, DCA results, and clinical subgroup analysis showed that the model also had good predictive power. Similarly, the C-index of the model in the validation cohort was 0.762 and the calibration curve had good predictive value.
In this study, the nomogram developed performed well in predicting the 90-day risk of death in pneumonia patients with CTD treated with glucocorticoids or/and immunosuppressants.
评估准确的死亡率风险对于管理接受糖皮质激素或/和免疫抑制剂治疗的结缔组织病(CTD)合并肺炎患者至关重要。本研究旨在使用机器学习构建一个预测肺炎合并 CTD 患者 90 天死亡率的列线图。
从 DRYAD 数据库中获取数据,筛选出 CTD 合并肺炎患者,将样本随机分为训练队列(70%)和验证队列(30%)。在训练队列中,使用单因素 Cox 回归分析筛选预后变量。将预后变量输入最小绝对收缩和选择算子(Lasso)和随机生存森林(RSF)分析中,筛选重要的预后变量。将两种算法的重叠预后变量输入逐步 Cox 回归分析中,筛选主要预后变量并构建模型。使用 C 指数、校准曲线和临床亚组分析(年龄、性别、间质性肺病、糖尿病)评估模型的预测能力。使用决策曲线分析(DCA)评估模型的临床获益。同样,计算 C 指数并绘制校准曲线,以验证模型在验证队列中的稳定性。
共纳入 368 例接受糖皮质激素或/和免疫抑制剂治疗的 CTD 合并肺炎患者(训练队列:247 例;验证队列:121 例)。单因素 Cox 回归分析获得 19 个预后变量。Lasso 和 RSF 算法获得 8 个重叠变量。将重叠变量输入逐步 Cox 回归中,得到 5 个变量(发热、发绀、血尿素氮、更昔洛韦治疗、抗假单胞菌治疗),并基于这 5 个变量构建预后模型。训练队列构建列线图的 C 指数为 0.808。校准曲线、DCA 结果和临床亚组分析表明,该模型也具有良好的预测能力。同样,模型在验证队列中的 C 指数为 0.762,校准曲线具有良好的预测价值。
本研究构建的列线图在预测接受糖皮质激素或/和免疫抑制剂治疗的 CTD 合并肺炎患者 90 天死亡风险方面表现良好。