• 文献检索
  • 文档翻译
  • 深度研究
  • 学术资讯
  • Suppr Zotero 插件Zotero 插件
  • 邀请有礼
  • 套餐&价格
  • 历史记录
应用&插件
Suppr Zotero 插件Zotero 插件浏览器插件Mac 客户端Windows 客户端微信小程序
定价
高级版会员购买积分包购买API积分包
服务
文献检索文档翻译深度研究API 文档MCP 服务
关于我们
关于 Suppr公司介绍联系我们用户协议隐私条款
关注我们

Suppr 超能文献

核心技术专利:CN118964589B侵权必究
粤ICP备2023148730 号-1Suppr @ 2026

文献检索

告别复杂PubMed语法,用中文像聊天一样搜索,搜遍4000万医学文献。AI智能推荐,让科研检索更轻松。

立即免费搜索

文件翻译

保留排版,准确专业,支持PDF/Word/PPT等文件格式,支持 12+语言互译。

免费翻译文档

深度研究

AI帮你快速写综述,25分钟生成高质量综述,智能提取关键信息,辅助科研写作。

立即免费体验

一个由与细胞衰老相关的 lncRNAs 组成的预测分子特征,用于肺腺癌的预后。

A predictive molecular signature consisting of lncRNAs associated with cellular senescence for the prognosis of lung adenocarcinoma.

机构信息

Department of Thoracic Surgery, The Seventh Affiliated Hospital, Sun Yat-sen University, Shenzhen, China.

出版信息

PLoS One. 2023 Jun 23;18(6):e0287132. doi: 10.1371/journal.pone.0287132. eCollection 2023.

DOI:10.1371/journal.pone.0287132
PMID:37352167
原文链接:https://pmc.ncbi.nlm.nih.gov/articles/PMC10289466/
Abstract

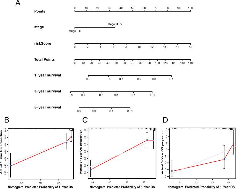
The role of long noncoding RNAs (lncRNAs) has been verified by more and more researches in recent years. However, there are few reports on cellular senescence-associated lncRNAs in lung adenocarcinoma (LUAD). Therefore, to explore the prognostic effect of lncRNAs in LUAD, 279 cellular senescence-related genes, survival information and clinicopathologic parameters were derived from the CellAge database and The Cancer Genome Atlas (TCGA) database. Then, we constructed a novel cellular senescence-associated lncRNAs predictive signature (CS-ALPS) consisting of 6 lncRNAS (AC026355.1, AL365181.2, AF131215.5, C20orf197, GAS6-AS1, GSEC). According to the median of the risk score, 480 samples were divided into high-risk and low-risk groups. Furthermore, the clinicopathological and biological functions, immune characteristics and common drug sensitivity were analyzed between two risk groups. In conclusion, the CS-ALPS can independently forecast the prognosis of LUAD, which reveals the potential molecular mechanism of cellular senescence-associated lncRNAs, and provides appropriate strategies for the clinical treatment of patients with LUAD.

摘要

近年来,越来越多的研究证实了长非编码 RNA(lncRNA)的作用。然而,关于肺腺癌(LUAD)中与细胞衰老相关的 lncRNA 的报道较少。因此,为了探讨 lncRNA 在 LUAD 中的预后作用,我们从 CellAge 数据库和癌症基因组图谱(TCGA)数据库中提取了 279 个与细胞衰老相关的基因、生存信息和临床病理参数。然后,我们构建了一个由 6 个 lncRNA(AC026355.1、AL365181.2、AF131215.5、C20orf197、GAS6-AS1、GSEC)组成的新型与细胞衰老相关的 lncRNA 预测特征(CS-ALPS)。根据风险评分的中位数,将 480 个样本分为高风险和低风险组。此外,我们还分析了两组之间的临床病理和生物学功能、免疫特征和常见药物敏感性。总之,CS-ALPS 可以独立预测 LUAD 的预后,揭示了与细胞衰老相关的 lncRNA 的潜在分子机制,并为 LUAD 患者的临床治疗提供了合适的策略。

https://cdn.ncbi.nlm.nih.gov/pmc/blobs/831e/10289466/1e2f0b618352/pone.0287132.g010.jpg
https://cdn.ncbi.nlm.nih.gov/pmc/blobs/831e/10289466/8e014819600f/pone.0287132.g001.jpg
https://cdn.ncbi.nlm.nih.gov/pmc/blobs/831e/10289466/8ce8e081b8cc/pone.0287132.g002.jpg
https://cdn.ncbi.nlm.nih.gov/pmc/blobs/831e/10289466/12315190961e/pone.0287132.g003.jpg
https://cdn.ncbi.nlm.nih.gov/pmc/blobs/831e/10289466/c9c839df9c55/pone.0287132.g004.jpg
https://cdn.ncbi.nlm.nih.gov/pmc/blobs/831e/10289466/079650ad99ec/pone.0287132.g005.jpg
https://cdn.ncbi.nlm.nih.gov/pmc/blobs/831e/10289466/1da556a6eef8/pone.0287132.g006.jpg
https://cdn.ncbi.nlm.nih.gov/pmc/blobs/831e/10289466/1e2a1de7582e/pone.0287132.g007.jpg
https://cdn.ncbi.nlm.nih.gov/pmc/blobs/831e/10289466/8bc7a012ef0a/pone.0287132.g008.jpg
https://cdn.ncbi.nlm.nih.gov/pmc/blobs/831e/10289466/35016cf964ca/pone.0287132.g009.jpg
https://cdn.ncbi.nlm.nih.gov/pmc/blobs/831e/10289466/1e2f0b618352/pone.0287132.g010.jpg
https://cdn.ncbi.nlm.nih.gov/pmc/blobs/831e/10289466/8e014819600f/pone.0287132.g001.jpg
https://cdn.ncbi.nlm.nih.gov/pmc/blobs/831e/10289466/8ce8e081b8cc/pone.0287132.g002.jpg
https://cdn.ncbi.nlm.nih.gov/pmc/blobs/831e/10289466/12315190961e/pone.0287132.g003.jpg
https://cdn.ncbi.nlm.nih.gov/pmc/blobs/831e/10289466/c9c839df9c55/pone.0287132.g004.jpg
https://cdn.ncbi.nlm.nih.gov/pmc/blobs/831e/10289466/079650ad99ec/pone.0287132.g005.jpg
https://cdn.ncbi.nlm.nih.gov/pmc/blobs/831e/10289466/1da556a6eef8/pone.0287132.g006.jpg
https://cdn.ncbi.nlm.nih.gov/pmc/blobs/831e/10289466/1e2a1de7582e/pone.0287132.g007.jpg
https://cdn.ncbi.nlm.nih.gov/pmc/blobs/831e/10289466/8bc7a012ef0a/pone.0287132.g008.jpg
https://cdn.ncbi.nlm.nih.gov/pmc/blobs/831e/10289466/35016cf964ca/pone.0287132.g009.jpg
https://cdn.ncbi.nlm.nih.gov/pmc/blobs/831e/10289466/1e2f0b618352/pone.0287132.g010.jpg

相似文献

1
A predictive molecular signature consisting of lncRNAs associated with cellular senescence for the prognosis of lung adenocarcinoma.一个由与细胞衰老相关的 lncRNAs 组成的预测分子特征,用于肺腺癌的预后。
PLoS One. 2023 Jun 23;18(6):e0287132. doi: 10.1371/journal.pone.0287132. eCollection 2023.
2
Identification of a RNA-Seq Based Prognostic Signature with Seven Immune-Related lncRNAs for Lung Adenocarcinoma.基于RNA测序鉴定七种免疫相关长链非编码RNA的肺腺癌预后特征
Clin Lab. 2021 Mar 1;67(3). doi: 10.7754/Clin.Lab.2020.200663.
3
A novel senescence-related lncRNA signature that predicts prognosis and the tumor microenvironment in patients with lung adenocarcinoma.一种预测肺腺癌患者预后和肿瘤微环境的新型衰老相关长链非编码RNA特征。
Front Genet. 2022 Nov 3;13:951311. doi: 10.3389/fgene.2022.951311. eCollection 2022.
4
A Novel Necroptosis-Related lncRNA Signature Predicts the Prognosis of Lung Adenocarcinoma.一种新型坏死性凋亡相关lncRNA特征预测肺腺癌预后
Front Genet. 2022 Mar 17;13:862741. doi: 10.3389/fgene.2022.862741. eCollection 2022.
5
Identification of an immune-related six-long noncoding RNA signature as a novel prognosis biomarker for adenocarcinoma of lung.鉴定一个免疫相关的六个长非编码 RNA 特征作为肺腺癌的新型预后生物标志物。
Biosci Rep. 2021 Jan 29;41(1). doi: 10.1042/BSR20202444.
6
A disulfidptosis-related lncRNA signature for predicting prognosis and evaluating the tumor immune microenvironment of lung adenocarcinoma.一个与二硫键错配相关的 lncRNA 标志物,用于预测肺腺癌的预后和评估肿瘤免疫微环境。
Sci Rep. 2024 Feb 26;14(1):4621. doi: 10.1038/s41598-024-55201-7.
7
Establishment of a prognostic signature for lung adenocarcinoma using cuproptosis-related lncRNAs.基于铜死亡相关 lncRNAs 构建肺腺癌预后模型。
BMC Bioinformatics. 2023 Mar 6;24(1):81. doi: 10.1186/s12859-023-05192-5.
8
Development of six immune-related lncRNA signature prognostic model for smoking-positive lung adenocarcinoma.吸烟阳性肺腺癌的六种免疫相关lncRNA特征预后模型的开发
J Clin Lab Anal. 2022 Jun;36(6):e24467. doi: 10.1002/jcla.24467. Epub 2022 May 13.
9
Identification and validation of a novel redox-related lncRNA prognostic signature in lung adenocarcinoma.鉴定和验证肺腺癌中一种新的氧化还原相关长非编码 RNA 预后标志物。
Bioengineered. 2021 Dec;12(1):4331-4348. doi: 10.1080/21655979.2021.1951522.
10
A cuproptosis-related lncRNAs risk model to predict prognosis and guide immunotherapy for lung adenocarcinoma.一种用于预测肺腺癌预后并指导免疫治疗的铜死亡相关长链非编码RNA风险模型。
Ann Transl Med. 2023 Mar 15;11(5):198. doi: 10.21037/atm-22-3195. Epub 2023 Mar 7.

引用本文的文献

1
Prognostic cellular senescence-related lncRNAs patterns to predict clinical outcome and immune response in colon cancer.预测结肠癌临床结局和免疫反应的预后性细胞衰老相关长链非编码RNA模式
Front Immunol. 2024 Sep 2;15:1450135. doi: 10.3389/fimmu.2024.1450135. eCollection 2024.
2
Disulfidptosis-related lncRNAs signature predicting prognosis and immunotherapy effect in lung adenocarcinoma.二硫键相关 lncRNAs 特征预测肺腺癌的预后和免疫治疗效果。
Aging (Albany NY). 2024 Jun 10;16(11):9972-9989. doi: 10.18632/aging.205911.
3
A disulfidptosis-related lncRNA signature for predicting prognosis and evaluating the tumor immune microenvironment of lung adenocarcinoma.

本文引用的文献

1
A novel senescence-related lncRNA signature that predicts prognosis and the tumor microenvironment in patients with lung adenocarcinoma.一种预测肺腺癌患者预后和肿瘤微环境的新型衰老相关长链非编码RNA特征。
Front Genet. 2022 Nov 3;13:951311. doi: 10.3389/fgene.2022.951311. eCollection 2022.
2
Chenodeoxycholic acid inhibits lung adenocarcinoma progression via the integrin α5β1/FAK/p53 signaling pathway.鹅去氧胆酸通过整合素α5β1/黏着斑激酶/p53信号通路抑制肺腺癌进展。
Eur J Pharmacol. 2022 May 15;923:174925. doi: 10.1016/j.ejphar.2022.174925. Epub 2022 Mar 30.
3
Loss of RPS27a expression regulates the cell cycle, apoptosis, and proliferation via the RPL11-MDM2-p53 pathway in lung adenocarcinoma cells.
一个与二硫键错配相关的 lncRNA 标志物,用于预测肺腺癌的预后和评估肿瘤免疫微环境。
Sci Rep. 2024 Feb 26;14(1):4621. doi: 10.1038/s41598-024-55201-7.
RPS27a 表达缺失通过 RPL11-MDM2-p53 通路调控肺腺癌细胞周期、凋亡和增殖。
J Exp Clin Cancer Res. 2022 Jan 24;41(1):33. doi: 10.1186/s13046-021-02230-z.
4
The FcεRI signaling pathway is involved in the pathogenesis of lacrimal gland benign lymphoepithelial lesions as shown by transcriptomic analysis.转录组分析显示,FcεRI 信号通路参与了泪腺良性淋巴上皮病变的发病机制。
Sci Rep. 2021 Nov 8;11(1):21853. doi: 10.1038/s41598-021-01395-z.
5
eIF3a R803K mutation mediates chemotherapy resistance by inducing cellular senescence in small cell lung cancer.eIF3a R803K 突变通过诱导小细胞肺癌细胞衰老介导化疗耐药。
Pharmacol Res. 2021 Dec;174:105934. doi: 10.1016/j.phrs.2021.105934. Epub 2021 Oct 11.
6
PIKE-A promotes glioblastoma growth by driving PPP flux through increasing G6PD expression mediated by phosphorylation of STAT3.PIKE-A 通过磷酸化 STAT3 介导的 G6PD 表达增加来驱动 PPP 通量,从而促进胶质母细胞瘤生长。
Biochem Pharmacol. 2021 Oct;192:114736. doi: 10.1016/j.bcp.2021.114736. Epub 2021 Aug 16.
7
Integrated bioinformatics analysis reveals CDK1 and PLK1 as potential therapeutic targets of lung adenocarcinoma.整合生物信息学分析揭示 CDK1 和 PLK1 是肺腺癌的潜在治疗靶点。
Medicine (Baltimore). 2021 Aug 13;100(32):e26474. doi: 10.1097/MD.0000000000026474.
8
Lung cancer.肺癌。
Lancet. 2021 Aug 7;398(10299):535-554. doi: 10.1016/S0140-6736(21)00312-3. Epub 2021 Jul 21.
9
Evaluation of clinical value and potential mechanism of MTFR2 in lung adenocarcinoma via bioinformatics.基于生物信息学评估 MTFR2 在肺腺癌中的临床价值及潜在机制。
BMC Cancer. 2021 May 26;21(1):619. doi: 10.1186/s12885-021-08378-3.
10
Down-Regulation of TMPO-AS1 Induces Apoptosis in Lung Carcinoma Cells by Regulating miR-143-3p/CDK1 Axis.下调 TMPO-AS1 通过调控 miR-143-3p/CDK1 轴诱导肺癌细胞凋亡。
Technol Cancer Res Treat. 2021 Jan-Dec;20:1533033820948880. doi: 10.1177/1533033820948880.