Suppr超能文献

鳗形鱼类刚度调节策略的计算研究

Computational Study of Stiffness-Tuning Strategies in Anguilliform Fish.

作者信息

Cui Zuo, Zhang Xuyao

机构信息

School of Aerospace Engineering, Guizhou Institute of Technology, Guiyang 550003, China.

School of Mechatronic Engineering, Guizhou University, Guiyang 550025, China.

出版信息

Biomimetics (Basel). 2023 Jun 16;8(2):263. doi: 10.3390/biomimetics8020263.

Abstract

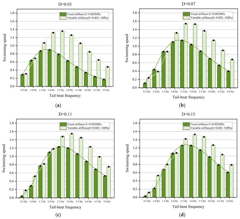
Biological evidence demonstrates that fish can tune their body stiffness to improve thrust and efficiency during swimming locomotion. However, the stiffness-tuning strategies that maximize swimming speed or efficiency are still unclear. In the present study, a musculo-skeletal model of anguilliform fish is developed to study the properties of variable stiffness, in which the planar serial-parallel mechanism is used to model the body structure. The calcium ion model is adopted to simulate muscular activities and generate muscle force. Further, the relations among the forward speed, the swimming efficiency, and Young's modulus of the fish body are investigated. The results show that for certain body stiffness, the swimming speed and efficiency are increased with the tail-beat frequency until reaching the maximum value and then decreased. The peak speed and efficiency are also increased with the amplitude of muscle actuation. Anguilliform fish tend to vary their body stiffness to improve the swimming speed and efficiency at a high tail-beat frequency or small amplitude of muscle actuation. Furthermore, the midline motions of anguilliform fish are analyzed by the complex orthogonal decomposition (COD) method, and the discussions of fish motions associated with the variable body stiffness and the tail-beat frequency are also presented. Overall, the optimal swimming performance of anguilliform fish benefits from the matching relationships among the muscle actuation, the body stiffness, and the tail-beat frequency.

摘要

生物学证据表明,鱼类能够调节其身体的刚度,以在游泳运动中提高推力和效率。然而,使游泳速度或效率最大化的刚度调节策略仍不明确。在本研究中,建立了一个鳗形鱼类的肌肉骨骼模型来研究可变刚度的特性,其中采用平面串并联机构对身体结构进行建模。采用钙离子模型来模拟肌肉活动并产生肌肉力。此外,还研究了鱼体的前进速度、游泳效率与杨氏模量之间的关系。结果表明,对于一定的身体刚度,游泳速度和效率随着尾鳍摆动频率的增加而增加,直至达到最大值,然后下降。峰值速度和效率也随着肌肉驱动幅度的增加而增加。鳗形鱼类倾向于改变其身体刚度,以在高尾鳍摆动频率或小肌肉驱动幅度下提高游泳速度和效率。此外,采用复正交分解(COD)方法对鳗形鱼类的中线运动进行了分析,并对与可变身体刚度和尾鳍摆动频率相关的鱼类运动进行了讨论。总体而言,鳗形鱼类的最佳游泳性能得益于肌肉驱动、身体刚度和尾鳍摆动频率之间的匹配关系。

https://cdn.ncbi.nlm.nih.gov/pmc/blobs/0867/10296630/7c2c4dbac3a0/biomimetics-08-00263-g001.jpg

文献AI研究员

20分钟写一篇综述,助力文献阅读效率提升50倍。

立即体验

用中文搜PubMed

大模型驱动的PubMed中文搜索引擎

马上搜索

文档翻译

学术文献翻译模型,支持多种主流文档格式。

立即体验