State Key Laboratory of Herbage Improvement and Grassland Agro-Ecosystems, Center for Grassland Microbiome, College of Pastoral Agricultural Science and Technology, Lanzhou University, Lanzhou 730000, China.
Sichuan Zoige Alpine Wetland Ecosystem National Observation and Research Station, Institute of Qinghai-Tibetan Plateau, Southwest Minzu University, Chengdu 610041, China.
Int J Mol Sci. 2023 Jun 17;24(12):10262. doi: 10.3390/ijms241210262.
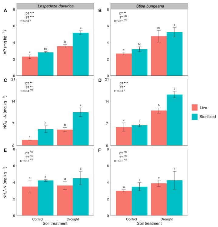
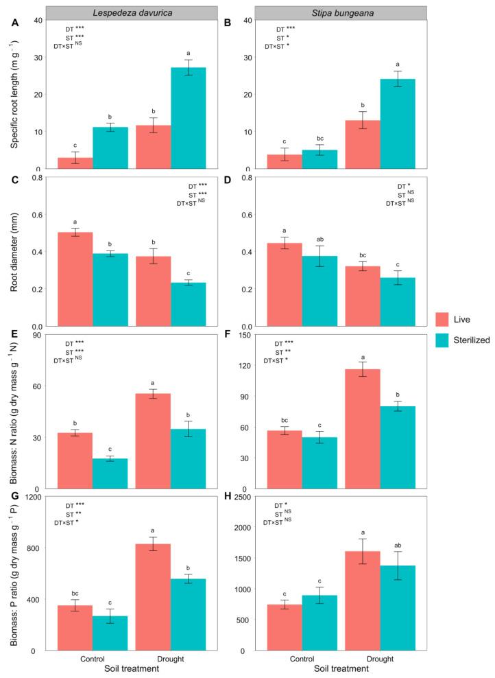
Root traits and arbuscular mycorrhizal (AM) fungi are important in determining the access of plants to soil resources. However, whether plants with different root systems (i.e., taproot vs. fibrous-root) exhibit different root trait plasticity and mycorrhizal responsiveness under drought remains largely unexplored. Tap-rooted and fibrous-rooted were grown in monocultures in sterilized and live soils, followed by a drought treatment. Biomass, root traits, root colonization by AM fungi, and nutrient availability were evaluated. Drought decreased biomass and root diameter but increased the root:shoot ratio (RSR), specific root length (SRL), soil NO-N, and available P for the two species. Under control and drought conditions, soil sterilization significantly increased the RSR, SRL, and soil NO-N for , but this only occurs under drought condition for . Soil sterilization significantly reduced AM fungal root colonization of both species, but drought significantly increased it in live soil. In water-abundant conditions, tap-rooted may depend more on AM fungi than fibrous-rooted ; however, under drought conditions, AM fungi are of equal importance in favoring both plant species to forage soil resources. These findings provide new insights for understanding the resource utilization strategies under climate change.
根系特性和丛枝菌根(AM)真菌在决定植物对土壤资源的获取方面很重要。然而,在干旱条件下,具有不同根系(即主根与须根)的植物是否表现出不同的根系特性可塑性和丛枝菌根响应,这在很大程度上仍未得到探索。主根型和须根型在灭菌和活体土壤的单种栽培中生长,然后进行干旱处理。评估了生物量、根系特性、AM 真菌对根系的定殖以及养分供应。干旱降低了两种植物的生物量和根直径,但增加了根冠比(RSR)、比根长(SRL)、土壤硝态氮(NO-N)和有效磷。在对照和干旱条件下,土壤灭菌显著增加了 的 RSR、SRL 和土壤硝态氮,但仅在干旱条件下增加 的 RSR、SRL 和土壤硝态氮。土壤灭菌显著降低了两种植物的 AM 真菌根系定殖,但在活体土壤中干旱显著增加了 AM 真菌根系定殖。在水分充足的条件下,主根型可能比须根型更依赖 AM 真菌;然而,在干旱条件下,AM 真菌对两种植物都很重要,有利于它们从土壤中获取资源。这些发现为理解气候变化下的资源利用策略提供了新的见解。