• 文献检索
  • 文档翻译
  • 深度研究
  • 学术资讯
  • Suppr Zotero 插件Zotero 插件
  • 邀请有礼
  • 套餐&价格
  • 历史记录
应用&插件
Suppr Zotero 插件Zotero 插件浏览器插件Mac 客户端Windows 客户端微信小程序
定价
高级版会员购买积分包购买API积分包
服务
文献检索文档翻译深度研究API 文档MCP 服务
关于我们
关于 Suppr公司介绍联系我们用户协议隐私条款
关注我们

Suppr 超能文献

核心技术专利:CN118964589B侵权必究
粤ICP备2023148730 号-1Suppr @ 2026

文献检索

告别复杂PubMed语法,用中文像聊天一样搜索,搜遍4000万医学文献。AI智能推荐,让科研检索更轻松。

立即免费搜索

文件翻译

保留排版,准确专业,支持PDF/Word/PPT等文件格式,支持 12+语言互译。

免费翻译文档

深度研究

AI帮你快速写综述,25分钟生成高质量综述,智能提取关键信息,辅助科研写作。

立即免费体验

用于检测和定量恰加斯病患者血液样本中[具体物质未给出]的NAT恰加斯病体外诊断试剂盒的验证。

Validation of the NAT Chagas IVD Kit for the Detection and Quantification of in Blood Samples of Patients with Chagas Disease.

作者信息

Moreira Otacilio C, Fernandes Alice Gomes, Gomes Natalia Lins da Silva, Dos Santos Carolina Messias, Jacomasso Thiago, Costa Alexandre Dias Tavares, Nascimento Lucas de O Rossetti, Hasslocher-Moreno Alejandro Marcel, do Brasil Pedro Emmanuel Alvarenga Americano, Morello Luis Gustavo, Marchini Fabricio Klerynton, Krieger Marco Aurelio, Britto Constança

机构信息

Real Time PCR Platform RPT09A, Laboratory of Molecular Virology and Parasitology, Oswaldo Cruz Institute/Fiocruz, Rio de Janeiro 21040-900, Brazil.

Laboratory of Molecular Biology and Endemic Diseases, Oswaldo Cruz Institute/Fiocruz, Rio de Janeiro 21040-900, Brazil.

出版信息

Life (Basel). 2023 May 24;13(6):1236. doi: 10.3390/life13061236.

DOI:10.3390/life13061236
PMID:37374019
原文链接:https://pmc.ncbi.nlm.nih.gov/articles/PMC10300704/
Abstract

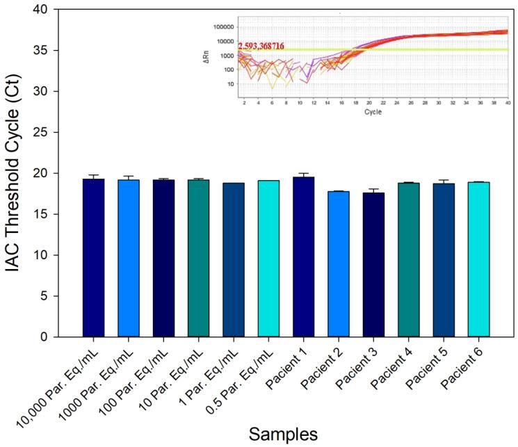
In the absence of validated biomarkers to control the cure of Chagas disease, PCR-based diagnosis is being used as the main tool for an early indication of therapeutic failure. However, since it is considered a technique of complex reproducibility, mainly due to difficulties in establishing accurate controls to guarantee the quality of the reaction, the use of PCR for Chagas disease diagnosis is restricted to specialized centers. In an effort to disseminate the molecular diagnosis of Chagas disease and its applications, new diagnostic kits based on qPCR have been made available in the market in recent years. Here, we show the results of the validation of the NAT Chagas kit (Nucleic Acid Test for Chagas Disease) for the detection and quantification of in blood samples of patients suspected of Chagas disease infection. The kit, composed of a TaqMan duplex reaction targeting the satellite nuclear DNA and an exogenous internal amplification control, presented a reportable range from 10 to 0.5 parasite equivalents/mL and a limit of detection (LOD) of 0.16 parasite equivalents/mL of blood. In addition, the NAT Chagas kit detected belonging to all six discrete typing units (DTUs-TcI to TcVI), similarly to the in-house real-time PCR performed with commercial reagents, which has been selected as the best performance assay in the international consensus for the validation of qPCR for Chagas disease. In the clinical validation presented here, the kit showed 100% sensitivity and 100% specificity when compared to the consensus in-house real-time PCR assay. Thus, the NAT Chagas kit, which is produced entirely in Brazil under the international standards of good manufacturing practices (GMP), appears as an excellent alternative to enable the molecular diagnosis of Chagas disease in public and private diagnostic centers, as well as to facilitate the monitoring of patients under etiological treatment participating in clinical trials.

摘要

在缺乏用于控制恰加斯病治愈的经过验证的生物标志物的情况下,基于聚合酶链反应(PCR)的诊断正被用作早期指示治疗失败的主要工具。然而,由于它被认为是一种重复性复杂的技术,主要是因为难以建立准确的对照来保证反应质量,恰加斯病诊断中PCR的使用仅限于专业中心。为了推广恰加斯病的分子诊断及其应用,近年来市场上推出了基于定量PCR(qPCR)的新型诊断试剂盒。在此,我们展示了NAT恰加斯试剂盒(恰加斯病核酸检测试剂盒)用于检测和定量疑似恰加斯病感染患者血样中的锥虫的验证结果。该试剂盒由针对锥虫卫星核DNA的TaqMan双重反应和一个外源性内部扩增对照组成,报告范围为10至0.5个寄生虫当量/毫升,检测限(LOD)为0.16个寄生虫当量/毫升血液。此外,NAT恰加斯试剂盒检测到了属于所有六个离散型别单元(DTUs - TcI至TcVI)的锥虫,与使用商业试剂进行的内部实时PCR类似,后者已被选为恰加斯病qPCR验证国际共识中性能最佳的检测方法。在此展示的临床验证中,与内部实时PCR共识检测方法相比,该试剂盒显示出100%的灵敏度和100%的特异性。因此,完全按照国际药品生产质量管理规范(GMP)标准在巴西生产的NAT恰加斯试剂盒,似乎是一种极佳的选择,能够在公共和私人诊断中心实现恰加斯病的分子诊断,并有助于监测参与临床试验的接受病原学治疗的患者。

https://cdn.ncbi.nlm.nih.gov/pmc/blobs/6b4c/10300704/e319fd5864b0/life-13-01236-g006.jpg
https://cdn.ncbi.nlm.nih.gov/pmc/blobs/6b4c/10300704/9ecb5d35beab/life-13-01236-g001.jpg
https://cdn.ncbi.nlm.nih.gov/pmc/blobs/6b4c/10300704/5bed64a31667/life-13-01236-g002.jpg
https://cdn.ncbi.nlm.nih.gov/pmc/blobs/6b4c/10300704/adf6839cc30d/life-13-01236-g003.jpg
https://cdn.ncbi.nlm.nih.gov/pmc/blobs/6b4c/10300704/ad690c12f313/life-13-01236-g004.jpg
https://cdn.ncbi.nlm.nih.gov/pmc/blobs/6b4c/10300704/d1c6d0d78063/life-13-01236-g005.jpg
https://cdn.ncbi.nlm.nih.gov/pmc/blobs/6b4c/10300704/e319fd5864b0/life-13-01236-g006.jpg
https://cdn.ncbi.nlm.nih.gov/pmc/blobs/6b4c/10300704/9ecb5d35beab/life-13-01236-g001.jpg
https://cdn.ncbi.nlm.nih.gov/pmc/blobs/6b4c/10300704/5bed64a31667/life-13-01236-g002.jpg
https://cdn.ncbi.nlm.nih.gov/pmc/blobs/6b4c/10300704/adf6839cc30d/life-13-01236-g003.jpg
https://cdn.ncbi.nlm.nih.gov/pmc/blobs/6b4c/10300704/ad690c12f313/life-13-01236-g004.jpg
https://cdn.ncbi.nlm.nih.gov/pmc/blobs/6b4c/10300704/d1c6d0d78063/life-13-01236-g005.jpg
https://cdn.ncbi.nlm.nih.gov/pmc/blobs/6b4c/10300704/e319fd5864b0/life-13-01236-g006.jpg

相似文献

1
Validation of the NAT Chagas IVD Kit for the Detection and Quantification of in Blood Samples of Patients with Chagas Disease.用于检测和定量恰加斯病患者血液样本中[具体物质未给出]的NAT恰加斯病体外诊断试剂盒的验证。
Life (Basel). 2023 May 24;13(6):1236. doi: 10.3390/life13061236.
2
Towards the establishment of a consensus real-time qPCR to monitor Trypanosoma cruzi parasitemia in patients with chronic Chagas disease cardiomyopathy: a substudy from the BENEFIT trial.旨在建立实时 qPCR 共识以监测慢性 Chagas 病心肌病患者中的 Trypanosoma cruzi 寄生虫血症:BENEFIT 试验的一项子研究。
Acta Trop. 2013 Jan;125(1):23-31. doi: 10.1016/j.actatropica.2012.08.020. Epub 2012 Sep 12.
3
Analytical performance of a multiplex Real-Time PCR assay using TaqMan probes for quantification of Trypanosoma cruzi satellite DNA in blood samples.使用 TaqMan 探针的多重实时 PCR 分析方法对血液样本中克氏锥虫卫星 DNA 的定量分析性能。
PLoS Negl Trop Dis. 2013;7(1):e2000. doi: 10.1371/journal.pntd.0002000. Epub 2013 Jan 17.
4
Analytical Validation of Quantitative Real-Time PCR Methods for Quantification of Trypanosoma cruzi DNA in Blood Samples from Chagas Disease Patients.用于定量检测恰加斯病患者血液样本中克氏锥虫DNA的实时定量PCR方法的分析验证
J Mol Diagn. 2015 Sep;17(5):605-15. doi: 10.1016/j.jmoldx.2015.04.010.
5
Analytical sensitivity and specificity of a loop-mediated isothermal amplification (LAMP) kit prototype for detection of Trypanosoma cruzi DNA in human blood samples.一种用于检测人血样本中克氏锥虫DNA的环介导等温扩增(LAMP)试剂盒原型的分析灵敏度和特异性。
PLoS Negl Trop Dis. 2017 Jul 20;11(7):e0005779. doi: 10.1371/journal.pntd.0005779. eCollection 2017 Jul.
6
Validation of a novel multiplex real-time PCR assay for Trypanosoma cruzi detection and quantification in açai pulp.验证一种新型多重实时 PCR 检测方法,用于检测和定量 açai 浆中的克氏锥虫。
PLoS One. 2021 Feb 2;16(2):e0246435. doi: 10.1371/journal.pone.0246435. eCollection 2021.
7
Mitochondrial and satellite real time-PCR for detecting T. cruzi DTU II strain in blood and organs of experimentally infected mice presenting different levels of parasite load.用于检测实验感染小鼠血液和器官中克氏锥虫II型离散型种群(DTU II)菌株的线粒体和卫星实时聚合酶链反应,这些小鼠呈现出不同水平的寄生虫负荷。
Exp Parasitol. 2019 May;200:13-15. doi: 10.1016/j.exppara.2019.03.007. Epub 2019 Mar 20.
8
Usefulness of real time PCR to quantify parasite load in serum samples from chronic Chagas disease patients.实时PCR用于定量慢性恰加斯病患者血清样本中寄生虫载量的效用。
Parasit Vectors. 2015 Mar 12;8:154. doi: 10.1186/s13071-015-0770-0.
9
International study to evaluate PCR methods for detection of Trypanosoma cruzi DNA in blood samples from Chagas disease patients.国际研究评估用于检测恰加斯病患者血液样本中克氏锥虫 DNA 的 PCR 方法。
PLoS Negl Trop Dis. 2011 Jan 11;5(1):e931. doi: 10.1371/journal.pntd.0000931.
10
Molecular identification and genotyping of Trypanosoma cruzi DNA in autochthonous Chagas disease patients from Texas, USA.美国得克萨斯州本地恰加斯病患者中克氏锥虫DNA的分子鉴定与基因分型
Infect Genet Evol. 2017 Apr;49:151-156. doi: 10.1016/j.meegid.2017.01.016. Epub 2017 Jan 15.

引用本文的文献

1
Molecular diagnosis of Chagas disease in patients with megaesophagus exhibiting negative or inconclusive serological results.对患有巨食管且血清学结果为阴性或不确定的恰加斯病患者进行分子诊断。
Front Parasitol. 2025 Aug 13;4:1622149. doi: 10.3389/fpara.2025.1622149. eCollection 2025.
2
Chagas Disease in a Non-Endemic Setting: Clinical Profile, Treatment Outcomes, and Predictors of Cure in a 15-Year Cohort Study.非流行地区的恰加斯病:一项15年队列研究中的临床特征、治疗结果及治愈预测因素
Trop Med Infect Dis. 2025 Jun 11;10(6):161. doi: 10.3390/tropicalmed10060161.
3
Parasitological cure and clinical benefits of benznidazole treatment in patients from the Jequitinhonha Valley, MG, Brazil, with recent chronic infection by Trypanosoma cruzi II.

本文引用的文献

1
Accessing the Variability of Multicopy Genes in Complex Genomes using Unassembled Next-Generation Sequencing Reads: The Case of Trypanosoma cruzi Multigene Families.利用未组装的下一代测序读长访问复杂基因组中的多拷贝基因的可变性:以克氏锥虫多基因家族为例。
mBio. 2022 Dec 20;13(6):e0231922. doi: 10.1128/mbio.02319-22. Epub 2022 Oct 20.
2
Parasitological, serological and molecular diagnosis of acute and chronic Chagas disease: from field to laboratory.寄生虫学、血清学和分子诊断急性和慢性恰加斯病:从现场到实验室。
Mem Inst Oswaldo Cruz. 2022 May 23;117:e200444. doi: 10.1590/0074-02760200444. eCollection 2022.
3
Prospective multicenter evaluation of real time PCR Kit prototype for early diagnosis of congenital Chagas disease.
在巴西米纳斯吉拉斯州热基蒂尼奥尼亚河谷近期慢性感染克氏锥虫II型的患者中,苯硝唑治疗的寄生虫学治愈情况及临床疗效
Mem Inst Oswaldo Cruz. 2025 Jun 2;120:e240229. doi: 10.1590/0074-02760240229. eCollection 2025.
4
Utility of Magnetic Bead-Based Automated DNA Extraction to Improve Chagas Disease Molecular Diagnosis.基于磁珠的自动化DNA提取在改善恰加斯病分子诊断中的效用。
Int J Mol Sci. 2025 Jan 23;26(3):937. doi: 10.3390/ijms26030937.
5
Oral Chagas disease outbreak by bacaba juice ingestion: A century after Carlos Chagas' discovery, the disease is still hard to manage.口服恰加斯病暴发与巴西可可汁摄入有关:在卡洛斯·查加斯发现该病一个世纪后,这种疾病仍然难以治疗。
PLoS Negl Trop Dis. 2024 Sep 18;18(9):e0012225. doi: 10.1371/journal.pntd.0012225. eCollection 2024 Sep.
6
Retrospect, advances and challenges in Chagas disease diagnosis: a comprehensive review.恰加斯病诊断的回顾、进展与挑战:全面综述
Lancet Reg Health Am. 2024 Jun 20;36:100821. doi: 10.1016/j.lana.2024.100821. eCollection 2024 Aug.
7
Parasite Burden of in Whole Blood and Buffy Coat Determined by Real-Time PCR in Individuals with Chronic Chagas Disease.通过实时聚合酶链反应测定慢性恰加斯病患者全血和血沉棕黄层中的寄生虫负荷
Microorganisms. 2024 Jan 25;12(2):249. doi: 10.3390/microorganisms12020249.
实时 PCR 试剂盒原型用于先天性克氏锥虫病早期诊断的前瞻性多中心评估。
EBioMedicine. 2021 Jul;69:103450. doi: 10.1016/j.ebiom.2021.103450. Epub 2021 Jun 26.
4
Toward the Establishment of a Single Standard Curve for Quantification of Trypanosoma cruzi Natural Populations Using a Synthetic Satellite Unit DNA Sequence.建立使用合成卫星单位 DNA 序列定量检测克氏锥虫自然种群的单一标准曲线。
J Mol Diagn. 2021 May;23(5):521-531. doi: 10.1016/j.jmoldx.2021.01.007. Epub 2021 Feb 4.
5
Validation of a novel multiplex real-time PCR assay for Trypanosoma cruzi detection and quantification in açai pulp.验证一种新型多重实时 PCR 检测方法,用于检测和定量 açai 浆中的克氏锥虫。
PLoS One. 2021 Feb 2;16(2):e0246435. doi: 10.1371/journal.pone.0246435. eCollection 2021.
6
Strain-specific genome evolution in Trypanosoma cruzi, the agent of Chagas disease.克氏锥虫(恰加斯病的病原体)的种系特异性基因组进化。
PLoS Pathog. 2021 Jan 28;17(1):e1009254. doi: 10.1371/journal.ppat.1009254. eCollection 2021 Jan.
7
Performance Evaluation of a Commercial Real-Time PCR Assay and of an In-House Real-Time PCR for DNA Detection in a Tropical Medicine Reference Center, Northern Italy.意大利北部一家热带医学参考中心用于DNA检测的商业实时荧光定量PCR检测方法与内部实时荧光定量PCR检测方法的性能评估
Microorganisms. 2020 Oct 30;8(11):1692. doi: 10.3390/microorganisms8111692.
8
[Synthesis of evidence: Guidance for the diagnosis and treatment of Chagas diseaseSíntese de evidências: Guia de diagnóstico e tratamento da doença de Chagas].[证据综合:恰加斯病诊断与治疗指南。恰加斯病诊断与治疗指南的证据综合]
Rev Panam Salud Publica. 2020 Jun 8;44:e28. doi: 10.26633/RPSP.2020.28. eCollection 2020.
9
Target product profile for a test for the early assessment of treatment efficacy in Chagas disease patients: An expert consensus.恰加斯病患者治疗疗效早期评估检测的目标产品概况:专家共识
PLoS Negl Trop Dis. 2020 Apr 23;14(4):e0008035. doi: 10.1371/journal.pntd.0008035. eCollection 2020 Apr.
10
A Genome Tandem Repetitive Satellite DNA Sequence as a Molecular Marker for a LAMP Assay for Diagnosing Chagas' Disease.A 基因组串联重复卫星 DNA 序列作为一种分子标记,用于诊断恰加斯病的 LAMP 检测。
Dis Markers. 2020 Feb 22;2020:8074314. doi: 10.1155/2020/8074314. eCollection 2020.