Suppr超能文献

SARS-CoV-2 感染后 12 个月内特异性抗 SARS-CoV-2 IgM、IgA 和 IgG 反应的动力学:一项前瞻性纵向研究。

Kinetics of specific anti-SARS-CoV-2 IgM, IgA, and IgG responses during the first 12 months after SARS-CoV-2 infection: A prospective longitudinal study.

机构信息

Department of Parasitology and Vector-Borne Diseases, Institut Pasteur du Maroc, Casablanca, Morocco.

Aïn Chock Faculty of Sciences, Health and Environment Laboratory, Biochemistry, Biotechnology and Immunophysiopathology Research Team, Hassan II University of Casablanca, Casablanca, Morocco.

出版信息

PLoS One. 2023 Jul 12;18(7):e0288557. doi: 10.1371/journal.pone.0288557. eCollection 2023.

Abstract

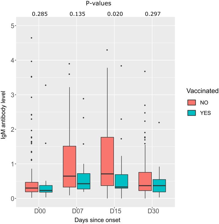
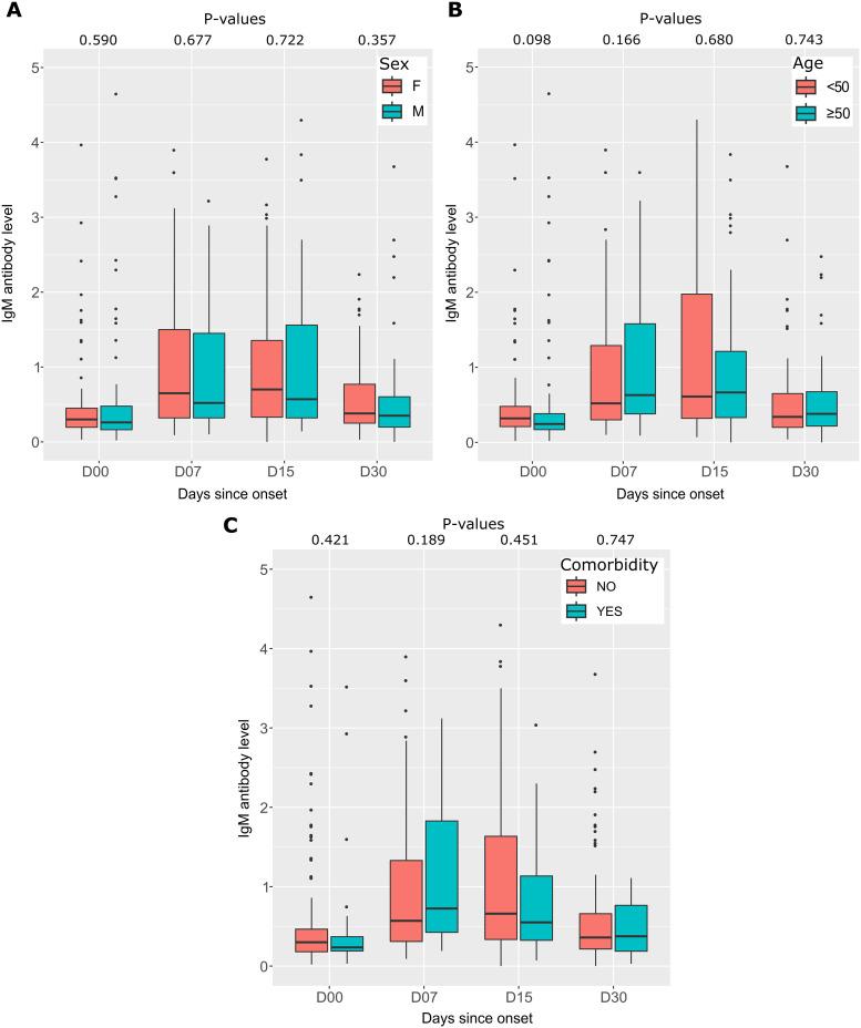
Coronavirus 2019 (COVID-19) is a global health threat. The kinetics of antibodies against severe acute respiratory syndrome coronavirus 2 (SARS-CoV-2) need to be assessed, as the long-term duration of these immunoglobulins remains largely controversial. The aim of this study was to assess the longitudinal dynamics of anti-SARS-CoV-2 antibodies against the nucleocapsid (N) protein and the receptor-binding domain (RBD) of the spike protein up to one year in a cohort of 190 COVID-19 patients. Between March and September 2021, we enrolled patients from two regional hospitals in Casablanca, Morocco. Blood samples were collected and analyzed for antibody levels. We used the commercial Euroimmun ELISA for the determination of anti-N IgM, the Abbott Architect™ SARS-CoV-2 IgG test for the detection of anti-RBD IgG, and an in-house kit for the assay of anti-N IgG and anti-N IgA. IgM and IgA antibodies were assessed 2-5, 9-12, 17-20 and 32-37 days after symptom onset. IgG antibodies were also assessed 60, 90, 120 and 360 days after symptom onset. One-third of patients developed IgM (32%), while two-thirds developed IgA (61%). One month of symptom onset, most patients developed IgG, with 97% and 93% positivity for anti-RBD IgG and anti-N IgG, respectively. The anti-RBD IgG positivity rate remained high up to one year of follow-up. However, the anti-N IgG positivity rate decreased over time, with only 41% of patients testing positive after one year's follow-up. IgG levels were significantly higher in older people (over 50 years) than in other study participants. We also found that patients who had received two doses of ChAdOx1 nCoV-19 vaccine prior to infection had a lower IgM response than unvaccinated patients. This difference was statistically significant two weeks after the onset of symptoms. We present the first study in Africa to measure the kinetics of antibody response (IgA, IgM and IgG) to SARS-CoV-2 over one year. Most participants remained seropositive for anti-RBD IgG after one year but showed a significant decline in antibody titers.

摘要

新型冠状病毒(COVID-19)是全球健康威胁。需要评估针对严重急性呼吸综合征冠状病毒 2(SARS-CoV-2)的抗体动力学,因为这些免疫球蛋白的长期持续时间仍存在很大争议。本研究的目的是评估 190 名 COVID-19 患者的核衣壳(N)蛋白和刺突蛋白受体结合域(RBD)的抗 SARS-CoV-2 抗体的纵向动力学,最长可达一年。2021 年 3 月至 9 月,我们从摩洛哥卡萨布兰卡的两家地区医院招募了患者。采集血样并分析抗体水平。我们使用商业的 Euroimmun ELISA 测定抗 N IgM,使用 Abbott Architect SARS-CoV-2 IgG 测试检测抗 RBD IgG,并使用内部试剂盒测定抗 N IgG 和抗 N IgA。IgM 和 IgA 抗体在症状出现后 2-5、9-12、17-20 和 32-37 天进行评估。IgG 抗体也在症状出现后 60、90、120 和 360 天进行评估。三分之一的患者出现 IgM(32%),而三分之二的患者出现 IgA(61%)。发病一个月后,大多数患者出现 IgG,抗 RBD IgG 和抗 N IgG 的阳性率分别为 97%和 93%。抗 RBD IgG 的阳性率在随访一年时仍保持较高水平。然而,抗 N IgG 的阳性率随时间推移而下降,随访一年后只有 41%的患者呈阳性。IgG 水平在年龄较大的人(50 岁以上)中明显高于其他研究参与者。我们还发现,在感染前接种过 ChAdOx1 nCoV-19 疫苗两剂的患者的 IgM 反应低于未接种疫苗的患者。这种差异在症状出现两周后具有统计学意义。我们首次在非洲进行研究,以测量 SARS-CoV-2 抗体反应(IgA、IgM 和 IgG)在一年中的动力学。大多数参与者在一年后仍对抗 RBD IgG 呈血清阳性,但抗体滴度显著下降。

https://cdn.ncbi.nlm.nih.gov/pmc/blobs/0a67/10337929/123358f90b62/pone.0288557.g001.jpg

文献AI研究员

20分钟写一篇综述,助力文献阅读效率提升50倍。

立即体验

用中文搜PubMed

大模型驱动的PubMed中文搜索引擎

马上搜索

文档翻译

学术文献翻译模型,支持多种主流文档格式。

立即体验