Suppr超能文献

新型有机半导体纳米材料E143食用色素的物理性质

Physical Properties of E143 Food Dye as a New Organic Semiconductor Nanomaterial.

作者信息

Alyami Mohammed, Alotibi Satam

机构信息

Department of Physics, College of Science and Humanities in Al-Kharj, Prince Sattam Bin Abdulaziz University, Al-Kharj 11942, Saudi Arabia.

出版信息

Nanomaterials (Basel). 2023 Jun 29;13(13):1974. doi: 10.3390/nano13131974.

Abstract

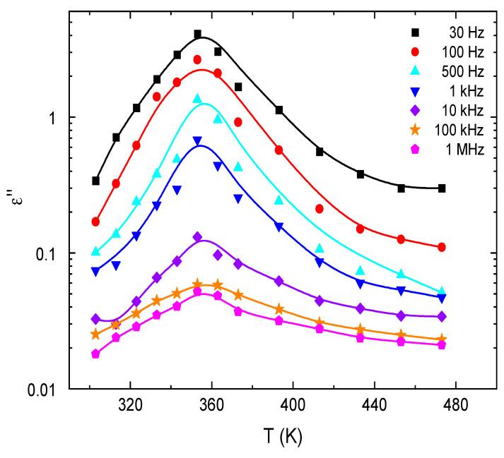
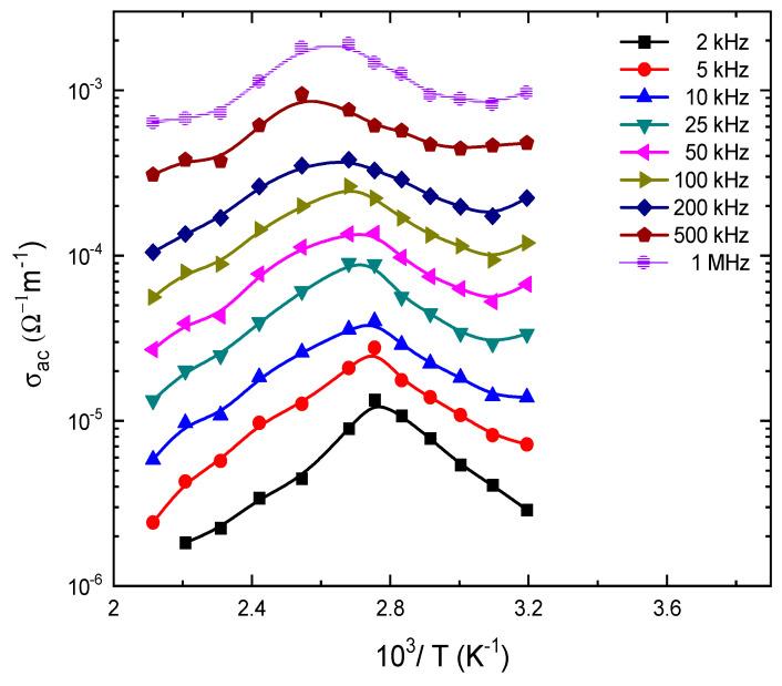
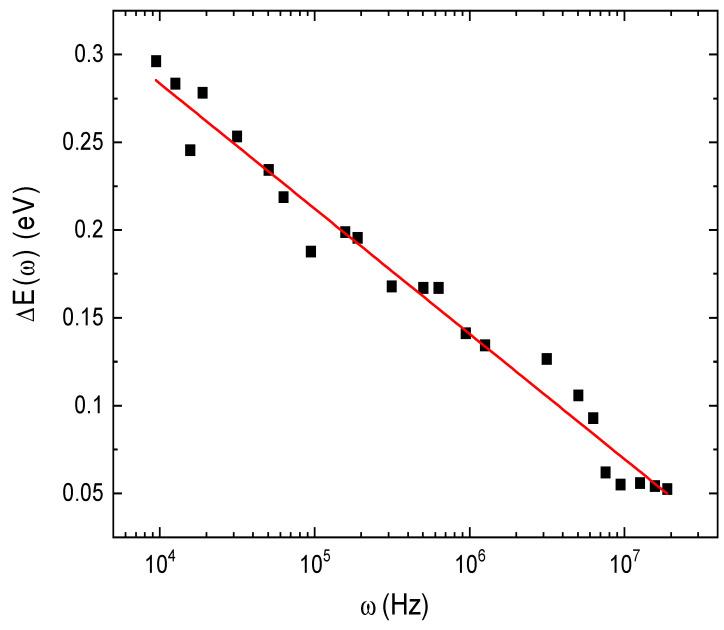
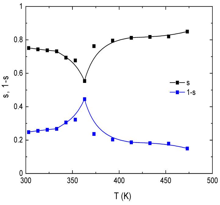
Organic semiconductors (OSCs) have attracted considerable attention for many promising applications, such as organic light-emitting diodes (OLEDs), organic field-effect transistors (OFETs), and organic photovoltaics (OPVs). The present work introduced E143 food dye as a new nanostructured organic semiconductor that has several advantages, such as low cost, easy fabrication, biocompatibility, and unique physical properties. The material was characterized using a transmission electron microscope (TEM), Fourier transform infrared (FT-IR) spectroscopy, thermogravimetric analysis (TGA), and optical absorption spectroscopy. The study of X-ray diffraction (XRD) showed that E143 dye has a monoclinic polycrystalline structure. Electrical and dielectric properties were performed by impedance spectroscopy at frequencies (20 Hz-1 MHz) in the temperature range (303-473 K). The values of interband transitions and activation energy recommended the application of E143 dye as a new organic semiconductor material with promising stability, especially in the range of hot climates such as KSA.

摘要

有机半导体(OSCs)因其在许多有前景的应用中表现出色,如有机发光二极管(OLEDs)、有机场效应晶体管(OFETs)和有机光伏(OPVs),而备受关注。目前的工作引入了E143食用染料作为一种新型的纳米结构有机半导体,它具有多种优点,如成本低、易于制备、生物相容性好以及独特的物理性质。使用透射电子显微镜(TEM)、傅里叶变换红外(FT-IR)光谱、热重分析(TGA)和光吸收光谱对该材料进行了表征。X射线衍射(XRD)研究表明,E143染料具有单斜多晶结构。通过阻抗谱在温度范围为303 - 473 K、频率为20 Hz - 1 MHz的条件下对其电学和介电性能进行了测试。带间跃迁值和活化能表明E143染料作为一种新型有机半导体材料具有良好的稳定性,尤其在沙特阿拉伯等炎热气候地区具有应用前景。

https://cdn.ncbi.nlm.nih.gov/pmc/blobs/d024/10343846/f9775719250f/nanomaterials-13-01974-g001.jpg

文献检索

告别复杂PubMed语法,用中文像聊天一样搜索,搜遍4000万医学文献。AI智能推荐,让科研检索更轻松。

立即免费搜索

文件翻译

保留排版,准确专业,支持PDF/Word/PPT等文件格式,支持 12+语言互译。

免费翻译文档

深度研究

AI帮你快速写综述,25分钟生成高质量综述,智能提取关键信息,辅助科研写作。

立即免费体验