Suppr超能文献

以 Clade 作为评估 spp. 抑制作用及其代谢产物 Pulcherrimin 毒性的模型

The Clade as a Model for Assessing Inhibition of spp. and the Toxicity of Its Metabolite, Pulcherrimin.

机构信息

Department of Environmental Biotechnology, Faculty of Biotechnology and Food Sciences, Lodz University of Technology, Wolczanska 171/173, 90-530 Lodz, Poland.

Culture Collection of Yeasts, Institute of Chemistry, Slovak Academy of Sciences, Dúbravská Cesta 9, 845 38 Bratislava, Slovakia.

出版信息

Molecules. 2023 Jun 28;28(13):5064. doi: 10.3390/molecules28135064.

Abstract

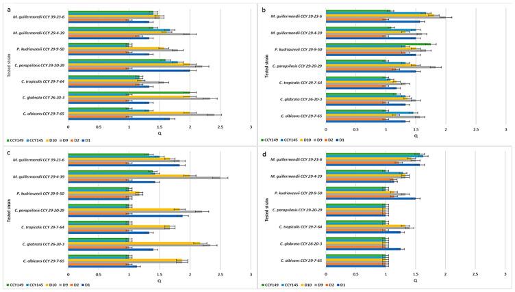
Candidiasis is one of the most frequent infections worldwide. In this study, the antimicrobial properties of six strains belonging to the clade were evaluated against twenty and -related var. (syn. ) of different origins, employing the agar cross method. The toxic effect of pulcherrimin, a red metabolite that is responsible for the antimicrobial activities of spp., was evaluated in various experimental models. The results of agar tests showed that the selected strains inhibited the growth of the and non- strains. However, inhibition was dependent on the strain and the environment. The presence of peptone, sodium silicate, and a higher incubation temperature decreased the antifungal action of the strains. Pulcherrimin showed cytotoxic and antiproliferative activity, with oxidative stress in cells leading to apoptosis. More research is needed on the mechanism of action of pulcherrimin on somatic cells.

摘要

念珠菌病是全球最常见的感染性疾病之一。在这项研究中,我们采用琼脂交叉法,评估了六个属于 clade 的菌株对二十株来自不同来源的 和 -相关 的抗菌特性。我们还评估了负责 spp. 抗菌活性的红色代谢产物 pulcherrimin 在各种实验模型中的毒性作用。琼脂试验的结果表明,所选 菌株抑制了 和非 菌株的生长。然而,抑制作用取决于菌株和环境。存在蛋白胨、硅酸钠和较高的孵育温度会降低 菌株的抗真菌作用。Pulcherrimin 表现出细胞毒性和抗增殖活性,细胞内氧化应激导致细胞凋亡。需要进一步研究 pulcherrimin 对体细胞的作用机制。

https://cdn.ncbi.nlm.nih.gov/pmc/blobs/0a03/10343249/2d7da6343a43/molecules-28-05064-g001.jpg

文献AI研究员

20分钟写一篇综述,助力文献阅读效率提升50倍。

立即体验

用中文搜PubMed

大模型驱动的PubMed中文搜索引擎

马上搜索

文档翻译

学术文献翻译模型,支持多种主流文档格式。

立即体验