Güngördü Nejdiye, Börekçi Şermin, Çulpan Hazal Cansu, Coşkun Erkam, Ayan Faruk, Mutlu Birsen
Department of Pulmonary Diseases, İstanbul University-Cerrahpaşa, Cerrahpaşa Faculty of Medicine, İstanbul, Turkey.
Altındağ District Health Directorate, Ankara, Turkey.
Thorac Res Pract. 2023 Mar;24(2):76-84. doi: 10.5152/ThoracResPract.2023.22130.
Obstructive sleep apnea is associated with increased morbidity and mortality, especially cardiovascular and cerebrovascular, and affects a significant proportion of the population. The study was aimed to determine the levels of pro-brain natriuretic peptide, C-reactive protein, homocysteine, and cardiac markers (creatine kinase, creatine kinase isoenzyme MB, troponin T) and evaluate the effectiveness of continuous positive airway pressure therapy in patients with obstructive sleep apnea.
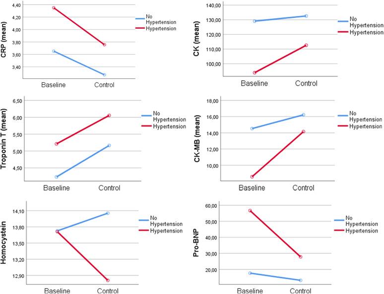
Pro-brain natriuretic peptide, C-reactive protein, homocysteine, and cardiac markers (creatine kinase, creatine kinase isoenzyme MB, troponin T) were assessed in blood samples collected before and after continuous positive airway pressure treatment from the 30 patients included in the study, and their results were compared.
There was a significant decrease between the baseline pro-brain natriuretic peptide and the 6-month pro-brain natriuretic peptide values after continuous positive airway pressure therapy (P < .05). There was a significant increase in creatine kinase-MB and troponin T values 6 months after continuous positive airway pressure therapy compared to baseline values (P < .05).
A significant decrease was observed in pro-brain natriuretic peptide values after continuous positive airway pressure therapy in obstructive sleep apnea patients without cardiac failure, while a more significant decrease was especially observed among hypertension patients. This finding suggests that pro-brain natriuretic peptide may be used as an early indicator of cardiac dysfunction in obstructive sleep apnea patients without any heart diseases except for hypertension.
阻塞性睡眠呼吸暂停与发病率和死亡率增加相关,尤其是心血管和脑血管方面,且影响相当一部分人群。本研究旨在测定脑钠肽前体、C反应蛋白、同型半胱氨酸及心脏标志物(肌酸激酶、肌酸激酶同工酶MB、肌钙蛋白T)的水平,并评估持续气道正压通气治疗对阻塞性睡眠呼吸暂停患者的有效性。
对纳入研究的30例患者在持续气道正压通气治疗前后采集的血样进行脑钠肽前体、C反应蛋白、同型半胱氨酸及心脏标志物(肌酸激酶、肌酸激酶同工酶MB、肌钙蛋白T)的评估,并比较其结果。
持续气道正压通气治疗后,基线脑钠肽前体值与6个月时的脑钠肽前体值之间有显著下降(P < .05)。与基线值相比,持续气道正压通气治疗6个月后肌酸激酶-MB和肌钙蛋白T值显著升高(P < .05)。
在无心力衰竭的阻塞性睡眠呼吸暂停患者中,持续气道正压通气治疗后脑钠肽前体值显著下降,而在高血压患者中下降更为显著。这一发现表明,脑钠肽前体可作为除高血压外无任何心脏病的阻塞性睡眠呼吸暂停患者心脏功能障碍早期指标。