Suppr超能文献

使用分数阶微积分处理负载对石英晶体微天平传感器响应的影响。

Effect of Load on Quartz Crystal Microbalance Sensor Response Addressed Using Fractional Order Calculus.

作者信息

Burda Ioan

机构信息

Physics Department, Babes-Bolyai University, 400084 Cluj-Napoca, Romania.

出版信息

Sensors (Basel). 2023 Jul 28;23(15):6768. doi: 10.3390/s23156768.

Abstract

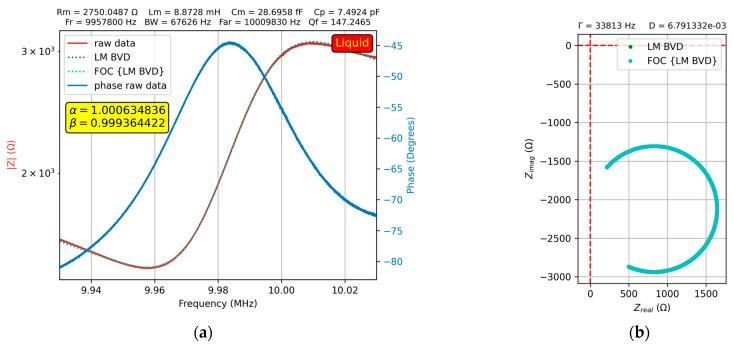
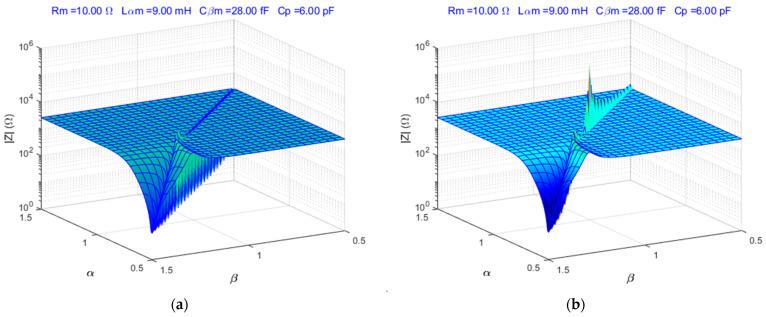
To accurately model the effect of the load caused by a liquid medium as a function of its viscosity, the fractional order Butterworth-Van Dyke (BVD) model of the QCM sensor is proposed in this study. A comprehensive understanding of the fractional order BVD model followed by a simulation of situations commonly encountered in experimental investigations underpins the new QCM sensor approach. The Levenberg-Marquardt (LM) algorithm is used in two fitting steps to extract all parameters of the fractional order BVD model. The integer-order electrical parameters were determined in the first step and the fractional order parameters were extracted in the second step. A parametric investigation was performed in air, water, and glycerol-water solutions in ten-percent steps for the fractional order BVD model. This indicated a change in the behavior of the QCM sensor when it swapped from air to water, modeled by the fractional order BVD model, followed by a specific dependence with increasing viscosity of the glycerol-water solution. The effect of the liquid medium on the reactive motional circuit elements of the BVD model in terms of fractional order calculus (FOC) was experimentally demonstrated. The experimental results demonstrated the value of the fractional order BVD model for a better understanding of the interactions occurring at the QCM sensor surface.

摘要

为了准确模拟液体介质引起的负载效应与其粘度的函数关系,本研究提出了石英晶体微天平(QCM)传感器的分数阶巴特沃斯-范戴克(BVD)模型。对分数阶BVD模型的全面理解以及对实验研究中常见情况的模拟,为新的QCM传感器方法奠定了基础。在两个拟合步骤中使用列文伯格-马夸尔特(LM)算法来提取分数阶BVD模型的所有参数。第一步确定整数阶电学参数,第二步提取分数阶参数。对分数阶BVD模型在空气、水和甘油-水溶液中以10%的步长进行了参数研究。这表明,当QCM传感器从空气切换到水时,其行为发生了变化,由分数阶BVD模型建模,随后随着甘油-水溶液粘度的增加呈现出特定的依赖性。通过分数阶微积分(FOC)实验证明了液体介质对BVD模型的电抗运动电路元件的影响。实验结果证明了分数阶BVD模型对于更好地理解在QCM传感器表面发生的相互作用的价值。

https://cdn.ncbi.nlm.nih.gov/pmc/blobs/6555/10422237/6e6a7bdbca71/sensors-23-06768-g001.jpg

文献AI研究员

20分钟写一篇综述,助力文献阅读效率提升50倍。

立即体验

用中文搜PubMed

大模型驱动的PubMed中文搜索引擎

马上搜索

文档翻译

学术文献翻译模型,支持多种主流文档格式。

立即体验