Suppr超能文献

迈向非特异性慢性下腰痛的基于数据的生物心理社会分类:一项初步研究。

Towards data-driven biopsychosocial classification of non-specific chronic low back pain: a pilot study.

机构信息

Institute for Physical Activity and Nutrition, School of Exercise and Nutrition Sciences, Deakin University, Geelong, Australia.

Orygen, 35 Poplar Rd, Parkville, VIC, 3052, Australia.

出版信息

Sci Rep. 2023 Aug 12;13(1):13112. doi: 10.1038/s41598-023-40245-y.

Abstract

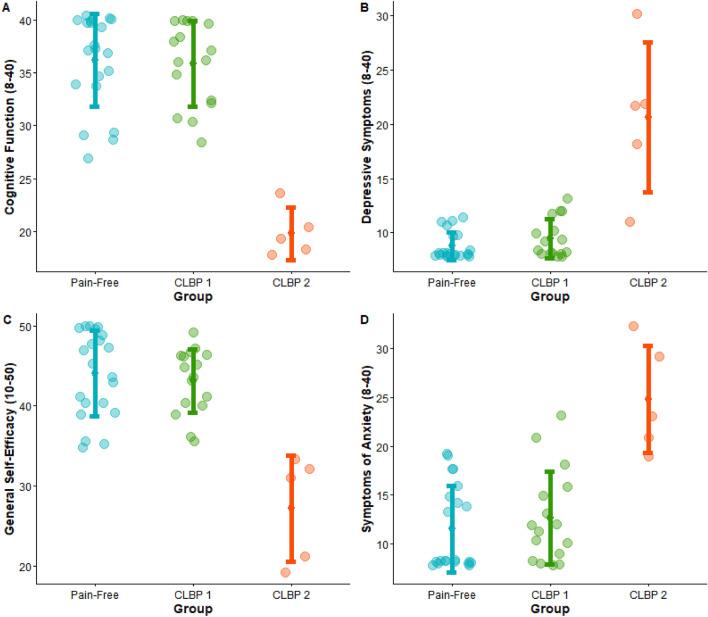
The classification of non-specific chronic low back pain (CLBP) according to multidimensional data could guide clinical management; yet recent systematic reviews show this has not been attempted. This was a prospective cross-sectional study of participants with CLBP (n = 21) and age-, sex- and height-matched pain-free controls (n = 21). Nervous system, lumbar spinal tissue and psychosocial factors were collected. Dimensionality reduction was followed by fuzzy c-means clustering to determine sub-groups. Machine learning models (Support Vector Machine, k-Nearest Neighbour, Naïve Bayes and Random Forest) were used to determine the accuracy of classification to sub-groups. The primary analysis showed that four factors (cognitive function, depressive symptoms, general self-efficacy and anxiety symptoms) and two clusters (normal versus impaired psychosocial profiles) optimally classified participants. The error rates in classification models ranged from 4.2 to 14.2% when only CLBP patients were considered and increased to 24.2 to 37.5% when pain-free controls were added. This data-driven pilot study classified participants with CLBP into sub-groups, primarily based on psychosocial factors. This contributes to the literature as it was the first study to evaluate data-driven machine learning CLBP classification based on nervous system, lumbar spinal tissue and psychosocial factors. Future studies with larger sample sizes should validate these findings.

摘要

根据多维数据对非特异性慢性下腰痛(CLBP)进行分类可以指导临床管理;然而,最近的系统评价表明,尚未尝试过这种分类。这是一项前瞻性的横断面研究,纳入了 21 名 CLBP 患者(n=21)和 21 名年龄、性别和身高匹配的无痛对照组参与者。收集了神经系统、腰椎组织和心理社会因素。进行降维后,采用模糊 c 均值聚类确定亚组。使用机器学习模型(支持向量机、k-最近邻、朴素贝叶斯和随机森林)来确定对亚组的分类准确性。主要分析表明,四个因素(认知功能、抑郁症状、一般自我效能和焦虑症状)和两个聚类(正常与受损的心理社会特征)可以最佳地对参与者进行分类。当仅考虑 CLBP 患者时,分类模型的错误率在 4.2%至 14.2%之间,当加入无痛对照组时,错误率增加到 24.2%至 37.5%。这项基于数据的试点研究根据心理社会因素将 CLBP 患者分为亚组。这为文献做出了贡献,因为这是第一项评估基于神经系统、腰椎组织和心理社会因素的基于数据的机器学习 CLBP 分类的研究。未来应进行更大样本量的研究来验证这些发现。

https://cdn.ncbi.nlm.nih.gov/pmc/blobs/5d63/10423241/f135f977a293/41598_2023_40245_Fig2_HTML.jpg

文献检索

告别复杂PubMed语法,用中文像聊天一样搜索,搜遍4000万医学文献。AI智能推荐,让科研检索更轻松。

立即免费搜索

文件翻译

保留排版,准确专业,支持PDF/Word/PPT等文件格式,支持 12+语言互译。

免费翻译文档

深度研究

AI帮你快速写综述,25分钟生成高质量综述,智能提取关键信息,辅助科研写作。

立即免费体验