Suppr超能文献

基于普鲁兰多糖的薄膜浸渍有来自菌株JTW1的银纳米颗粒,用于食品工业和医学的潜在应用。

Pullulan-based films impregnated with silver nanoparticles from the strain JTW1 for potential applications in the food industry and medicine.

作者信息

Wypij Magdalena, Rai Mahendra, Zemljič Lidija Fras, Bračič Matej, Hribernik Silvo, Golińska Patrycja

机构信息

Department of Microbiology, Nicolaus Copernicus University in Torun, Torun, Poland.

Nanobiotechnology Laboratory, Department of Biotechnology, SGB Amravati University, Amravati, India.

出版信息

Front Bioeng Biotechnol. 2023 Aug 7;11:1241739. doi: 10.3389/fbioe.2023.1241739. eCollection 2023.

Abstract

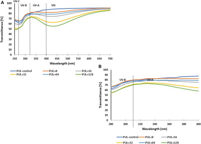
Biopolymers, such as pullulan, a natural exopolysaccharide from , and their nanocomposites are commonly used in the food, pharmaceutical, and medical industries due to their unique physical and chemical properties. Pullulan was synthesized by the ATCC 201253 strain. Nanocomposite films based on biosynthesized pullulan were prepared and loaded with different concentrations of silver nanoparticles (AgNPs) synthesized by the strain JTW1. AgNPs were characterized by transmission electron microscopy, Zeta potential measurements, and Fourier-transform infrared spectroscopy. In turn, the produced films were subjected to physico-chemical analyses such as goniometry, UV shielding capacity, attenuated total reflection-Fourier-transform infrared spectroscopy, scanning electron microscopy, and X-ray photoelectron spectroscopy, and their mechanical and degradation properties were assessed. The antibacterial assays of the nanoparticles and the nanocomposite films against both food-borne and reference pathogens, including , and , were performed using standard methods. AgNPs were small (mean 15.1 nm), spherical, and displayed good stability, being coated with protein biomolecules. When used in higher concentrations as an additive to pullulan films, they resulted in reduced hydrophilicity and light transmission for both UV-B and UV-A lights. Moreover, the produced films exhibited a smooth surface. Therefore, it can be concluded that the addition of biogenic AgNPs did not change the morphology and texture of the films compared to the control film. The nanoparticles and nanocomposite films demonstrated remarkable antibacterial activity against both food-borne and reference bacteria. The highest activity of the prepared films was observed against . The obtained results suggest that the novel nanocomposite films prepared from biosynthesized pullulan and AgNPs can be considered for use in the development of medical products and food packaging. Moreover, this is the first report on pullulan-based nanocomposites with mycogenic AgNPs for such applications.

摘要

生物聚合物,如来自的天然胞外多糖支链淀粉及其纳米复合材料,由于其独特的物理和化学性质,常用于食品、制药和医疗行业。支链淀粉由ATCC 201253菌株合成。制备了基于生物合成支链淀粉的纳米复合薄膜,并负载了由JTW1菌株合成的不同浓度的银纳米颗粒(AgNPs)。通过透射电子显微镜、Zeta电位测量和傅里叶变换红外光谱对AgNPs进行了表征。反过来,对制备的薄膜进行了物理化学分析,如测角法、紫外线屏蔽能力、衰减全反射-傅里叶变换红外光谱、扫描电子显微镜和X射线光电子能谱,并评估了它们的机械性能和降解性能。使用标准方法对纳米颗粒和纳米复合薄膜对食源性病原体和参考病原体(包括、和)进行了抗菌测定。AgNPs体积小(平均15.1纳米),呈球形,并显示出良好的稳定性,表面包覆有蛋白质生物分子。当以较高浓度用作支链淀粉薄膜的添加剂时,它们会导致薄膜的亲水性降低,对UV-B和UV-A光的透光率也降低。此外,制备的薄膜表面光滑。因此,可以得出结论,与对照薄膜相比,添加生物源AgNPs并没有改变薄膜的形态和质地。纳米颗粒和纳米复合薄膜对食源性病原体和参考细菌均表现出显著的抗菌活性。制备的薄膜对的抗菌活性最高。所得结果表明,由生物合成支链淀粉和AgNPs制备的新型纳米复合薄膜可考虑用于医疗产品和食品包装的开发。此外,这是关于用于此类应用的含真菌源AgNPs的支链淀粉基纳米复合材料的首次报道。

https://cdn.ncbi.nlm.nih.gov/pmc/blobs/46e5/10441246/6abc69c80db4/fbioe-11-1241739-g001.jpg

文献AI研究员

20分钟写一篇综述,助力文献阅读效率提升50倍。

立即体验

用中文搜PubMed

大模型驱动的PubMed中文搜索引擎

马上搜索

文档翻译

学术文献翻译模型,支持多种主流文档格式。

立即体验