Suppr超能文献

腿部蹬车运动通过增强脑瘫患者的突触前抑制来改善痉挛状态。

Leg Cycling Leads to Improvement of Spasticity by Enhancement of Presynaptic Inhibition in Patients with Cerebral Palsy.

作者信息

Abe Senshu, Yokoi Yuichiro, Kozuka Naoki

机构信息

Department of Physical Therapy, Rehabilitation Part, Hokuto Social Medical Corporation, Tokachi Rehabilitation Center, Japan.

Advanced Rehabilitation Office, Hokuto Social Medical Corporation, Tokachi Rehabilitation Center, Japan.

出版信息

Phys Ther Res. 2023;26(2):65-70. doi: 10.1298/ptr.E10228. Epub 2023 Jun 20.

Abstract

OBJECTIVE

The purpose of this study was to investigate if leg cycling could reduce lower extremity spasticity in patients with cerebral palsy (CP). In addition, we investigated whether the intervention could cause changes in the modulation of presynaptic inhibition.

METHODS

This study was a quasi-experimental study, with pretest-posttest for 1 group. Participants in this experiment were eight adult patients with CP with lower extremity spasticity. Spasticity parameters assessed were the amplitude of soleus maximum Hoffmann's reflex (H) and maximum angular velocity (MAV) of knee flexion measured using the pendulum test. D1 inhibition, which seems to be related to the presynaptic inhibition, was recorded by measuring soleus Hoffmann's reflex (H-reflex) with conditioned electric stimuli to the common peroneal nerve.

RESULTS

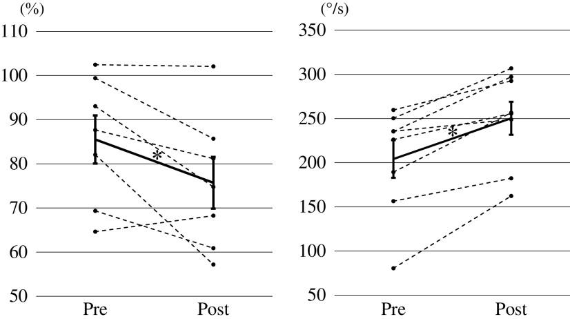
D1 inhibition was significantly enhanced immediately by the cycling intervention. The amplitude of the soleus H was significantly depressed, and there was significant difference in H/maximum M-wave. The MAV was increased due to inhibition of the stretch reflex.

CONCLUSION

Leg cycling suppressed stretch reflex and H-reflex, and caused plasticity of inhibitory circuits in patients with CP with lower extremity spasticity. These findings strongly suggest that lower extremity spasticity can be improved by cycling movements.

摘要

目的

本研究旨在调查腿部骑行是否能减轻脑瘫(CP)患者的下肢痉挛。此外,我们还研究了该干预措施是否会引起突触前抑制调节的变化。

方法

本研究为准实验性研究,对一组患者进行了干预前和干预后的测试。本实验的参与者为8名患有下肢痉挛的成年CP患者。评估的痉挛参数包括比目鱼肌最大霍夫曼反射(H)的幅度以及使用摆锤试验测量的膝关节屈曲最大角速度(MAV)。通过对腓总神经施加条件电刺激来测量比目鱼肌霍夫曼反射(H反射),记录似乎与突触前抑制相关的D1抑制。

结果

骑行干预后,D1抑制立即显著增强。比目鱼肌H反射的幅度显著降低,H/最大M波存在显著差异。由于牵张反射受到抑制,MAV增加。

结论

腿部骑行抑制了牵张反射和H反射,并导致患有下肢痉挛的CP患者抑制性回路的可塑性。这些发现有力地表明,骑行运动可以改善下肢痉挛。

https://cdn.ncbi.nlm.nih.gov/pmc/blobs/4d6f/10445118/8af1431b83b0/ptr-26-65-g001.jpg

文献AI研究员

20分钟写一篇综述,助力文献阅读效率提升50倍。

立即体验

用中文搜PubMed

大模型驱动的PubMed中文搜索引擎

马上搜索

文档翻译

学术文献翻译模型,支持多种主流文档格式。

立即体验