Suppr超能文献

血清总抗氧化能力(TAC)和 TAC/淋巴细胞比值作为 COVID-19 有前途的预测标志物。

Serum Total Antioxidant Capacity (TAC) and TAC/Lymphocyte Ratio as Promising Predictive Markers in COVID-19.

机构信息

Department of Laboratory Medicine, Medical School, University of Pécs, 7624 Pécs, Hungary.

János Szentágothai Research Centre, University of Pécs, 7624 Pécs, Hungary.

出版信息

Int J Mol Sci. 2023 Aug 18;24(16):12935. doi: 10.3390/ijms241612935.

Abstract

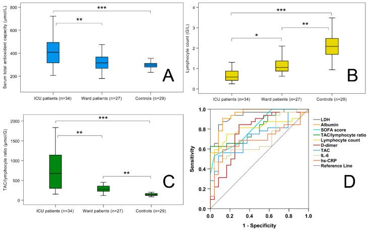
SARS-CoV-2 infection might cause a critical disease, and patients' follow-up is based on multiple parameters. Oxidative stress is one of the key factors in the pathogenesis of COVID-19 suggesting that its level could be a prognostic marker. Therefore, we elucidated the predictive value of the serum non-enzymatic total antioxidant capacity (TAC) and that of the newly introduced TAC/lymphocyte ratio in COVID-19. We included 61 COVID-19 ( = 27 ward, = 34 intensive care unit, ICU) patients and 29 controls in our study. Serum TAC on admission was measured by an enhanced chemiluminescence (ECL) microplate assay previously validated by our research group. TAC levels were higher ( < 0.01) in ICU (median: 407.88 µmol/L) than in ward patients (315.44 µmol/L) and controls (296.60 µmol/L). Besides the classical parameters, both the TAC/lymphocyte ratio and TAC had significant predictive values regarding the severity (AUC-ROC for the TAC/lymphocyte ratio: 0.811; for TAC: 0.728) and acute kidney injury (AUC-ROC for the TAC/lymphocyte ratio: 0.747; for TAC: 0.733) in COVID-19. Moreover, the TAC/lymphocyte ratio had significant predictive value regarding mortality (AUC-ROC: 0.752). Serum TAC and the TAC/lymphocyte ratio might offer valuable information regarding the severity of COVID-19. TAC measured by our ECL microplate assay serves as a promising marker for the prediction of systemic inflammatory diseases.

摘要

SARS-CoV-2 感染可能导致严重疾病,患者的随访基于多个参数。氧化应激是 COVID-19 发病机制的关键因素之一,表明其水平可能是预后标志物。因此,我们阐明了血清非酶总抗氧化能力(TAC)及其新引入的 TAC/淋巴细胞比值在 COVID-19 中的预测价值。我们的研究纳入了 61 名 COVID-19 患者(=27 名病房患者,=34 名重症监护病房患者,ICU)和 29 名对照者。入院时通过我们研究小组先前验证的增强化学发光(ECL)微孔板测定法测定血清 TAC。ICU 患者的 TAC 水平高于病房患者(中位数:407.88µmol/L)和对照组(296.60µmol/L)(<0.01)。除了经典参数外,TAC/淋巴细胞比值和 TAC 对于 COVID-19 的严重程度(TAC/淋巴细胞比值的 AUC-ROC:0.811;对于 TAC:0.728)和急性肾损伤(TAC/淋巴细胞比值的 AUC-ROC:0.747;对于 TAC:0.733)均具有显著的预测价值。此外,TAC/淋巴细胞比值对于死亡率具有显著的预测价值(AUC-ROC:0.752)。血清 TAC 和 TAC/淋巴细胞比值可能为 COVID-19 的严重程度提供有价值的信息。我们的 ECL 微孔板测定法测定的 TAC 是预测全身性炎症性疾病的有前途的标志物。

https://cdn.ncbi.nlm.nih.gov/pmc/blobs/bcd6/10454395/75fbfcab064d/ijms-24-12935-g001.jpg

文献AI研究员

20分钟写一篇综述,助力文献阅读效率提升50倍。

立即体验

用中文搜PubMed

大模型驱动的PubMed中文搜索引擎

马上搜索

文档翻译

学术文献翻译模型,支持多种主流文档格式。

立即体验