Suppr超能文献

48866例癌症患者的生存情况:来自中国南通地区的结果。

Survival of 48866 cancer patients: results from Nantong area, China.

作者信息

Wang Gao-Ren, Xu Hong, Chen Hai-Zhen, Chen Yong-Sheng, Ni Zhuo-Jian, Fan Li-Yun, Zhang Ai-Hong, Xu Pei-Pei, Qian Yun, Cai Bo, Chen Jian-Guo

机构信息

Department of Epidemiology, Nantong Tumor Hospital, Affiliated Tumor Hospital of Nantong University, Nantong, China.

Department of Chronic Disease Prevention and Control, Nantong Center for Disease Control and Prevention, Nantong, China.

出版信息

Front Oncol. 2023 Aug 11;13:1244545. doi: 10.3389/fonc.2023.1244545. eCollection 2023.

Abstract

OBJECTIVE

This study aimed to provide a realistic observation of survival by major site for 48,866 cancer patients treated at a tertiary cancer hospital in a rural area of China.

METHODS

Patients with cancer registered between 2007 and 2017 in the Nantong rural area were followed up. The starting date for survival calculation was the date of the first diagnosis of cancer at the Nantong Tumor Hospital, and the closing date was December 31, 2020. Observed survival (OS) was analyzed according to ICD-10 site, sex, age, region, and hospitalization period using the life table method and compared using the Wilcoxon (Gehan) statistic.

RESULTS

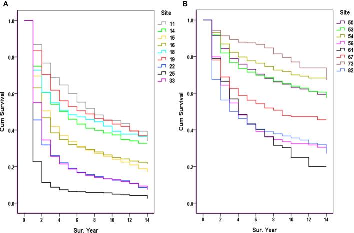
The overall 5-year OS rate was 40.48% for all 48,866 patients, 30.19% for males, and 51.90% for females. The top five cancer sites, accounting for 60.51% of the total cases, were the esophagus, lung, stomach, liver, and cervix, with 5-year OS rates of 33.72%, 18.64%, 32.10%, 19.04%, and 71.51%, respectively. The highest 5-year OS was observed in the thyroid (87.52%) and the lowest was in the pancreas (6.37%). Survival was significantly higher in younger patients than in older patients, with 5-year OSs of 69.26% and 19.84% in those aged 20-29 and 90-99 years, respectively. Five-year OSs improved significantly from 39.35% in 2007-2011 to 41.26% in 2012-2017.

CONCLUSION

Overall survival improved over the years, although the improvement at some sites was not significant. The observed survival varies from region to region, reflecting differences in the patterns of major sites, disparities in proportions of hospitalization, and demographic characteristics.

摘要

目的

本研究旨在对中国农村地区一家三级癌症医院收治的48866例癌症患者按主要部位进行生存情况的实际观察。

方法

对2007年至2017年在南通农村地区登记的癌症患者进行随访。生存计算的起始日期为南通肿瘤医院首次诊断癌症的日期,截止日期为2020年12月31日。采用寿命表法根据ICD - 10部位、性别、年龄、地区和住院时间分析观察到的生存率(OS),并使用Wilcoxon(Gehan)统计量进行比较。

结果

48866例患者的总体5年OS率为40.48%,男性为30.19%,女性为51.90%。占总病例60.51%的前五个癌症部位是食管、肺、胃、肝和宫颈,其5年OS率分别为33.72%、18.64%、32.10%、19.04%和71.51%。5年OS最高的是甲状腺(87.52%),最低的是胰腺(6.37%)。年轻患者的生存率显著高于老年患者,20 - 29岁和90 - 99岁患者的5年OS分别为69.26%和19.84%。5年OS从2007 - 2011年的39.35%显著提高到2012 - 2017年的41.26%。

结论

尽管某些部位的改善不显著,但总体生存率多年来有所提高。观察到的生存率因地区而异,反映了主要部位模式的差异、住院比例的差异和人口统计学特征。

https://cdn.ncbi.nlm.nih.gov/pmc/blobs/1ca4/10455932/783a915db71c/fonc-13-1244545-g001.jpg

文献AI研究员

20分钟写一篇综述,助力文献阅读效率提升50倍。

立即体验

用中文搜PubMed

大模型驱动的PubMed中文搜索引擎

马上搜索

文档翻译

学术文献翻译模型,支持多种主流文档格式。

立即体验