• 文献检索
  • 文档翻译
  • 深度研究
  • 学术资讯
  • Suppr Zotero 插件Zotero 插件
  • 邀请有礼
  • 套餐&价格
  • 历史记录
应用&插件
Suppr Zotero 插件Zotero 插件浏览器插件Mac 客户端Windows 客户端微信小程序
定价
高级版会员购买积分包购买API积分包
服务
文献检索文档翻译深度研究API 文档MCP 服务
关于我们
关于 Suppr公司介绍联系我们用户协议隐私条款
关注我们

Suppr 超能文献

核心技术专利:CN118964589B侵权必究
粤ICP备2023148730 号-1Suppr @ 2026

文献检索

告别复杂PubMed语法,用中文像聊天一样搜索,搜遍4000万医学文献。AI智能推荐,让科研检索更轻松。

立即免费搜索

文件翻译

保留排版,准确专业,支持PDF/Word/PPT等文件格式,支持 12+语言互译。

免费翻译文档

深度研究

AI帮你快速写综述,25分钟生成高质量综述,智能提取关键信息,辅助科研写作。

立即免费体验

从薤白中分离得到的两个新化合物及其体外抗氧化活性。

Two New Compounds from Allii Macrostemonis Bulbus and Their In Vitro Antioxidant Activities.

机构信息

Department of Traditional Chinese Medicine, College of Traditional Chinese Medicinal Materials, Jilin Agricultural University, Changchun 130118, China.

Xinjiang Institute of Chinese and Ethnic Medicine, Urumqi 830002, China.

出版信息

Molecules. 2023 Aug 22;28(17):6176. doi: 10.3390/molecules28176176.

DOI:10.3390/molecules28176176
PMID:37687005
原文链接:https://pmc.ncbi.nlm.nih.gov/articles/PMC10488416/
Abstract

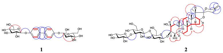
Two new compounds named 4,4'-bis(-D-glucopyranosyloxy)biphenyl () and spirostane-25(27)-en-2,3-diol-3---D-xylopyranosyl(1→3)--D-glucopyranosyl(1→4)--D-galactopyranoside () were isolated from n-butanol extraction part of 80% ethanol extract of Allii Macrostemonis Bulbus. Alongside these, ten known compounds () were also identified, including a flavonoid glycoside (), seven steroids (-), a nucleoside (), and a phenylpropanoid glycoside () were found. Notably, compounds - were isolated from this plant for the first time. The structures of all compounds were confirmed using high-resolution electrospray ionization mass spectrometry (HR-ESI-MS), 1D, and 2D NMR spectroscopy. Some of these compounds showed strong antioxidant activity, and compound demonstrated the most potent reduction of ferric ions (Fe) with an IC value of 0.59 ± 0.18 mg/mL. Compounds and exhibited the highest scavenging activity against superoxide anion radicals (O·) with an IC value of 0.02 ± 0.01 mg/mL. Additionally, compound displayed substantial scavenging activity against 2,2-diphenyl-1-picrylhydrazyl (DPPH) and 2,2'-azino-bis(3-ethylbenzothiazoline-6-sulfonic acid) (ABTS) with IC values of 0.21 ± 0.17 mg/mL and 0.02 ± 0.01 mg/mL, respectively. The discovery of these two new compounds is a reference for identifying Allii Macrostemonis Bulbus quality markers. Moreover, their exceptional antioxidant activity offers a promising avenue for uncovering novel natural antioxidants.

摘要

从 80%乙醇提取的薤白正丁醇萃取部分中分离得到两种新化合物,分别为 4,4'-双(-D-吡喃葡萄糖基)联苯()和薯蓣皂苷元-25(27)-烯-2,3-二醇-3---D-吡喃木糖基(1→3)--D-吡喃葡萄糖基(1→4)--D-吡喃半乳糖苷()。此外,还鉴定出了十种已知化合物(),包括一种黄酮糖苷()、七种甾体(-)、一种核苷()和一种苯丙素糖苷()。值得注意的是,化合物-首次从该植物中分离得到。所有化合物的结构均通过高分辨电喷雾电离质谱(HR-ESI-MS)、1D 和 2D NMR 光谱得到确认。其中一些化合物表现出较强的抗氧化活性,化合物 对铁离子(Fe)的还原能力最强,IC 值为 0.59±0.18mg/mL。化合物 对超氧阴离子自由基(O·)的清除活性最高,IC 值为 0.02±0.01mg/mL。此外,化合物 对 2,2-二苯基-1-苦基肼(DPPH)和 2,2'-联氮双(3-乙基苯并噻唑啉-6-磺酸)(ABTS)的清除活性也很强,IC 值分别为 0.21±0.17mg/mL 和 0.02±0.01mg/mL。这两种新化合物的发现为鉴定薤白的质量标志物提供了参考。此外,它们具有出色的抗氧化活性,为发现新型天然抗氧化剂提供了可能。

https://cdn.ncbi.nlm.nih.gov/pmc/blobs/85ef/10488416/843102941583/molecules-28-06176-g002.jpg
https://cdn.ncbi.nlm.nih.gov/pmc/blobs/85ef/10488416/7fc7ee279369/molecules-28-06176-g001.jpg
https://cdn.ncbi.nlm.nih.gov/pmc/blobs/85ef/10488416/843102941583/molecules-28-06176-g002.jpg
https://cdn.ncbi.nlm.nih.gov/pmc/blobs/85ef/10488416/7fc7ee279369/molecules-28-06176-g001.jpg
https://cdn.ncbi.nlm.nih.gov/pmc/blobs/85ef/10488416/843102941583/molecules-28-06176-g002.jpg

相似文献

1
Two New Compounds from Allii Macrostemonis Bulbus and Their In Vitro Antioxidant Activities.从薤白中分离得到的两个新化合物及其体外抗氧化活性。
Molecules. 2023 Aug 22;28(17):6176. doi: 10.3390/molecules28176176.
2
Five new spirosterol saponins from Allii Macrostemonis Bulbus.从薤白中分离得到的五种新螺甾醇皂苷。
Chin J Nat Med. 2023 Mar;21(3):226-232. doi: 10.1016/S1875-5364(23)60423-6.
3
Antioxidant activity of spirostanol saponins from Allii Macrostemonis Bulbus and their contents in different origins and processed products.薤白螺甾烷醇皂苷的抗氧化活性及其在不同产地和加工产品中的含量
Food Chem X. 2024 Jan 17;21:101144. doi: 10.1016/j.fochx.2024.101144. eCollection 2024 Mar 30.
4
[Study on effect of "Trichosanthis Fructus-Allii Macrostemonis Bulbus" on atherosclerosis in ApoE~(-/-) mice based on liver metabonomics].基于肝脏代谢组学探讨“瓜蒌-薤白”对ApoE~(-/-)小鼠动脉粥样硬化的影响研究
Zhongguo Zhong Yao Za Zhi. 2021 Oct;46(20):5320-5329. doi: 10.19540/j.cnki.cjcmm.20210702.403.
5
Quantification and semiquantification of multiple representative components for the holistic quality control of Allii Macrostemonis Bulbus by ultra high performance liquid chromatography with quadrupole time-of-flight tandem mass spectrometry.基于超高效液相色谱-四极杆飞行时间串联质谱法对薤白整体质量控制中多个代表性成分的定量及半定量分析
J Sep Sci. 2016 May;39(10):1834-41. doi: 10.1002/jssc.201501368. Epub 2016 Apr 28.
6
Antioxidant Activities and Polyphenol Contents of Seven Commercially Available Fruits.七种市售水果的抗氧化活性和多酚含量
Pharmacognosy Res. 2016 Oct-Dec;8(4):258-264. doi: 10.4103/0974-8490.188875.
7
[Compatibility mechanism of Trichosanthis Fructus-Allii Macrostemonis Bulbus combination against atherosclerosis: based on metabolomics and network pharmacology].[瓜蒌-薤白配伍抗动脉粥样硬化的作用机制:基于代谢组学和网络药理学]
Zhongguo Zhong Yao Za Zhi. 2022 Nov;47(22):6207-6216. doi: 10.19540/j.cnki.cjcmm.20220727.701.
8
A trisaccharide phenylethanoid glycoside from Scrophularia flava Grau with potential anti-type 2 diabetic properties by inhibiting α-glucosidase enzyme and decreasing oxidative stress.黄独 Scrophularia flava Grau 中的一种三糖苯乙醇苷具有通过抑制 α-葡萄糖苷酶和降低氧化应激来防治 2 型糖尿病的潜力。
Bioorg Chem. 2020 Jun;99:103776. doi: 10.1016/j.bioorg.2020.103776. Epub 2020 Apr 1.
9
Phytochemistry and pharmacology of Allii Macrostemonis Bulbus, a traditional Chinese medicine.中药薤白的化学成分和药理学研究
Chin J Nat Med. 2016 Jul;14(7):481-98. doi: 10.1016/S1875-5364(16)30058-9.
10
[Advances in study of anticancer properties of Allii Macrostemonis Bulbus].[薤白抗癌特性的研究进展]
Zhongguo Zhong Yao Za Zhi. 2015 Dec;40(24):4811-6.

引用本文的文献

1
Development of a Quality Evaluation Method for Allii Macrostemonis Bulbus Based on Solid-Phase Extraction-High-Performance Liquid Chromatography-Evaporative Light Scattering Detection Chromatographic Fingerprinting, Chemometrics, and Quantitative Analysis of Multi-Components via a Single-Marker Method.基于固相萃取-高效液相色谱-蒸发光散射检测色谱指纹图谱、化学计量学和单标记定量分析方法的薤白质量评价方法的建立。
Molecules. 2024 Sep 27;29(19):4600. doi: 10.3390/molecules29194600.
2
Antioxidant activity of spirostanol saponins from Allii Macrostemonis Bulbus and their contents in different origins and processed products.薤白螺甾烷醇皂苷的抗氧化活性及其在不同产地和加工产品中的含量
Food Chem X. 2024 Jan 17;21:101144. doi: 10.1016/j.fochx.2024.101144. eCollection 2024 Mar 30.

本文引用的文献

1
Five new spirosterol saponins from Allii Macrostemonis Bulbus.从薤白中分离得到的五种新螺甾醇皂苷。
Chin J Nat Med. 2023 Mar;21(3):226-232. doi: 10.1016/S1875-5364(23)60423-6.
2
Allii Macrostemonis Bulbus: A Comprehensive Review of Ethnopharmacology, Phytochemistry and Pharmacology.大蒜属鳞茎:民族药理学、植物化学和药理学的全面综述。
Molecules. 2023 Mar 8;28(6):2485. doi: 10.3390/molecules28062485.
3
Detection strategies for superoxide anion: A review.超氧阴离子检测策略:综述。
Talanta. 2022 Jan 1;236:122892. doi: 10.1016/j.talanta.2021.122892. Epub 2021 Sep 20.
4
HPLC-FRAP methodology and biological activities of different stem bark extracts of Cajanus cajan (L.) Millsp.HPLC-FRAP 方法及不同种野牡丹科巴戟天属鸡矢藤(L.)米尔斯树皮提取物的生物活性
J Pharm Biomed Anal. 2021 Jan 5;192:113678. doi: 10.1016/j.jpba.2020.113678. Epub 2020 Oct 12.
5
Antioxidant activity of organic sulfides from fresh Allium macrostemon Bunge and their protective effects against oxidative stress in Caenorhabditis elegans.新鲜顶羽葱有机硫化物的抗氧化活性及其对秀丽隐杆线虫氧化应激的保护作用。
J Food Biochem. 2020 Nov;44(11):e13447. doi: 10.1111/jfbc.13447. Epub 2020 Sep 10.
6
Effect of Furostanol Saponins from Allium Macrostemon Bunge Bulbs on Platelet Aggregation Rate and PI3K/Akt Pathway in the Rat Model of Coronary Heart Disease.葱属植物薤白鳞茎中呋甾烷醇皂苷对冠心病大鼠模型血小板聚集率及PI3K/Akt信号通路的影响
Evid Based Complement Alternat Med. 2019 Jun 23;2019:9107847. doi: 10.1155/2019/9107847. eCollection 2019.
7
Variation of active constituents and antioxidant activity in Grunning from different stages.不同生长阶段的绞股蓝中活性成分及抗氧化活性的变化
J Food Sci Technol. 2017 Jul;54(8):2288-2295. doi: 10.1007/s13197-017-2666-9. Epub 2017 Jun 12.
8
Phytochemistry and pharmacology of Allii Macrostemonis Bulbus, a traditional Chinese medicine.中药薤白的化学成分和药理学研究
Chin J Nat Med. 2016 Jul;14(7):481-98. doi: 10.1016/S1875-5364(16)30058-9.
9
Scientific validation of the medicinal efficacy of Tinospora cordifolia.匙羹藤药用功效的科学验证。
ScientificWorldJournal. 2013 Dec 23;2013:292934. doi: 10.1155/2013/292934. eCollection 2013.
10
Bauhinia variegata leaf extracts exhibit considerable antibacterial, antioxidant, and anticancer activities.羊蹄甲叶片提取物具有显著的抗菌、抗氧化和抗癌活性。
Biomed Res Int. 2013;2013:915436. doi: 10.1155/2013/915436. Epub 2013 Sep 5.