Fahim Shah Mohammad, Das Subhasish, Rasul Md Golam, Zaman Mahabub Uz, Alam Md Ashraful, Afrin Sazia, Saqeeb Kazi Nazmus, Hasan Md Mahmudul, Alam A F M Mahbubul, Chowdhury Morseda, Ahmed Tahmeed
Nutrition and Clinical Services Division International Centre for Diarrhoeal Disease Research, Bangladesh (icddr,b) Dhaka Bangladesh.
Division of Nutritional Sciences Cornell University Ithaca New York USA.
Food Sci Nutr. 2023 Jun 15;11(9):5523-5531. doi: 10.1002/fsn3.3508. eCollection 2023 Sep.
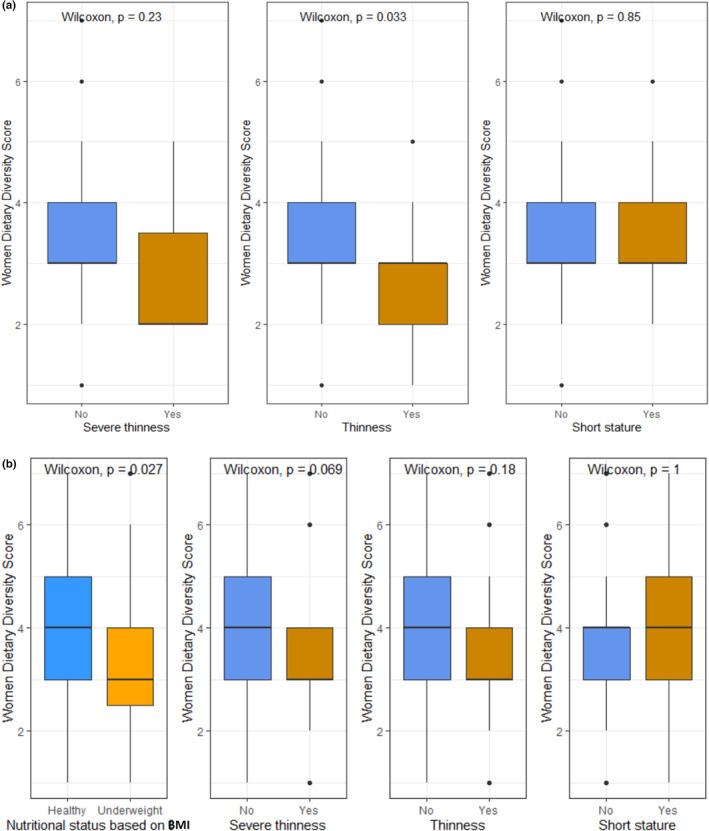
There are no data on the nutritional status and dietary diversity of the pregnant and nonpregnant reproductive-age Rohingya women who have recently shifted to the Bhasan Char Relocation Camp located on an island in the Bay of Bengal. A cross-sectional survey was conducted in November-December, 2021 to assess the nutritional status and evaluate the dietary diversity of two vulnerable groups of the forcibly displaced Rohingya population: nonpregnant reproductive-age women and pregnant mothers. Multivariable logistic regression was applied to identify the factors associated with nutritional impairments. Overall, 7.6% of the nonpregnant reproductive-age women were underweight (Body Mass Index [BMI] < 18.5 kg/m), and nearly one-third of them had a BMI ≥ 25 kg/m. However, 26.7% of the pregnant mothers were undernourished (BMI < 20.0 kg/m) and almost one-fourth of them were either overweight or obese (BMI ≥ 25.0 kg/m). The prevalence of thinness (Mid Upper Arm Circumference [MUAC] < 23 cm) was 34.5% among pregnant mothers, and 10.1% of them were severely thin (MUAC < 21 cm). The mean (±SD) of the Women's Dietary Diversity Score (WDDS) was 3.3 (±1.1) for nonpregnant reproductive-age women and 3.7 (±1.3) for pregnant mothers enrolled in this study. Overall, 63.8% of the nonpregnant women of childbearing age and 46% of the pregnant mothers had a low WDDS (WDDS < 4). The WDDS was found to be protective against thinness among nonpregnant reproductive-age women (AOR = 0.61; 95% CI = 0.37, 0.93; -value = .03) and low BMI in pregnant mothers (AOR = 0.71; 95% CI = 0.55, 0.91; -value = .01). The results of this survey will assist in early recognition of the nutritional demands, and act as a guide to planning nutrition-based programs among Rohingya reproductive-age women relocated to the Bhasan Char Island.
对于最近转移到位于孟加拉湾一座岛屿上的巴桑查尔安置营的怀孕和未怀孕的育龄罗兴亚妇女的营养状况和饮食多样性,目前尚无相关数据。2021年11月至12月进行了一项横断面调查,以评估两个易受伤害的被迫流离失所罗兴亚人群体的营养状况并评价其饮食多样性:未怀孕的育龄妇女和怀孕母亲。应用多变量逻辑回归来确定与营养损害相关的因素。总体而言,7.6%的未怀孕育龄妇女体重不足(体重指数[BMI]<18.5kg/m²),其中近三分之一的BMI≥25kg/m²。然而,26.7%的怀孕母亲营养不良(BMI<20.0kg/m²),其中近四分之一超重或肥胖(BMI≥25.0kg/m²)。怀孕母亲中消瘦(上臂中部周长[MUAC]<23cm)的患病率为34.5%,其中10.1%为严重消瘦(MUAC<21cm)。本研究中,未怀孕育龄妇女的女性饮食多样性得分(WDDS)均值(±标准差)为3.3(±1.1),怀孕母亲为3.7(±1.3)。总体而言,63.8%的育龄未怀孕妇女和46%的怀孕母亲的WDDS较低(WDDS<4)。研究发现,WDDS对未怀孕育龄妇女的消瘦具有保护作用(调整后比值比[AOR]==0.61;95%置信区间[CI]=0.37,0.93;P值=0.03),对怀孕母亲的低BMI也具有保护作用(AOR=0.71;95%CI=0.55,0.91;P值=0.01)。本次调查结果将有助于早期识别营养需求,并为规划针对转移到巴桑查尔岛的罗兴亚育龄妇女的营养项目提供指导。