• 文献检索
  • 文档翻译
  • 深度研究
  • 学术资讯
  • Suppr Zotero 插件Zotero 插件
  • 邀请有礼
  • 套餐&价格
  • 历史记录
应用&插件
Suppr Zotero 插件Zotero 插件浏览器插件Mac 客户端Windows 客户端微信小程序
定价
高级版会员购买积分包购买API积分包
服务
文献检索文档翻译深度研究API 文档MCP 服务
关于我们
关于 Suppr公司介绍联系我们用户协议隐私条款
关注我们

Suppr 超能文献

核心技术专利:CN118964589B侵权必究
粤ICP备2023148730 号-1Suppr @ 2026

文献检索

告别复杂PubMed语法,用中文像聊天一样搜索,搜遍4000万医学文献。AI智能推荐,让科研检索更轻松。

立即免费搜索

文件翻译

保留排版,准确专业,支持PDF/Word/PPT等文件格式,支持 12+语言互译。

免费翻译文档

深度研究

AI帮你快速写综述,25分钟生成高质量综述,智能提取关键信息,辅助科研写作。

立即免费体验

基于单核苷酸多态性、形态特征、国际植物新品种保护联盟(UPOV)描述符和籽粒相关性状的硬粒小麦(Desf.)表型进化

Phenotypic evolution in durum wheat ( Desf.) based on SNPs, morphological traits, UPOV descriptors and kernel-related traits.

作者信息

Marzario Stefania, Sica Rita, Taranto Francesca, Fania Fabio, Esposito Salvatore, De Vita Pasquale, Gioia Tania, Logozzo Giuseppina

机构信息

School of Agricultural, Forestry, Food and Environmental Sciences, University of Basilicata, Potenza, Italy.

Institute of Biosciences and Bioresources (CNR-IBBR), Bari, Italy.

出版信息

Front Plant Sci. 2023 Aug 28;14:1206560. doi: 10.3389/fpls.2023.1206560. eCollection 2023.

DOI:10.3389/fpls.2023.1206560
PMID:37701808
原文链接:https://pmc.ncbi.nlm.nih.gov/articles/PMC10493298/
Abstract

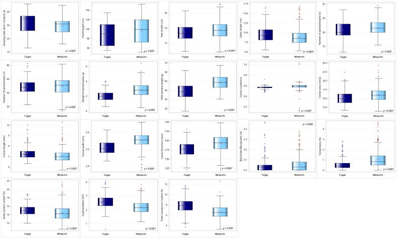
Durum wheat is a worldwide staple crop cultivated mainly in the Mediterranean basin. Progress in durum wheat breeding requires the exploitation of genetic variation among the gene pool enclosed in landraces, old cultivars and modern cultivars. The aim of this study was to provide a more comprehensive view of the genetic architecture evolution among 123 durum wheat accessions (41 landraces, 41 old cultivars and 41 modern cultivars), grown in replicated randomized complete block in two areas, Metaponto (Basilicata) and Foggia (Apulia), using the Illumina iSelect 15K wheat SNP array and 33 plant and kernel traits including the International Union for the Protection of new Varieties of Plants (UPOV) descriptors. Through DAPC and Bayesian population structure five groups were identified according to type of material data and reflecting the genetic basis and breeding strategies involved in their development. Phenotypic and genotypic coefficient of variation were low for kernel width (6.43%) and for grain protein content (1.03%). Highly significant differences between environments, genotypes and GEI (Genotype x Environment Interaction) were detected by mixed ANOVAs for agro-morphological-quality traits. Number of kernels per spike (h = 0.02) and grain protein content (h = 0.03) were not a heritability character and highly influenced by the environment. Nested ANOVAs revealed highly significant differences between DAPC clusters within environments for all traits except kernel roundness. Ten UPOV traits showed significant diversity for their frequencies in the two environments. By PCAmix multivariate analysis, plant height, heading time, spike length, weight of kernels per spike, thousand kernel weight, and the seed related traits had heavy weight on the differentiation of the groups, while UPOV traits discriminated moderately or to a little extent. The data collected in this study provide useful resources to facilitate management and use of wheat genetic diversity that has been lost due to selection in the last decades.

摘要

硬粒小麦是一种主要在地中海盆地种植的全球主食作物。硬粒小麦育种的进展需要利用地方品种、老品种和现代品种所包含的基因库中的遗传变异。本研究的目的是利用Illumina iSelect 15K小麦SNP芯片以及包括国际植物新品种保护联盟(UPOV)描述符在内的33个植株和籽粒性状,对123份硬粒小麦种质(41份地方品种、41份老品种和41份现代品种)在两个地区(巴西利卡塔的梅塔蓬托和普利亚的福贾)的重复随机完全区组试验中种植的遗传结构演变提供更全面的认识。通过判别分析主成分(DAPC)和贝叶斯群体结构,根据材料数据类型鉴定出五个组,反映了其发育过程中涉及的遗传基础和育种策略。籽粒宽度(6.43%)和籽粒蛋白质含量(1.03%)的表型和基因型变异系数较低。通过混合方差分析检测到农艺形态品质性状在环境、基因型和基因型×环境互作(GEI)之间存在极显著差异。每穗粒数(h = 0.02)和籽粒蛋白质含量(h = 0.03)不是遗传力性状,且受环境影响很大。嵌套方差分析显示,除籽粒圆度外,所有性状在环境内的DAPC聚类之间存在极显著差异。十个UPOV性状在两种环境中的频率表现出显著差异。通过PCAmix多变量分析,株高、抽穗期、穗长、每穗粒重、千粒重和种子相关性状对组间分化影响较大,而UPOV性状的区分作用中等或较小。本研究收集的数据为促进管理和利用因过去几十年的选择而丧失的小麦遗传多样性提供了有用资源。

https://cdn.ncbi.nlm.nih.gov/pmc/blobs/49f4/10493298/913167195200/fpls-14-1206560-g007.jpg
https://cdn.ncbi.nlm.nih.gov/pmc/blobs/49f4/10493298/5f03ac78c04b/fpls-14-1206560-g001.jpg
https://cdn.ncbi.nlm.nih.gov/pmc/blobs/49f4/10493298/70cc868d6f1a/fpls-14-1206560-g002.jpg
https://cdn.ncbi.nlm.nih.gov/pmc/blobs/49f4/10493298/fded332bb90a/fpls-14-1206560-g003.jpg
https://cdn.ncbi.nlm.nih.gov/pmc/blobs/49f4/10493298/54de66d41ef7/fpls-14-1206560-g004.jpg
https://cdn.ncbi.nlm.nih.gov/pmc/blobs/49f4/10493298/cf317cb99260/fpls-14-1206560-g005.jpg
https://cdn.ncbi.nlm.nih.gov/pmc/blobs/49f4/10493298/8c44b7ecc0b3/fpls-14-1206560-g006.jpg
https://cdn.ncbi.nlm.nih.gov/pmc/blobs/49f4/10493298/913167195200/fpls-14-1206560-g007.jpg
https://cdn.ncbi.nlm.nih.gov/pmc/blobs/49f4/10493298/5f03ac78c04b/fpls-14-1206560-g001.jpg
https://cdn.ncbi.nlm.nih.gov/pmc/blobs/49f4/10493298/70cc868d6f1a/fpls-14-1206560-g002.jpg
https://cdn.ncbi.nlm.nih.gov/pmc/blobs/49f4/10493298/fded332bb90a/fpls-14-1206560-g003.jpg
https://cdn.ncbi.nlm.nih.gov/pmc/blobs/49f4/10493298/54de66d41ef7/fpls-14-1206560-g004.jpg
https://cdn.ncbi.nlm.nih.gov/pmc/blobs/49f4/10493298/cf317cb99260/fpls-14-1206560-g005.jpg
https://cdn.ncbi.nlm.nih.gov/pmc/blobs/49f4/10493298/8c44b7ecc0b3/fpls-14-1206560-g006.jpg
https://cdn.ncbi.nlm.nih.gov/pmc/blobs/49f4/10493298/913167195200/fpls-14-1206560-g007.jpg

相似文献

1
Phenotypic evolution in durum wheat ( Desf.) based on SNPs, morphological traits, UPOV descriptors and kernel-related traits.基于单核苷酸多态性、形态特征、国际植物新品种保护联盟(UPOV)描述符和籽粒相关性状的硬粒小麦(Desf.)表型进化
Front Plant Sci. 2023 Aug 28;14:1206560. doi: 10.3389/fpls.2023.1206560. eCollection 2023.
2
Phenotypic Parent Selection Within a Khorasan Wheat Collection and Genetic Variation in Advanced Breeding Lines Derived by Hybridization With Durum Wheat.在霍拉桑小麦种质资源中进行表型亲本选择以及与硬粒小麦杂交衍生的高级育种系中的遗传变异。
Front Plant Sci. 2019 Nov 20;10:1460. doi: 10.3389/fpls.2019.01460. eCollection 2019.
3
Genetic Diversity of Durum Wheat ( L. ssp. , Desf) Germplasm as Revealed by Morphological and SSR Markers.形态学和 SSR 标记揭示硬粒小麦( L. ssp. , Desf)种质的遗传多样性。
Genes (Basel). 2023 May 26;14(6):1155. doi: 10.3390/genes14061155.
4
A comparison of phenotypic variation in Triticum durum Desf. genotypes deposited in gene banks based on the shape and color descriptors of kernels in a digital image analysis.基于数字图像分析中对 kernels 的形状和颜色描述符,比较基因库中不同 Triticum durum Desf. 基因型的表型变异。
PLoS One. 2022 Feb 17;17(2):e0259413. doi: 10.1371/journal.pone.0259413. eCollection 2022.
5
Genetic diversity of Ethiopian durum wheat ( subsp. ) landraces under water stressed and non stressed conditions.水分胁迫和非胁迫条件下埃塞俄比亚硬粒小麦(亚种)地方品种的遗传多样性
Heliyon. 2023 Jul 17;9(7):e18359. doi: 10.1016/j.heliyon.2023.e18359. eCollection 2023 Jul.
6
SSR markers and seed quality traits revealed genetic diversity in durum wheat (Triticum durum Desf.).SSR 标记和种子质量性状揭示了硬质小麦(Triticum durum Desf.)的遗传多样性。
Mol Biol Rep. 2021 Apr;48(4):3185-3193. doi: 10.1007/s11033-021-06385-y. Epub 2021 May 11.
7
Breeding effects on durum wheat traits detected using GWAS and haplotype block analysis.利用全基因组关联研究(GWAS)和单倍型块分析检测硬粒小麦性状的育种效应。
Front Plant Sci. 2023 Sep 19;14:1206517. doi: 10.3389/fpls.2023.1206517. eCollection 2023.
8
Morphological characterization and genetic diversity analysis of Tunisian durum wheat (Triticum turgidum var. durum) accessions.突尼斯硬粒小麦(Triticum turgidum var. durum)种质资源的形态特征和遗传多样性分析。
BMC Genom Data. 2021 Feb 3;22(1):3. doi: 10.1186/s12863-021-00958-3.
9
Exploitation of the Genetic Variability of Diverse Metric Traits of Durum Wheat ( L. ssp. Desf.) Cultivars for Local Adaptation to Semi-Arid Regions of Algeria.利用硬粒小麦(L. ssp. Desf.)品种不同度量性状的遗传变异性以实现对阿尔及利亚半干旱地区的本地适应性。
Plants (Basel). 2024 Mar 23;13(7):934. doi: 10.3390/plants13070934.
10
Whole Genome Scan Reveals Molecular Signatures of Divergence and Selection Related to Important Traits in Durum Wheat Germplasm.全基因组扫描揭示了与硬粒小麦种质重要性状相关的分化和选择分子特征。
Front Genet. 2020 Apr 21;11:217. doi: 10.3389/fgene.2020.00217. eCollection 2020.

引用本文的文献

1
Breeding effects on durum wheat traits detected using GWAS and haplotype block analysis.利用全基因组关联研究(GWAS)和单倍型块分析检测硬粒小麦性状的育种效应。
Front Plant Sci. 2023 Sep 19;14:1206517. doi: 10.3389/fpls.2023.1206517. eCollection 2023.

本文引用的文献

1
Elucidating the Genetic Relationships on the Original Old Sicilian Spp. Collection by SNP Genotyping.通过 SNP 基因分型阐明原始旧西西里种属集的遗传关系。
Int J Mol Sci. 2022 Nov 2;23(21):13378. doi: 10.3390/ijms232113378.
2
Genome Wide Association Study Uncovers the QTLome for Osmotic Adjustment and Related Drought Adaptive Traits in Durum Wheat.全基因组关联研究揭示了硬粒小麦渗透调节和相关耐旱适应性状的 QTLome。
Genes (Basel). 2022 Feb 2;13(2):293. doi: 10.3390/genes13020293.
3
A comparison of phenotypic variation in Triticum durum Desf. genotypes deposited in gene banks based on the shape and color descriptors of kernels in a digital image analysis.
基于数字图像分析中对 kernels 的形状和颜色描述符,比较基因库中不同 Triticum durum Desf. 基因型的表型变异。
PLoS One. 2022 Feb 17;17(2):e0259413. doi: 10.1371/journal.pone.0259413. eCollection 2022.
4
Physical mapping of QTL associated with agronomic and end-use quality traits in spring wheat under conventional and organic management systems.在常规和有机管理系统下,与春小麦农艺和终用途品质性状相关的 QTL 的物理图谱。
Theor Appl Genet. 2021 Nov;134(11):3699-3719. doi: 10.1007/s00122-021-03923-x. Epub 2021 Jul 31.
5
Polyphenol oxidase genes as integral part of the evolutionary history of domesticated tetraploid wheat.多酚氧化酶基因作为驯化四倍体小麦进化史的重要组成部分。
Genomics. 2021 Sep;113(5):2989-3001. doi: 10.1016/j.ygeno.2021.06.030. Epub 2021 Jun 26.
6
Quantitative Label-Free Comparison of the Metabolic Protein Fraction in Old and Modern Italian Wheat Genotypes by a Shotgun Approach.基于 shotgun 方法的意大利老品种和现代品种小麦代谢蛋白组的定量无标记比较。
Molecules. 2021 Apr 29;26(9):2596. doi: 10.3390/molecules26092596.
7
Morphological characterization and genetic diversity analysis of Tunisian durum wheat (Triticum turgidum var. durum) accessions.突尼斯硬粒小麦(Triticum turgidum var. durum)种质资源的形态特征和遗传多样性分析。
BMC Genom Data. 2021 Feb 3;22(1):3. doi: 10.1186/s12863-021-00958-3.
8
Relationship between Seed Morphological Traits and Ash and Mineral Distribution along the Kernel Using Debranning in Durum Wheats from Different Geographic Sites.不同地理区域硬质小麦种子形态特征与沿籽粒麸皮去除后灰分及矿物质分布的关系
Foods. 2020 Oct 23;9(11):1523. doi: 10.3390/foods9111523.
9
Molecular Mapping and Genomics of Grain Yield in Durum Wheat: A Review.分子图谱和基因组学在硬质小麦粒产量中的研究进展:综述。
Int J Mol Sci. 2020 Sep 24;21(19):7021. doi: 10.3390/ijms21197021.
10
Allelic Variation at the Vernalization Response () and Photoperiod Sensitivity () Genes and Their Association With the Development of Durum Wheat Landraces and Modern Cultivars.春化反应()和光周期敏感性()基因的等位变异及其与硬粒小麦地方品种和现代品种发育的关联。
Front Plant Sci. 2020 Jun 23;11:838. doi: 10.3389/fpls.2020.00838. eCollection 2020.