Suppr超能文献

专性异交种群中受精能力的进化。

Evolution of fertilization ability in obligatorily outcrossing populations of .

机构信息

Institute of Environmental Sciences, Faculty of Biology, Jagiellonian University in Cracow, Cracow, Poland.

出版信息

PeerJ. 2023 Sep 8;11:e15825. doi: 10.7717/peerj.15825. eCollection 2023.

Abstract

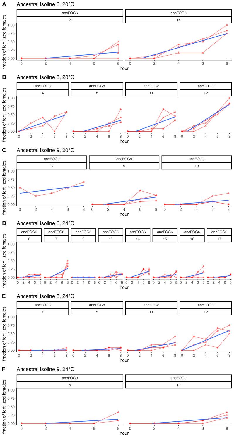
In species reproducing by selfing, the traits connected with outcrossing typically undergo degeneration, a phenomenon called selfing syndrome. In nematodes, selfing syndrome affects many traits involved in mating, rendering cross-fertilization highly inefficient. In this study, we investigated the evolution of cross-fertilization efficiency in populations genetically modified to reproduce by obligatory outcrossing. Following the genetic modification, replicate obligatorily outcrossing were maintained for over 100 generations, at either optimal (20 °C) or elevated (24 °C) temperatures, as a part of a broader experimental evolution program. Subsequently, fertilization rates were assayed in the evolving populations, as well as their ancestors who had the obligatory outcrossing introduced but did not go through experimental evolution. Fertilization effectivity was measured by tracking the fractions of fertilized females in age-synchronized populations, through 8 h since reaching adulthood. In order to check the robustness of our measurements, each evolving population was assayed in two or three independent replicate blocks. Indeed, we found high levels of among-block variability in the fertilization trajectories, and in the estimates of divergence between evolving populations and their ancestors. We also identified five populations which appear to have evolved increased fertilization efficiency, relative to their ancestors. However, due to the abovementioned high variability, this set of populations should be treated as candidate, with further replications needed to either confirm or disprove their divergence from ancestors. Furthermore, we also discuss additional observations we have made concerning fertilization trajectories.

摘要

在自交繁殖的物种中,与异交相关的特征通常会退化,这种现象被称为自交综合征。在线虫中,自交综合征会影响许多与交配相关的特征,使得异交受精效率非常低。在这项研究中,我们研究了通过强制异交遗传修饰的种群中异交受精效率的进化。在遗传修饰之后,强制性异交的重复实验在优化(20°C)或升高(24°C)温度下进行了超过 100 代,作为更广泛的实验进化计划的一部分。随后,在进化种群及其祖先中检测了受精率,这些祖先引入了强制性异交但没有经历实验进化。通过在达到成年后 8 小时内跟踪年龄同步化种群中受精雌性的比例,测量受精效率。为了检查我们测量的稳健性,每个进化种群在两个或三个独立的重复块中进行了检测。实际上,我们发现受精轨迹和进化种群与其祖先之间的分歧估计值在块之间存在高度的变异性。我们还确定了五个似乎相对于其祖先进化出更高受精效率的种群。然而,由于上述高度的变异性,这组种群应被视为候选种群,需要进一步复制以确认或反驳它们与祖先的分歧。此外,我们还讨论了我们在受精轨迹方面的其他观察结果。

https://cdn.ncbi.nlm.nih.gov/pmc/blobs/9892/10494835/390f6d0b158e/peerj-11-15825-g001.jpg

文献AI研究员

20分钟写一篇综述,助力文献阅读效率提升50倍。

立即体验

用中文搜PubMed

大模型驱动的PubMed中文搜索引擎

马上搜索

文档翻译

学术文献翻译模型,支持多种主流文档格式。

立即体验