Suppr超能文献

通过叶面施肥对不同玉米品种进行锌、铁和硒生物强化。

Biofortification of different maize cultivars with zinc, iron and selenium by foliar fertilizer applications.

作者信息

Xue Yan-Fang, Li Xiao-Jing, Yan Wei, Miao Qi, Zhang Chun-Yan, Huang Meng, Sun Jin-Bian, Qi Shi-Jun, Ding Zhao-Hua, Cui Zhen-Ling

机构信息

National Engineering Research Center of Wheat and Maize, Maize Research Institute, Shandong Academy of Agricultural Sciences, Jinan, China.

Key Laboratory of Biology and Genetic Improvement of Maize in Northern Yellow-Huai Rivers Plain, Ministry of Agriculture, Maize Research Institute, Shandong Academy of Agricultural Sciences, Jinan, China.

出版信息

Front Plant Sci. 2023 Sep 7;14:1144514. doi: 10.3389/fpls.2023.1144514. eCollection 2023.

Abstract

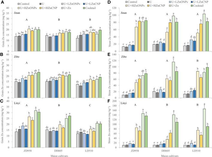
Fertilizer-based biofortification is a strategy for combating worldwide malnutrition of zinc (Zn), iron (Fe) and selenium (Se). Field experiments were conducted to investigate the effects of foliar treatments on concentrations of Zn, Fe, Se, N and bioavailability of Zn and Fe in grains of three maize cultivars grown at three locations. We compared the efficacy of ZnO nanoparticles (ZnO-NPs), Zn complexed chitosan nanoparticles (Zn-CNPs), conventional ZnSO and a cocktail solution (containing Zn, Fe and Se). All treatments were foliar-applied at rate of 452 mg Zn L, plus urea. Applying ten-fold less Zn (at rate of 45.2 mg Zn L) plus urea in the form of ZnO-NPs, Zn-CNPs, or ZnSO resulted in no increase, or a negligible increase, in grain Zn concentration compared with deionized water. By contrast, among the different Zn sources plus urea applied by foliar sprays, conventional ZnSO was the most efficient in improving grain Zn concentration. Furthermore, foliar application of a cocktail solution effectively improved grain concentrations of Zn, Fe, Se and N simultaneously, without a grain yield trade-off. For example, the average grain concentrations were simultaneously increased from 13.8 to 22.1 mg kg for Zn, from 17.2 to 22.1 mg kgfor Fe, from 21.4 to 413.5 ug kg for Se and from 13.8 to 14.7 g kg for N by foliar application of a cocktail solution. Because grain yield was significantly negatively correlated with grain nutrient concentrations, the magnitude of increase in grain concentrations of Zn and Fe was most pronounced in the maize cultivar with the lowest grain yield (Zhengdan958 grown in Linyi). Foliar application of a cocktail solution also significantly decreased the phytic acid (PA) concentration, ratios of PA/Fe and PA/Zn in grains, indicating an increased bioavailability of Fe and Zn for human health. In conclusion, we found that a foliar application of a cocktail solution including Zn, Fe, Se and N was most effective for biofortification, but that the grains with the lowest yield contained the greatest concentration of these elements. This finding highlights the need to breed maize varieties that are capable of achieving both high grain yield and high grain nutritional quality to address food security and human health challenges.

摘要

基于肥料的生物强化是应对全球锌(Zn)、铁(Fe)和硒(Se)营养不良问题的一种策略。开展了田间试验,以研究叶面处理对三个地点种植的三个玉米品种籽粒中锌、铁、硒、氮浓度以及锌和铁生物有效性的影响。我们比较了氧化锌纳米颗粒(ZnO-NPs)、锌复合壳聚糖纳米颗粒(Zn-CNPs)、传统硫酸锌(ZnSO)和一种混合溶液(含锌、铁和硒)的功效。所有处理均以452毫克锌/升的用量进行叶面喷施,并添加尿素。以氧化锌纳米颗粒、锌复合壳聚糖纳米颗粒或硫酸锌的形式,施用十倍量更少的锌(45.2毫克锌/升)并添加尿素,与去离子水相比,籽粒锌浓度没有增加或增加可忽略不计。相比之下,在通过叶面喷施施用的不同锌源加尿素中,传统硫酸锌在提高籽粒锌浓度方面最有效。此外,叶面喷施混合溶液能有效同时提高籽粒中锌、铁、硒和氮的浓度,且不影响籽粒产量。例如,通过叶面喷施混合溶液,锌的平均籽粒浓度从13.8毫克/千克同时提高到22.1毫克/千克,铁从17.2毫克/千克提高到22.1毫克/千克,硒从21.4微克/千克提高到413.5微克/千克,氮从13.8克/千克提高到14.7克/千克。由于籽粒产量与籽粒养分浓度显著负相关,锌和铁的籽粒浓度增加幅度在籽粒产量最低的玉米品种(临沂种植的郑单958)中最为明显。叶面喷施混合溶液还显著降低了籽粒中植酸(PA)浓度、PA/铁和PA/锌的比值,表明铁和锌对人体健康的生物有效性增加。总之,我们发现叶面喷施包含锌、铁、硒和氮的混合溶液对生物强化最有效,但产量最低的籽粒中这些元素的浓度最高。这一发现凸显了培育能够同时实现高籽粒产量和高籽粒营养品质的玉米品种以应对粮食安全和人类健康挑战的必要性。

https://cdn.ncbi.nlm.nih.gov/pmc/blobs/7fc4/10513412/60307ea7cb6b/fpls-14-1144514-g001.jpg

文献检索

告别复杂PubMed语法,用中文像聊天一样搜索,搜遍4000万医学文献。AI智能推荐,让科研检索更轻松。

立即免费搜索

文件翻译

保留排版,准确专业,支持PDF/Word/PPT等文件格式,支持 12+语言互译。

免费翻译文档

深度研究

AI帮你快速写综述,25分钟生成高质量综述,智能提取关键信息,辅助科研写作。

立即免费体验