• 文献检索
  • 文档翻译
  • 深度研究
  • 学术资讯
  • Suppr Zotero 插件Zotero 插件
  • 邀请有礼
  • 套餐&价格
  • 历史记录
应用&插件
Suppr Zotero 插件Zotero 插件浏览器插件Mac 客户端Windows 客户端微信小程序
定价
高级版会员购买积分包购买API积分包
服务
文献检索文档翻译深度研究API 文档MCP 服务
关于我们
关于 Suppr公司介绍联系我们用户协议隐私条款
关注我们

Suppr 超能文献

核心技术专利:CN118964589B侵权必究
粤ICP备2023148730 号-1Suppr @ 2026

文献检索

告别复杂PubMed语法,用中文像聊天一样搜索,搜遍4000万医学文献。AI智能推荐,让科研检索更轻松。

立即免费搜索

文件翻译

保留排版,准确专业,支持PDF/Word/PPT等文件格式,支持 12+语言互译。

免费翻译文档

深度研究

AI帮你快速写综述,25分钟生成高质量综述,智能提取关键信息,辅助科研写作。

立即免费体验

硫胺素二磷酸(ThDP)依赖性酶中卡宾形成的动态质子化状态:一项理论研究

Dynamic Protonation States Underlie Carbene Formation in ThDP-Dependent Enzymes: A Theoretical Study.

作者信息

Uranga Jon, Rabe von Pappenheim Fabian, Tittmann Kai, Mata Ricardo A

机构信息

Institute of Physical Chemistry, Georg-August Universität Göttingen, Tammannstraße 6, 37077 Göttingen, Germany.

Department of Molecular Enzymology, Göttingen Center of Molecular Biosciences, Georg-August Universität Göttingen, Julia-Lermonotowa-Weg 3, D-37077 Göttingen, Germany.

出版信息

J Phys Chem B. 2023 Sep 25;127(44):9423-32. doi: 10.1021/acs.jpcb.3c03137.

DOI:10.1021/acs.jpcb.3c03137
PMID:37748048
原文链接:https://pmc.ncbi.nlm.nih.gov/articles/PMC10688766/
Abstract

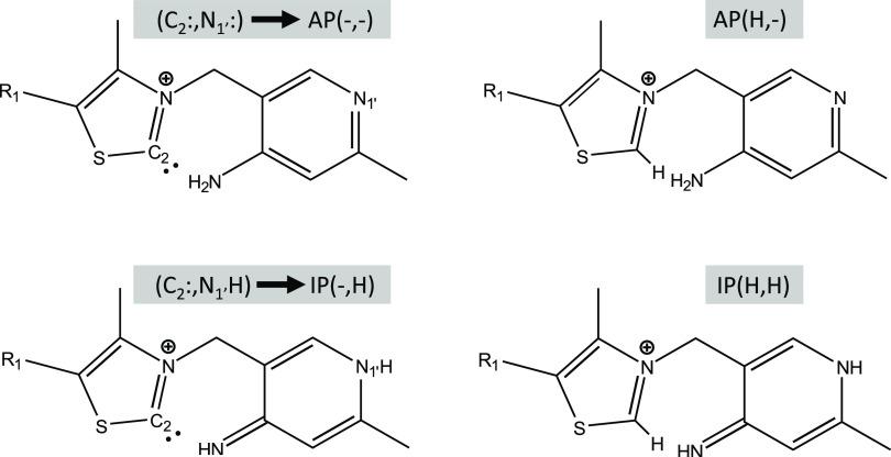
The activation mechanism of thiamine diphosphate (ThDP) in enzymes has long been the subject of intense research and controversial discussion. Particularly contentious is the formation of a carbene intermediate, the first one observed in an enzyme. For the formation of the carbene to take place, both intramolecular and intermolecular proton transfer pathways have been proposed. However, the physiologically relevant pH of ThDP-dependent enzymes around neutrality does not seem to be suitable for the formation of such reactive chemical species. Herein, we investigate the general mechanism of activation of the ThDP cofactor in human transketolase (TKT), by means of electronic structure methods. We show that in the case of the human TKT, the carbene species is accessible through a p shift induced by the electrostatics of a neighboring histidine residue (H110), whose protonation state change modulates the p of ThDP and suppresses the latter by more than 6 pH units. Our findings highlight that ThDP enzymes activate the cofactor beyond simple geometric constraints and the canonical glutamate. Such observations in nature can pave the way for the design of biomimetic carbene catalysts and the engineering of tailored enzymatic carbenes.

摘要

硫胺素二磷酸(ThDP)在酶中的激活机制长期以来一直是深入研究和有争议讨论的主题。特别有争议的是卡宾中间体的形成,这是在酶中观察到的第一个此类中间体。为了发生卡宾的形成,已经提出了分子内和分子间质子转移途径。然而,ThDP依赖性酶在中性附近的生理相关pH似乎不适合形成这种活性化学物质。在此,我们通过电子结构方法研究了人转酮醇酶(TKT)中ThDP辅因子的一般激活机制。我们表明,在人TKT的情况下,卡宾物种可通过相邻组氨酸残基(H110)的静电作用诱导的p位移获得,其质子化状态变化调节ThDP的p并将其抑制超过6个pH单位。我们的研究结果突出表明,ThDP酶对辅因子的激活超出了简单的几何限制和典型的谷氨酸。自然界中的此类观察结果可为仿生卡宾催化剂的设计和定制酶促卡宾的工程化铺平道路。

https://cdn.ncbi.nlm.nih.gov/pmc/blobs/dd76/10688766/3f524ceffb50/jp3c03137_0009.jpg
https://cdn.ncbi.nlm.nih.gov/pmc/blobs/dd76/10688766/dc59f97faab5/jp3c03137_0001.jpg
https://cdn.ncbi.nlm.nih.gov/pmc/blobs/dd76/10688766/8ac86a90b354/jp3c03137_0002.jpg
https://cdn.ncbi.nlm.nih.gov/pmc/blobs/dd76/10688766/95c60869cf8d/jp3c03137_0003.jpg
https://cdn.ncbi.nlm.nih.gov/pmc/blobs/dd76/10688766/9c6beb08800b/jp3c03137_0004.jpg
https://cdn.ncbi.nlm.nih.gov/pmc/blobs/dd76/10688766/b64110feabf3/jp3c03137_0005.jpg
https://cdn.ncbi.nlm.nih.gov/pmc/blobs/dd76/10688766/958678d3c0ed/jp3c03137_0006.jpg
https://cdn.ncbi.nlm.nih.gov/pmc/blobs/dd76/10688766/0b8f16a3b9dc/jp3c03137_0007.jpg
https://cdn.ncbi.nlm.nih.gov/pmc/blobs/dd76/10688766/007925eb30fe/jp3c03137_0008.jpg
https://cdn.ncbi.nlm.nih.gov/pmc/blobs/dd76/10688766/3f524ceffb50/jp3c03137_0009.jpg
https://cdn.ncbi.nlm.nih.gov/pmc/blobs/dd76/10688766/dc59f97faab5/jp3c03137_0001.jpg
https://cdn.ncbi.nlm.nih.gov/pmc/blobs/dd76/10688766/8ac86a90b354/jp3c03137_0002.jpg
https://cdn.ncbi.nlm.nih.gov/pmc/blobs/dd76/10688766/95c60869cf8d/jp3c03137_0003.jpg
https://cdn.ncbi.nlm.nih.gov/pmc/blobs/dd76/10688766/9c6beb08800b/jp3c03137_0004.jpg
https://cdn.ncbi.nlm.nih.gov/pmc/blobs/dd76/10688766/b64110feabf3/jp3c03137_0005.jpg
https://cdn.ncbi.nlm.nih.gov/pmc/blobs/dd76/10688766/958678d3c0ed/jp3c03137_0006.jpg
https://cdn.ncbi.nlm.nih.gov/pmc/blobs/dd76/10688766/0b8f16a3b9dc/jp3c03137_0007.jpg
https://cdn.ncbi.nlm.nih.gov/pmc/blobs/dd76/10688766/007925eb30fe/jp3c03137_0008.jpg
https://cdn.ncbi.nlm.nih.gov/pmc/blobs/dd76/10688766/3f524ceffb50/jp3c03137_0009.jpg

相似文献

1
Dynamic Protonation States Underlie Carbene Formation in ThDP-Dependent Enzymes: A Theoretical Study.硫胺素二磷酸(ThDP)依赖性酶中卡宾形成的动态质子化状态:一项理论研究
J Phys Chem B. 2023 Sep 25;127(44):9423-32. doi: 10.1021/acs.jpcb.3c03137.
2
Insights into the Thiamine Diphosphate Enzyme Activation Mechanism: Computational Model for Transketolase Using a Quantum Mechanical/Molecular Mechanical Method.对硫胺二磷酸酶激活机制的见解:使用量子力学/分子力学方法的转酮醇酶计算模型。
Biochemistry. 2016 Apr 12;55(14):2144-52. doi: 10.1021/acs.biochem.5b00787. Epub 2016 Mar 31.
3
Theoretical Studies of the Electronic Absorption Spectra of Thiamin Diphosphate in Pyruvate Decarboxylase.丙酮酸脱羧酶中硫胺素二磷酸电子吸收光谱的理论研究
Biochemistry. 2017 Apr 4;56(13):1854-1864. doi: 10.1021/acs.biochem.6b00984. Epub 2017 Mar 22.
4
Posttranslational Acylations of the Rat Brain Transketolase Discriminate the Enzyme Responses to Inhibitors of ThDP-Dependent Enzymes or Thiamine Transport.大鼠脑转酮醇酶的翻译后酰化可区分该酶对硫胺素二磷酸依赖性酶抑制剂或硫胺素转运的反应。
Int J Mol Sci. 2024 Jan 11;25(2):917. doi: 10.3390/ijms25020917.
5
New function of the amino group of thiamine diphosphate in thiamine catalysis.硫胺素二磷酸氨基在硫胺素催化中的新功能。
Biochemistry (Mosc). 2009 Mar;74(3):293-300. doi: 10.1134/s0006297909030080.
6
Binding and activation of thiamin diphosphate in acetohydroxyacid synthase.硫胺素二磷酸在乙酰羟酸合酶中的结合与激活
Biochemistry. 2001 Oct 2;40(39):11946-54. doi: 10.1021/bi0104524.
7
Binding Interactions and Inhibition Mechanisms of Gold Complexes in Thiamine Diphosphate-Dependent Enzymes.硫胺素二磷酸依赖性酶中金配合物的结合相互作用和抑制机制。
Biochemistry. 2023 Nov 21;62(22):3303-3311. doi: 10.1021/acs.biochem.3c00376. Epub 2023 Nov 6.
8
The crystal structure of human transketolase and new insights into its mode of action.人源转酮醇酶的晶体结构及其作用模式的新见解。
J Biol Chem. 2010 Oct 8;285(41):31559-70. doi: 10.1074/jbc.M110.149955. Epub 2010 Jul 28.
9
Structural basis for antibiotic action of the B antivitamin 2'-methoxy-thiamine.B 族抗维生素 2'-甲氧基硫胺素的抗生素作用的结构基础。
Nat Chem Biol. 2020 Nov;16(11):1237-1245. doi: 10.1038/s41589-020-0628-4. Epub 2020 Aug 24.
10
The molecular origin of the thiamine diphosphate-induced spectral bands of ThDP-dependent enzymes.硫胺素二磷酸(ThDP)依赖性酶的硫胺素二磷酸诱导光谱带的分子起源。
Proteins. 2004 Aug 1;56(2):338-45. doi: 10.1002/prot.20115.

引用本文的文献

1
Optimization of Quantum Nuclei Positions with the Adaptive Nuclear-Electronic Orbital Approach.采用自适应核电子轨道方法优化量子核位置。
J Phys Chem A. 2024 Apr 25;128(16):3205-3211. doi: 10.1021/acs.jpca.4c00096. Epub 2024 Apr 15.

本文引用的文献

1
How the Destabilization of a Reaction Intermediate Affects Enzymatic Efficiency: The Case of Human Transketolase.反应中间体的不稳定如何影响酶的效率:以人转酮醇酶为例。
ACS Catal. 2020 Feb 21;10(4):2872-2881. doi: 10.1021/acscatal.9b04690. Epub 2020 Feb 7.
2
Theoretical Studies of the Acid-Base Equilibria in a Model Active Site of the Human 20S Proteasome.理论研究人类 20S 蛋白酶体模型活性部位的酸碱平衡。
J Chem Inf Model. 2021 Apr 26;61(4):1942-1953. doi: 10.1021/acs.jcim.0c01459. Epub 2021 Mar 15.
3
QM/MM Study of the Catalytic Reaction of Myrosinase; Importance of Assigning Proper Protonation States of Active-Site Residues.
QM/MM 研究黑芥子硫苷酶的催化反应;活性位点残基适当质子化态的重要性。
J Chem Theory Comput. 2021 Mar 9;17(3):1822-1841. doi: 10.1021/acs.jctc.0c01121. Epub 2021 Feb 5.
4
The Mechanism of N-Heterocyclic Carbene Organocatalysis through a Magnifying Glass.透过放大镜看N-杂环卡宾有机催化的机制
Chemistry. 2020 Apr 16;26(22):4885-4894. doi: 10.1002/chem.201903021. Epub 2020 Feb 11.
5
Low-barrier hydrogen bonds in enzyme cooperativity.酶协同作用中的低势氢键。
Nature. 2019 Sep;573(7775):609-613. doi: 10.1038/s41586-019-1581-9. Epub 2019 Sep 18.
6
The Catalytic Mechanism of Human Transketolase.人转酮醇酶的催化机制。
Chemphyschem. 2019 Nov 5;20(21):2881-2886. doi: 10.1002/cphc.201900650. Epub 2019 Sep 11.
7
The Mesomeric Effect of Thiazolium on non-Kekulé Diradicals in Pichia stipitis Transketolase.噻唑鎓对酿酒酵母转酮醇酶中非共振二自由基的中介效应。
Angew Chem Int Ed Engl. 2018 Feb 12;57(7):1802-1807. doi: 10.1002/anie.201709799. Epub 2018 Jan 15.
8
Improved pK Prediction of Substituted Alcohols, Phenols, and Hydroperoxides in Aqueous Medium Using Density Functional Theory and a Cluster-Continuum Solvation Model.使用密度泛函理论和簇-连续介质溶剂化模型改进在水介质中取代醇、酚和氢过氧化物的pK预测
J Phys Chem A. 2017 Jun 22;121(24):4698-4706. doi: 10.1021/acs.jpca.7b03907. Epub 2017 Jun 8.
9
Theoretical Studies of the Electronic Absorption Spectra of Thiamin Diphosphate in Pyruvate Decarboxylase.丙酮酸脱羧酶中硫胺素二磷酸电子吸收光谱的理论研究
Biochemistry. 2017 Apr 4;56(13):1854-1864. doi: 10.1021/acs.biochem.6b00984. Epub 2017 Mar 22.
10
Insights into the Thiamine Diphosphate Enzyme Activation Mechanism: Computational Model for Transketolase Using a Quantum Mechanical/Molecular Mechanical Method.对硫胺二磷酸酶激活机制的见解:使用量子力学/分子力学方法的转酮醇酶计算模型。
Biochemistry. 2016 Apr 12;55(14):2144-52. doi: 10.1021/acs.biochem.5b00787. Epub 2016 Mar 31.