Suppr超能文献

一个文明兴衰的简单模型。

A Simple Model of the Rise and Fall of Civilizations.

作者信息

Nyman Rickard, Ormerod Paul, Bentley R Alexander

机构信息

Centre for Decision Making Uncertainty, University College London, London WC1H 0PY, UK.

Department of Computer Science, University College London, London WC1 0PY, UK.

出版信息

Entropy (Basel). 2023 Sep 5;25(9):1298. doi: 10.3390/e25091298.

Abstract

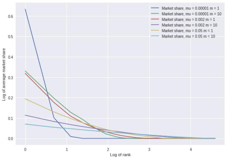
The literature on the fall of civilizations spans from the archaeology of early state societies to the history of the 20th century. Explanations for the fall of civilizations abound, from general extrinsic causes (drought, warfare) to general intrinsic causes (intergroup competition, socioeconomic inequality, collapse of trade networks) and combinations of these, to case-specific explanations for the specific demise of early state societies. Here, we focus on ancient civilizations, which archaeologists typically define by a set of characteristics including hierarchical organization, standardization of specialized knowledge, occupation and technologies, and hierarchical exchange networks and settlements. We take a general approach, with a model suggesting that state societies arise and dissolve through the same processes of innovation. Drawing on the field of cumulative cultural evolution, we demonstrate a model that replicates the essence of a civilization's rise and fall, in which agents at various scales-individuals, households, specialist communities, polities-copy each other in an unbiased manner but with varying degrees of institutional memory, invention rate, and propensity to copy locally versus globally. The results, which produce an increasingly extreme hierarchy of success among agents, suggest that civilizations become increasingly vulnerable to even small increases in propensity to copy locally.

摘要

关于文明衰落的文献涵盖了从早期国家社会的考古学到20世纪的历史。对文明衰落的解释比比皆是,从一般的外部原因(干旱、战争)到一般的内部原因(群体间竞争、社会经济不平等、贸易网络崩溃)以及这些因素的组合,再到针对早期国家社会具体灭亡的特定情况解释。在这里,我们关注古代文明,考古学家通常根据一系列特征来定义古代文明,这些特征包括等级组织、专业知识的标准化、职业和技术,以及等级交换网络和定居点。我们采用一种通用方法,提出一个模型,表明国家社会通过相同的创新过程兴起和瓦解。借鉴累积文化进化领域的研究,我们展示了一个复制文明兴衰本质的模型,在这个模型中,不同规模的主体——个人、家庭、专业社区、政体——以无偏见的方式相互模仿,但具有不同程度的制度记忆、发明率以及在本地与全球范围内模仿的倾向。结果显示,主体之间成功的等级差异越来越大,这表明文明甚至对本地模仿倾向的微小增加都变得越来越脆弱。

https://cdn.ncbi.nlm.nih.gov/pmc/blobs/c596/10529410/5320f0f10406/entropy-25-01298-g001.jpg

文献检索

告别复杂PubMed语法,用中文像聊天一样搜索,搜遍4000万医学文献。AI智能推荐,让科研检索更轻松。

立即免费搜索

文件翻译

保留排版,准确专业,支持PDF/Word/PPT等文件格式,支持 12+语言互译。

免费翻译文档

深度研究

AI帮你快速写综述,25分钟生成高质量综述,智能提取关键信息,辅助科研写作。

立即免费体验