• 文献检索
  • 文档翻译
  • 深度研究
  • 学术资讯
  • Suppr Zotero 插件Zotero 插件
  • 邀请有礼
  • 套餐&价格
  • 历史记录
应用&插件
Suppr Zotero 插件Zotero 插件浏览器插件Mac 客户端Windows 客户端微信小程序
定价
高级版会员购买积分包购买API积分包
服务
文献检索文档翻译深度研究API 文档MCP 服务
关于我们
关于 Suppr公司介绍联系我们用户协议隐私条款
关注我们

Suppr 超能文献

核心技术专利:CN118964589B侵权必究
粤ICP备2023148730 号-1Suppr @ 2026

文献检索

告别复杂PubMed语法,用中文像聊天一样搜索,搜遍4000万医学文献。AI智能推荐,让科研检索更轻松。

立即免费搜索

文件翻译

保留排版,准确专业,支持PDF/Word/PPT等文件格式,支持 12+语言互译。

免费翻译文档

深度研究

AI帮你快速写综述,25分钟生成高质量综述,智能提取关键信息,辅助科研写作。

立即免费体验

增强型爬行动物皮肤脱落物作为基因组测序高质量 DNA 源的使用方法。

An Enhanced Method for the Use of Reptile Skin Sheds as a High-Quality DNA Source for Genome Sequencing.

机构信息

The State Key Laboratory of Protein and Plant Gene Research, School of Life Sciences, Peking University, Beijing 100871, China.

Peking-Tsinghua Center for Life Sciences, Academy for Advanced Interdisciplinary Studies, Peking University, Beijing 100871, China.

出版信息

Genes (Basel). 2023 Aug 25;14(9):1678. doi: 10.3390/genes14091678.

DOI:10.3390/genes14091678
PMID:37761818
原文链接:https://pmc.ncbi.nlm.nih.gov/articles/PMC10531129/
Abstract

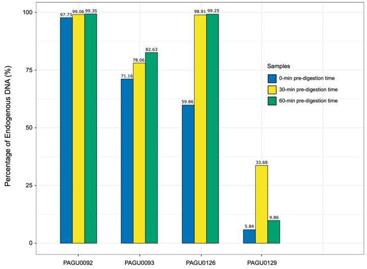
With the emergence of high-throughput sequencing technology, a number of non-avian reptile species have been sequenced at the genome scale, shedding light on various scientific inquiries related to reptile ecology and evolution. However, the routine requirement of tissue or blood samples for genome sequencing often poses challenges in many elusive reptiles, hence limiting the application of high-throughput sequencing technologies to reptile studies. An alternative reptilian DNA resource suitable for genome sequencing is in urgent need. Here, we used the corn snake () as a reptile model species to demonstrate that the shed skin is a high-quality DNA source for genome sequencing. Skin sheds provide a noninvasive type of sample that can be easily collected without restraining or harming the animal. Our findings suggest that shed skin from corn snakes yields DNA of sufficient quantity and quality that are comparable to tissue DNA extracts. Genome sequencing data analysis revealed that shed skin DNA is subject to bacteria contamination at variable levels, which is a major issue related to shed skin DNA and may be addressed by a modified DNA extraction method through introduction of a 30 min pre-digestion step. This study provides an enhanced method for the use of reptile shed skins as a high-quality DNA source for whole genome sequencing. Utilizing shed skin DNA enables researchers to overcome the limitations generally associated with obtaining traditional tissue or blood samples and promises to facilitate the application of genome sequencing in reptilian research.

摘要

随着高通量测序技术的出现,许多非鸟类爬行动物已经在基因组范围内进行了测序,这为与爬行动物生态学和进化相关的各种科学研究提供了线索。然而,对基因组测序来说,组织或血液样本的常规要求在许多难以捉摸的爬行动物中带来了挑战,因此限制了高通量测序技术在爬行动物研究中的应用。迫切需要一种适合基因组测序的替代爬行动物 DNA 资源。在这里,我们使用玉米蛇()作为爬行动物模型物种,证明了脱落的皮肤是一种用于基因组测序的高质量 DNA 来源。皮肤脱落提供了一种非侵入性的样本类型,可以在不限制或伤害动物的情况下轻松收集。我们的研究结果表明,玉米蛇的蜕皮产生的 DNA 数量和质量都足够,与组织 DNA 提取物相当。基因组测序数据分析表明,脱落的皮肤 DNA 受到不同程度的细菌污染,这是与脱落的皮肤 DNA 相关的一个主要问题,可以通过引入 30 分钟的预消化步骤来改进 DNA 提取方法来解决。这项研究提供了一种增强的方法,可将爬行动物的脱落皮肤用作全基因组测序的高质量 DNA 来源。利用脱落的皮肤 DNA 可以使研究人员克服通常与获得传统组织或血液样本相关的限制,并有望促进基因组测序在爬行动物研究中的应用。

https://cdn.ncbi.nlm.nih.gov/pmc/blobs/48a6/10531129/422c200c474c/genes-14-01678-g002.jpg
https://cdn.ncbi.nlm.nih.gov/pmc/blobs/48a6/10531129/11b619ee7dcf/genes-14-01678-g001.jpg
https://cdn.ncbi.nlm.nih.gov/pmc/blobs/48a6/10531129/422c200c474c/genes-14-01678-g002.jpg
https://cdn.ncbi.nlm.nih.gov/pmc/blobs/48a6/10531129/11b619ee7dcf/genes-14-01678-g001.jpg
https://cdn.ncbi.nlm.nih.gov/pmc/blobs/48a6/10531129/422c200c474c/genes-14-01678-g002.jpg

相似文献

1
An Enhanced Method for the Use of Reptile Skin Sheds as a High-Quality DNA Source for Genome Sequencing.增强型爬行动物皮肤脱落物作为基因组测序高质量 DNA 源的使用方法。
Genes (Basel). 2023 Aug 25;14(9):1678. doi: 10.3390/genes14091678.
2
A Step-by-Step Guide to Assemble a Reptilian Genome.组装爬行动物基因组的分步指南。
Methods Mol Biol. 2017;1650:47-67. doi: 10.1007/978-1-4939-7216-6_3.
3
The genome sequence of the corn snake (Pantherophis guttatus), a valuable resource for EvoDevo studies in squamates.玉米锦蛇(Pantherophis guttatus)的基因组序列,这是有鳞目动物进化发育生物学研究的宝贵资源。
Int J Dev Biol. 2014;58(10-12):881-8. doi: 10.1387/ijdb.150060at.
4
Reptilian Transcriptomes v2.0: An Extensive Resource for Sauropsida Genomics and Transcriptomics.爬行动物转录组v2.0:蜥形纲基因组学和转录组学的丰富资源。
Genome Biol Evol. 2015 Jul 1;7(6):1827-41. doi: 10.1093/gbe/evv106.
5
Reptile genomes open the frontier for comparative analysis of amniote development and regeneration.爬行动物基因组为羊膜动物发育和再生的比较分析开辟了前沿领域。
Int J Dev Biol. 2014;58(10-12):863-71. doi: 10.1387/ijdb.140316kk.
6
Understanding the Evolution of Reptile Chromosomes through Applications of Combined Cytogenetics and Genomics Approaches.通过联合细胞遗传学和基因组学方法的应用来理解爬行动物染色体的进化
Cytogenet Genome Res. 2019;157(1-2):7-20. doi: 10.1159/000495974. Epub 2019 Jan 16.
7
A Case of Food-Borne Salmonellosis in a Corn Snake () after a Feeder Mouse Meal.一例玉米蛇在食用了一只作为饲料的小鼠后发生食源性沙门氏菌病的病例。
Animals (Basel). 2024 Jun 7;14(12):1722. doi: 10.3390/ani14121722.
8
Body condition scoring (BCS) in corn snakes (Pantherophis guttatus) and comparison to pre-existing body condition index (BCI) for snakes.玉米蛇( Pantherophis guttatus )的身体状况评分(BCS)与现有蛇类身体状况指数(BCI)的比较。
J Anim Physiol Anim Nutr (Berl). 2021 Nov;105 Suppl 2:24-28. doi: 10.1111/jpn.13291. Epub 2020 Feb 13.
9
Novel Insights into Chromosome Evolution in Birds, Archosaurs, and Reptiles.对鸟类、主龙类和爬行动物染色体进化的新见解。
Genome Biol Evol. 2016 Aug 25;8(8):2442-51. doi: 10.1093/gbe/evw166.
10
First large-scale DNA barcoding assessment of reptiles in the biodiversity hotspot of Madagascar, based on newly designed COI primers.基于新设计的 COI 引物,对马达加斯加生物多样性热点地区的爬行动物进行首次大规模 DNA 条形码评估。
PLoS One. 2012;7(3):e34506. doi: 10.1371/journal.pone.0034506. Epub 2012 Mar 30.

本文引用的文献

1
Large-scale snake genome analyses provide insights into vertebrate development.大规模蛇类基因组分析为脊椎动物发育提供了见解。
Cell. 2023 Jul 6;186(14):2959-2976.e22. doi: 10.1016/j.cell.2023.05.030. Epub 2023 Jun 19.
2
A review of applications of environmental DNA for reptile conservation and management.环境DNA在爬行动物保护与管理中的应用综述。
Ecol Evol. 2022 Jun 5;12(6):e8995. doi: 10.1002/ece3.8995. eCollection 2022 Jul.
3
Genome mapping of a mutation in corn snakes indicates that vertebrate chromatophore vesicles are lysosome-related organelles.
玉米蛇中一个突变的基因组图谱表明脊椎动物色素体囊泡是溶酶体相关细胞器。
Proc Natl Acad Sci U S A. 2020 Oct 20;117(42):26307-26317. doi: 10.1073/pnas.2003724117. Epub 2020 Oct 5.
4
Terminating contamination: large-scale search identifies more than 2,000,000 contaminated entries in GenBank.终止污染:大规模搜索在 GenBank 中发现超过 200 万条污染条目。
Genome Biol. 2020 May 12;21(1):115. doi: 10.1186/s13059-020-02023-1.
5
Understanding the Evolution of Reptile Chromosomes through Applications of Combined Cytogenetics and Genomics Approaches.通过联合细胞遗传学和基因组学方法的应用来理解爬行动物染色体的进化
Cytogenet Genome Res. 2019;157(1-2):7-20. doi: 10.1159/000495974. Epub 2019 Jan 16.
6
GenBank.GenBank。
Nucleic Acids Res. 2019 Jan 8;47(D1):D94-D99. doi: 10.1093/nar/gky989.
7
Ultrastructural contributions to an understanding of the cellular mechanisms involved in lizard skin shedding with comments on the function and evolution of a unique Lepidosaurian phenomenon.超微结构研究对理解蜥蜴皮肤蜕皮所涉及的细胞机制的贡献,并对一种独特的鳞龙类现象的功能和进化进行评论。
J Morphol. 1998 Apr;236(1):1-24. doi: 10.1002/(SICI)1097-4687(199804)236:1<1::AID-JMOR1>3.0.CO;2-B.
8
SeqKit: A Cross-Platform and Ultrafast Toolkit for FASTA/Q File Manipulation.SeqKit:一个用于FASTA/Q文件操作的跨平台超快速工具包。
PLoS One. 2016 Oct 5;11(10):e0163962. doi: 10.1371/journal.pone.0163962. eCollection 2016.
9
Amelanism in the corn snake is associated with the insertion of an LTR-retrotransposon in the OCA2 gene.玉米蛇的无黑色素症与OCA2基因中一个LTR逆转录转座子的插入有关。
Sci Rep. 2015 Nov 24;5:17118. doi: 10.1038/srep17118.
10
The genome sequence of the corn snake (Pantherophis guttatus), a valuable resource for EvoDevo studies in squamates.玉米锦蛇(Pantherophis guttatus)的基因组序列,这是有鳞目动物进化发育生物学研究的宝贵资源。
Int J Dev Biol. 2014;58(10-12):881-8. doi: 10.1387/ijdb.150060at.