Suppr超能文献

使用血浆生物标志物的早期阿尔茨海默病筛查方法

Early Alzheimer's Disease Screening Approach Using Plasma Biomarkers.

作者信息

Álvarez-Sánchez Lourdes, Peña-Bautista Carmen, Ferré-González Laura, Cubas Laura, Balaguer Angel, Casanova-Estruch Bonaventura, Baquero Miguel, Cháfer-Pericás Consuelo

机构信息

Alzheimer Disease Research Group, Health Research Institute La Fe, 46026 Valencia, Spain.

Division of Neuroinmunology, University and Polytechnic Hospital La Fe, 46026 Valencia, Spain.

出版信息

Int J Mol Sci. 2023 Sep 15;24(18):14151. doi: 10.3390/ijms241814151.

Abstract

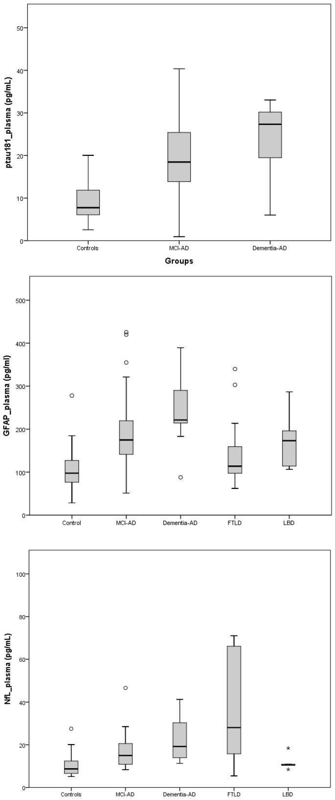
Alzheimer's disease (AD) is the most prevalent dementia, but it shows similar initial symptoms to other neurocognitive diseases (Lewy body disease (LBD) and frontotemporal dementia (FTD)). Thus, the identification of reliable AD plasma biomarkers is required. The aim of this work is to evaluate the use of a few plasma biomarkers to develop an early and specific AD screening method. Plasma p-Tau181, neurofilament light (NfL), and glial fibrillary acid protein (GFAP) were determined by Single Molecule Assay (SIMOA Quanterix, Billerica, MA, USA) in patients with mild cognitive impairment due to AD (MCI-AD, = 50), AD dementia ( = 10), FTD ( = 20), LBD ( = 5), and subjective cognitive impairment (SCI ( = 21)). Plasma p-Tau181 and GFAP showed the highest levels in AD dementia, and significant correlations with clinical AD characteristics; meanwhile, NfL showed the highest levels in FTD, but no significant correlations with AD. The partial least squares (PLS) diagnosis model developed between the AD and SCI groups showed good accuracy with a receiver operating characteristic (ROC) area under curve (AUC) of 0.935 (CI 95% 0.87-0.98), sensitivity of 86%, and specificity of 88%. In a first screen, NfL plasma levels could identify FTD patients among subjects with cognitive impairment. Then, the developed PLS model including p-Tau181 and GFAP levels could identify AD patients, constituting a simple, early, and specific diagnosis approach.

摘要

阿尔茨海默病(AD)是最常见的痴呆症,但它表现出与其他神经认知疾病(路易体病(LBD)和额颞叶痴呆(FTD))相似的初始症状。因此,需要鉴定可靠的AD血浆生物标志物。这项工作的目的是评估几种血浆生物标志物用于开发一种早期且特异的AD筛查方法的效用。通过单分子分析(SIMOA Quanterix,美国马萨诸塞州比勒里卡)测定了因AD导致轻度认知障碍的患者(MCI-AD,n = 50)、AD痴呆患者(n = 10)、FTD患者(n = 20)、LBD患者(n = 5)以及主观认知障碍患者(SCI,n = 21)的血浆磷酸化tau蛋白181(p-Tau181)、神经丝轻链(NfL)和胶质纤维酸性蛋白(GFAP)。血浆p-Tau181和GFAP在AD痴呆患者中水平最高,且与AD临床特征显著相关;同时,NfL在FTD患者中水平最高,但与AD无显著相关性。在AD组和SCI组之间建立的偏最小二乘(PLS)诊断模型显示出良好的准确性,曲线下面积(AUC)为0.935(95%置信区间0.87 - 0.98),灵敏度为86%,特异性为88%。在首次筛查中,NfL血浆水平可在认知障碍受试者中识别出FTD患者。然后,所建立的包含p-Tau181和GFAP水平的PLS模型可识别AD患者,构成一种简单、早期且特异的诊断方法。

https://cdn.ncbi.nlm.nih.gov/pmc/blobs/10c1/10532221/a8ac559ed132/ijms-24-14151-g001.jpg

文献AI研究员

20分钟写一篇综述,助力文献阅读效率提升50倍。

立即体验

用中文搜PubMed

大模型驱动的PubMed中文搜索引擎

马上搜索

文档翻译

学术文献翻译模型,支持多种主流文档格式。

立即体验