• 文献检索
  • 文档翻译
  • 深度研究
  • 学术资讯
  • Suppr Zotero 插件Zotero 插件
  • 邀请有礼
  • 套餐&价格
  • 历史记录
应用&插件
Suppr Zotero 插件Zotero 插件浏览器插件Mac 客户端Windows 客户端微信小程序
定价
高级版会员购买积分包购买API积分包
服务
文献检索文档翻译深度研究API 文档MCP 服务
关于我们
关于 Suppr公司介绍联系我们用户协议隐私条款
关注我们

Suppr 超能文献

核心技术专利:CN118964589B侵权必究
粤ICP备2023148730 号-1Suppr @ 2026

文献检索

告别复杂PubMed语法,用中文像聊天一样搜索,搜遍4000万医学文献。AI智能推荐,让科研检索更轻松。

立即免费搜索

文件翻译

保留排版,准确专业,支持PDF/Word/PPT等文件格式,支持 12+语言互译。

免费翻译文档

深度研究

AI帮你快速写综述,25分钟生成高质量综述,智能提取关键信息,辅助科研写作。

立即免费体验

基于全基因组和16S rRNA测序对XLK401对雏鸡健康影响的分析。

Genome-Wide and 16S rRNA Sequencing-Based Analysis on the Health Effects of XLK401 on Chicks.

作者信息

Kang Xin, Li Xin-Dong, Zhou Huan-Yu, Wang Feng, Lin Lian-Bing

机构信息

Faculty of Life Science and Technology, Kunming University of Science and Technology, Kunming 650500, China.

Engineering Research Center for Replacement Technology, Feed Antibiotics of Yunnan College, Kunming 650500, China.

出版信息

Microorganisms. 2023 Aug 23;11(9):2140. doi: 10.3390/microorganisms11092140.

DOI:10.3390/microorganisms11092140
PMID:37763985
原文链接:https://pmc.ncbi.nlm.nih.gov/articles/PMC10538037/
Abstract

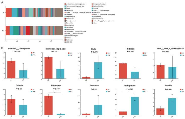
, serves as a growth promoter used in the poultry industry, contributeing to broiler development. However, practical studies are needed to determine the probiotic potential and growth-promoting effects of specific strains. This study aims to determine whether XLK401 influences broiler chicken growth and the mechanisms involved. Notably, we identified several bile salt and acid tolerance-related genes (, , , , and ) in XLK401. This bacterium demonstrates robust probiotic properties under acidic conditions (pH 2.0) and 0.3% bile salt conditions. It also contains a variety of antioxidant-related genes (, , and ), carbohydrate-related genes, gene-encoding glycosidases (e.g., and ), and three clusters of genes associated with antimicrobial compounds. Supplementation with XLK401 significantly increased the body weight of the chicks. In addition, it significantly increased hepatic antioxidant enzyme activities (GSH-Px, SOD, and T-AOC) while significantly decreasing the levels of oxidative damage factors and inflammatory factors (MDA and IL-6), resulting in improved chick health. Improvements in body weight and health status were associated with significant increases in α-amylase activity and the remodeling of the host gut microbiota by XLK401. Among them, actinobacteria abundance in chicken intestines after feeding them XLK401 was significantly decreased, abundance was also significantly decreased, and sp. abundance was significantly increased. This suggests that XLK401 can regulate the abundance of certain bacteria without changing the overall microbial structure. In addition, in the correlation analysis, sp. were positively correlated with SOD and negatively correlated with IL-1β and MDA. Overall, our study demonstrates that XLK401 effectively promotes healthy chick growth. This is made possible by the modulation of gut microbe abundance and the underlying probiotic effect of XLK401. Based on these findings, we postulate XLK401 as a potential efficient growth promoter in broiler farming.

摘要

作为家禽业中使用的生长促进剂,有助于肉鸡发育。然而,需要进行实际研究以确定特定菌株的益生菌潜力和生长促进作用。本研究旨在确定XLK401是否影响肉鸡生长及其涉及的机制。值得注意的是,我们在XLK401中鉴定了几个与胆汁盐和酸耐受性相关的基因(、、、和)。这种细菌在酸性条件(pH 2.0)和0.3%胆汁盐条件下表现出强大的益生菌特性。它还包含多种与抗氧化相关的基因(、和)、与碳水化合物相关的基因、编码糖苷酶的基因(例如和)以及与抗菌化合物相关的三个基因簇。补充XLK401显著增加了雏鸡的体重。此外,它显著提高了肝脏抗氧化酶活性(GSH-Px、SOD和T-AOC),同时显著降低了氧化损伤因子和炎症因子(MDA和IL-6)的水平,从而改善了雏鸡健康。体重和健康状况的改善与α-淀粉酶活性的显著增加以及XLK401对宿主肠道微生物群的重塑有关。其中,给鸡喂食XLK401后,鸡肠道中放线菌的丰度显著降低,的丰度也显著降低,而sp.的丰度显著增加。这表明XLK401可以调节某些细菌的丰度而不改变整体微生物结构。此外,在相关性分析中,sp.与SOD呈正相关,与IL-1β和MDA呈负相关。总体而言,我们的研究表明XLK401有效地促进了雏鸡的健康生长。这是通过调节肠道微生物丰度和XLK401潜在的益生菌作用实现的。基于这些发现,我们推测XLK401是肉鸡养殖中一种潜在的高效生长促进剂。

https://cdn.ncbi.nlm.nih.gov/pmc/blobs/042c/10538037/499c59369bb5/microorganisms-11-02140-g007.jpg
https://cdn.ncbi.nlm.nih.gov/pmc/blobs/042c/10538037/c67f9201612a/microorganisms-11-02140-g001.jpg
https://cdn.ncbi.nlm.nih.gov/pmc/blobs/042c/10538037/b4bcc451bc35/microorganisms-11-02140-g002.jpg
https://cdn.ncbi.nlm.nih.gov/pmc/blobs/042c/10538037/6e3eec7d4e45/microorganisms-11-02140-g003.jpg
https://cdn.ncbi.nlm.nih.gov/pmc/blobs/042c/10538037/eec791028b33/microorganisms-11-02140-g004.jpg
https://cdn.ncbi.nlm.nih.gov/pmc/blobs/042c/10538037/fb8829ea6010/microorganisms-11-02140-g005.jpg
https://cdn.ncbi.nlm.nih.gov/pmc/blobs/042c/10538037/9e300a6c5099/microorganisms-11-02140-g006.jpg
https://cdn.ncbi.nlm.nih.gov/pmc/blobs/042c/10538037/499c59369bb5/microorganisms-11-02140-g007.jpg
https://cdn.ncbi.nlm.nih.gov/pmc/blobs/042c/10538037/c67f9201612a/microorganisms-11-02140-g001.jpg
https://cdn.ncbi.nlm.nih.gov/pmc/blobs/042c/10538037/b4bcc451bc35/microorganisms-11-02140-g002.jpg
https://cdn.ncbi.nlm.nih.gov/pmc/blobs/042c/10538037/6e3eec7d4e45/microorganisms-11-02140-g003.jpg
https://cdn.ncbi.nlm.nih.gov/pmc/blobs/042c/10538037/eec791028b33/microorganisms-11-02140-g004.jpg
https://cdn.ncbi.nlm.nih.gov/pmc/blobs/042c/10538037/fb8829ea6010/microorganisms-11-02140-g005.jpg
https://cdn.ncbi.nlm.nih.gov/pmc/blobs/042c/10538037/9e300a6c5099/microorganisms-11-02140-g006.jpg
https://cdn.ncbi.nlm.nih.gov/pmc/blobs/042c/10538037/499c59369bb5/microorganisms-11-02140-g007.jpg

相似文献

1
Genome-Wide and 16S rRNA Sequencing-Based Analysis on the Health Effects of XLK401 on Chicks.基于全基因组和16S rRNA测序对XLK401对雏鸡健康影响的分析。
Microorganisms. 2023 Aug 23;11(9):2140. doi: 10.3390/microorganisms11092140.
2
Lacticaseibacillus paracasei CCFM1222 Ameliorated the Intestinal Barrier and Regulated Gut Microbiota in Mice with Dextran Sulfate Sodium-Induced Colitis.副干酪乳杆菌CCFM1222改善硫酸葡聚糖钠诱导的结肠炎小鼠的肠道屏障并调节肠道微生物群。
Probiotics Antimicrob Proteins. 2025 Jun;17(3):1001-1013. doi: 10.1007/s12602-024-10236-0. Epub 2024 Feb 20.
3
Genomic Insight Into SP5, Reveals Genes and Gene Clusters of Probiotic Interest and Biotechnological Potential.对SP5的基因组洞察揭示了具有益生菌研究价值和生物技术潜力的基因及基因簇。
Front Microbiol. 2022 Jun 16;13:922689. doi: 10.3389/fmicb.2022.922689. eCollection 2022.
4
Gut microbial change after administration of AO356 is associated with anti-obesity in a mouse model.AO356 给药后肠道微生物的变化与小鼠模型中的抗肥胖有关。
Front Endocrinol (Lausanne). 2023 Aug 29;14:1224636. doi: 10.3389/fendo.2023.1224636. eCollection 2023.
5
Effects of Dietary Supplementation of AACE3 on Hepatic Antioxidant Capacity, Immune Factors and Gut Microbiology in Nandan Yao Chicks.日粮添加AACE3对南丹瑶鸡肝脏抗氧化能力、免疫因子和肠道微生物的影响
Antibiotics (Basel). 2023 Aug 23;12(9):1356. doi: 10.3390/antibiotics12091356.
6
Characterization of Probiotic Properties of L2 Isolated from a Traditional Fermented Food "Lben".从传统发酵食品“Lben”中分离出的L2益生菌特性的表征
Life (Basel). 2022 Dec 21;13(1):21. doi: 10.3390/life13010021.
7
Lacticaseibacillus paracasei AD22 Stress Response in Brined White Cheese Matrix: In Vitro Probiotic Profiles and Molecular Characterization.副干酪乳杆菌AD22在盐渍白奶酪基质中的应激反应:体外益生菌特性及分子特征
Probiotics Antimicrob Proteins. 2025 Jun;17(3):1725-1738. doi: 10.1007/s12602-024-10216-4. Epub 2024 Feb 29.
8
Lactobacillus paracasei DTA81, a cholesterol-lowering strain having immunomodulatory activity, reveals gut microbiota regulation capability in BALB/c mice receiving high-fat diet.具有免疫调节活性的降胆固醇菌株副干酪乳杆菌 DTA81 可调节高脂肪饮食喂养 BALB/c 小鼠的肠道微生物群。
J Appl Microbiol. 2021 Oct;131(4):1942-1957. doi: 10.1111/jam.15058. Epub 2021 May 6.
9
Potential Probiotic Properties of Exopolysaccharide-Producing EPS DA-BACS and Prebiotic Activity of Its Exopolysaccharide.产胞外多糖的EPS DA - BACS的潜在益生菌特性及其胞外多糖的益生元活性
Microorganisms. 2022 Dec 8;10(12):2431. doi: 10.3390/microorganisms10122431.
10
Isolation, Characterization, and Safety Evaluation of the Novel Probiotic Strain IDCC 3401 via Genomic and Phenotypic Approaches.通过基因组和表型方法对新型益生菌菌株IDCC 3401进行分离、鉴定及安全性评估
Microorganisms. 2023 Dec 31;12(1):85. doi: 10.3390/microorganisms12010085.

引用本文的文献

1
Potency of as an alternative to antibiotic growth promoter in broiler chicken challenged with avian pathogenic .作为抗生素生长促进剂替代品对感染禽致病性[病原体名称未给出]的肉鸡的效力。
Vet World. 2025 May;18(5):1180-1189. doi: 10.14202/vetworld.2025.1180-1189. Epub 2025 May 17.
2
Evaluating Good Husbandry Practices and Organic Fermented Additives for Coccidiosis Control in a Pilot Study Using Slow-Growing Broilers.在一项使用慢速生长肉鸡的试点研究中评估良好饲养管理措施和有机发酵添加剂对球虫病的控制效果
Animals (Basel). 2025 Jun 13;15(12):1752. doi: 10.3390/ani15121752.
3
Effect of LK01 on Growth Performance, Antioxidant Capacity, Immunity, Intestinal Health, and Serum Biochemical Indices in Broilers.

本文引用的文献

1
Complete genome analysis of derived from yaks and its probiotic characteristics.源自牦牛的[具体内容缺失]的全基因组分析及其益生菌特性。
Front Vet Sci. 2023 Jan 11;9:1099150. doi: 10.3389/fvets.2022.1099150. eCollection 2022.
2
Whole genome analysis of host-associated and the effects on hepatic antioxidant enzymes and gut microorganisms of .宿主相关的全基因组分析及其对肝脏抗氧化酶和肠道微生物的影响。 不过你提供的原文似乎不完整,句末的“of.”后面缺少关键内容。
Front Microbiol. 2022 Oct 27;13:1014970. doi: 10.3389/fmicb.2022.1014970. eCollection 2022.
3
Effects of Dietary Supplementation with Bacillus amyloliquefaciens US573 on Intestinal Morphology and Gut Microbiota of European Sea Bass.
LK01对肉鸡生长性能、抗氧化能力、免疫力、肠道健康及血清生化指标的影响
Animals (Basel). 2024 Dec 1;14(23):3474. doi: 10.3390/ani14233474.
4
Inoculation with alone or in combination with modifies gene expression, fermentation profile, and starch digestibility in high-moisture corn.单独接种或与 联合接种可改变高水分玉米中的基因表达、发酵特性和淀粉消化率。 (注:原文中“alone or in combination with ”和“modifies gene expression, fermentation profile, and starch digestibility”部分有缺失信息,以上是根据现有内容尽量完整翻译的结果。)
Front Microbiol. 2023 Oct 12;14:1253588. doi: 10.3389/fmicb.2023.1253588. eCollection 2023.
日粮添加解淀粉芽孢杆菌US573对欧洲海鲈肠道形态和肠道微生物群的影响
Probiotics Antimicrob Proteins. 2023 Feb;15(1):30-43. doi: 10.1007/s12602-022-09974-w. Epub 2022 Aug 6.
4
Evaluation of the Efficacy of Enterococcus faecium L3 as a Feed Probiotic Additive in Chicken.粪肠球菌L3作为鸡饲料益生菌添加剂的功效评估
Probiotics Antimicrob Proteins. 2023 Oct;15(5):1169-1179. doi: 10.1007/s12602-022-09970-0. Epub 2022 Jul 29.
5
Comparative genomics-based probiotic relevance of Limosilactobacillus fermentum KUB-D18.基于比较基因组学的发酵乳杆菌KUB-D18的益生菌相关性
Gene. 2022 Oct 5;840:146747. doi: 10.1016/j.gene.2022.146747. Epub 2022 Jul 18.
6
CCFM8724 Reduces the Amounts of Oral Pathogens and Alters the Oral Microbiota in Children With Dental Caries: a Randomized, Double-Blind, Placebo-Controlled Trial.CCFM8724可减少龋齿儿童口腔病原菌数量并改变其口腔微生物群:一项随机、双盲、安慰剂对照试验
J Am Nutr Assoc. 2023 May-Jun;42(4):361-370. doi: 10.1080/07315724.2022.2043200. Epub 2022 Mar 21.
7
Transcriptome analysis reveals the potential roles of long non-coding RNAs in feed efficiency of chicken.转录组分析揭示了长非编码 RNA 在鸡饲料效率中的潜在作用。
Sci Rep. 2022 Feb 15;12(1):2558. doi: 10.1038/s41598-022-06528-6.
8
Multiomics Study Reveals and Are Beneficial to Necrotizing Enterocolitis.多组学研究表明[具体内容缺失]对坏死性小肠结肠炎有益。
Front Microbiol. 2021 Nov 18;12:752102. doi: 10.3389/fmicb.2021.752102. eCollection 2021.
9
Health-Promoting Properties of A Focus on Kefir Isolates and Exopolysaccharide-Producing Strains.以开菲尔分离物和产胞外多糖菌株为重点的健康促进特性。
Foods. 2021 Sep 22;10(10):2239. doi: 10.3390/foods10102239.
10
Complete genome sequencing of Peyer's patches-derived Lactobacillus taiwanensis CLG01, a potential probiotic with antibacterial and immunomodulatory activity.派尔集合淋巴结来源的具有潜在益生作用的乳酸杆菌 CLG01 的全基因组测序,其具有抗菌和免疫调节活性。
BMC Microbiol. 2021 Feb 27;21(1):68. doi: 10.1186/s12866-021-02127-z.