• 文献检索
  • 文档翻译
  • 深度研究
  • 学术资讯
  • Suppr Zotero 插件Zotero 插件
  • 邀请有礼
  • 套餐&价格
  • 历史记录
应用&插件
Suppr Zotero 插件Zotero 插件浏览器插件Mac 客户端Windows 客户端微信小程序
定价
高级版会员购买积分包购买API积分包
服务
文献检索文档翻译深度研究API 文档MCP 服务
关于我们
关于 Suppr公司介绍联系我们用户协议隐私条款
关注我们

Suppr 超能文献

核心技术专利:CN118964589B侵权必究
粤ICP备2023148730 号-1Suppr @ 2026

文献检索

告别复杂PubMed语法,用中文像聊天一样搜索,搜遍4000万医学文献。AI智能推荐,让科研检索更轻松。

立即免费搜索

文件翻译

保留排版,准确专业,支持PDF/Word/PPT等文件格式,支持 12+语言互译。

免费翻译文档

深度研究

AI帮你快速写综述,25分钟生成高质量综述,智能提取关键信息,辅助科研写作。

立即免费体验

产胞外多糖的EPS DA - BACS的潜在益生菌特性及其胞外多糖的益生元活性

Potential Probiotic Properties of Exopolysaccharide-Producing EPS DA-BACS and Prebiotic Activity of Its Exopolysaccharide.

作者信息

Lee Min-Gyu, Joeng Huijin, Shin Jaein, Kim Suin, Lee Chaeeun, Song Youngbo, Lee Byung-Hoo, Park Hyoung-Geun, Lee Tae-Ho, Jiang Hai-Hua, Han Young-Sun, Lee Bong-Gyeong, Lee Ho-Jin, Park Min-Ju, Jun Yun-Ju, Park Young-Seo

机构信息

Department of Food Science and Biotechnology, Gachon University, Seongnam 13120, Republic of Korea.

Research Laboratory, Dong-A Pharmaceutical Co., Ltd., Yongin 17073, Republic of Korea.

出版信息

Microorganisms. 2022 Dec 8;10(12):2431. doi: 10.3390/microorganisms10122431.

DOI:10.3390/microorganisms10122431
PMID:36557684
原文链接:https://pmc.ncbi.nlm.nih.gov/articles/PMC9787920/
Abstract

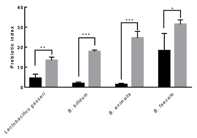
Exopolysaccharide (EPS)-producing EPS DA-BACS was isolated from healthy human feces and its probiotic properties, as well as the structure and prebiotic activity of the EPS from this strain were examined. EPS from EPS DA-BACS had a ropy phenotype, which is known to have potential health benefits and is identified as loosely cell-bounded glucomannan-type EPS with a molecular size of 3.7 × 10 Da. EPS promoted the acid tolerance of EPS DA-BACS and provided cells with tolerance to gastrointestinal stress. The purified EPS showed growth inhibitory activity against EPS DA-BACS cells completely inhibited the growth of , , and , as well as showed high growth inhibitory activity against and . Treatment of lipopolysaccharide-stimulated RAW 264.7 cells with heat-killed EPS DA-BACS cells led to a decrease in the production of nitric oxide, indicating the anti-inflammatory activity of EPS DA-BACS. Purified EPS promoted the growth of , and which showed high prebiotic activity. EPS DA-BACS harbors no antibiotic resistance genes or virulence factors. Therefore, EPS DA-BACS exhibits anti-inflammatory and antimicrobial activities with high gut adhesion ability and gastrointestinal tolerance and can be used as a potential probiotic.

摘要

从健康人粪便中分离出产胞外多糖(EPS)的EPS DA - BACS,并对其益生菌特性以及该菌株EPS的结构和益生元活性进行了研究。来自EPS DA - BACS的EPS具有粘稠表型,已知具有潜在的健康益处,被鉴定为分子大小为3.7×10 Da的松散细胞结合型葡甘露聚糖型EPS。EPS促进了EPS DA - BACS的耐酸性,并为细胞提供了对胃肠道应激的耐受性。纯化的EPS对EPS DA - BACS细胞表现出生长抑制活性,完全抑制了[具体菌株1]、[具体菌株2]和[具体菌株3]的生长,同时对[具体菌株4]和[具体菌株5]也表现出高生长抑制活性。用热灭活的EPS DA - BACS细胞处理脂多糖刺激的RAW 264.7细胞导致一氧化氮产生减少,表明EPS DA - BACS具有抗炎活性。纯化的EPS促进了[具体菌株6]、[具体菌株7]和[具体菌株8]的生长,显示出高益生元活性。EPS DA - BACS不携带抗生素抗性基因或毒力因子。因此,EPS DA - BACS具有抗炎和抗菌活性,具有高肠道粘附能力和胃肠道耐受性,可作为潜在的益生菌。

https://cdn.ncbi.nlm.nih.gov/pmc/blobs/5b96/9787920/e6a139a06fdb/microorganisms-10-02431-g011.jpg
https://cdn.ncbi.nlm.nih.gov/pmc/blobs/5b96/9787920/3a3205b3a0e6/microorganisms-10-02431-g001.jpg
https://cdn.ncbi.nlm.nih.gov/pmc/blobs/5b96/9787920/4c484ddc3cea/microorganisms-10-02431-g002.jpg
https://cdn.ncbi.nlm.nih.gov/pmc/blobs/5b96/9787920/ea9d4bee903b/microorganisms-10-02431-g003.jpg
https://cdn.ncbi.nlm.nih.gov/pmc/blobs/5b96/9787920/a8ae01e7bc22/microorganisms-10-02431-g004.jpg
https://cdn.ncbi.nlm.nih.gov/pmc/blobs/5b96/9787920/fd373de03536/microorganisms-10-02431-g005.jpg
https://cdn.ncbi.nlm.nih.gov/pmc/blobs/5b96/9787920/273081204603/microorganisms-10-02431-g006.jpg
https://cdn.ncbi.nlm.nih.gov/pmc/blobs/5b96/9787920/6078e65d6071/microorganisms-10-02431-g007.jpg
https://cdn.ncbi.nlm.nih.gov/pmc/blobs/5b96/9787920/c82e1d2fa82f/microorganisms-10-02431-g008.jpg
https://cdn.ncbi.nlm.nih.gov/pmc/blobs/5b96/9787920/55553c73b98c/microorganisms-10-02431-g009.jpg
https://cdn.ncbi.nlm.nih.gov/pmc/blobs/5b96/9787920/27fa610fd0dc/microorganisms-10-02431-g010.jpg
https://cdn.ncbi.nlm.nih.gov/pmc/blobs/5b96/9787920/e6a139a06fdb/microorganisms-10-02431-g011.jpg
https://cdn.ncbi.nlm.nih.gov/pmc/blobs/5b96/9787920/3a3205b3a0e6/microorganisms-10-02431-g001.jpg
https://cdn.ncbi.nlm.nih.gov/pmc/blobs/5b96/9787920/4c484ddc3cea/microorganisms-10-02431-g002.jpg
https://cdn.ncbi.nlm.nih.gov/pmc/blobs/5b96/9787920/ea9d4bee903b/microorganisms-10-02431-g003.jpg
https://cdn.ncbi.nlm.nih.gov/pmc/blobs/5b96/9787920/a8ae01e7bc22/microorganisms-10-02431-g004.jpg
https://cdn.ncbi.nlm.nih.gov/pmc/blobs/5b96/9787920/fd373de03536/microorganisms-10-02431-g005.jpg
https://cdn.ncbi.nlm.nih.gov/pmc/blobs/5b96/9787920/273081204603/microorganisms-10-02431-g006.jpg
https://cdn.ncbi.nlm.nih.gov/pmc/blobs/5b96/9787920/6078e65d6071/microorganisms-10-02431-g007.jpg
https://cdn.ncbi.nlm.nih.gov/pmc/blobs/5b96/9787920/c82e1d2fa82f/microorganisms-10-02431-g008.jpg
https://cdn.ncbi.nlm.nih.gov/pmc/blobs/5b96/9787920/55553c73b98c/microorganisms-10-02431-g009.jpg
https://cdn.ncbi.nlm.nih.gov/pmc/blobs/5b96/9787920/27fa610fd0dc/microorganisms-10-02431-g010.jpg
https://cdn.ncbi.nlm.nih.gov/pmc/blobs/5b96/9787920/e6a139a06fdb/microorganisms-10-02431-g011.jpg

相似文献

1
Potential Probiotic Properties of Exopolysaccharide-Producing EPS DA-BACS and Prebiotic Activity of Its Exopolysaccharide.产胞外多糖的EPS DA - BACS的潜在益生菌特性及其胞外多糖的益生元活性
Microorganisms. 2022 Dec 8;10(12):2431. doi: 10.3390/microorganisms10122431.
2
Structural analysis and prebiotic activity of exopolysaccharide produced by probiotic strain EPS DA-LAIM.益生菌菌株EPS DA-LAIM产生的胞外多糖的结构分析及益生元活性
Food Sci Biotechnol. 2022 Dec 1;32(4):517-529. doi: 10.1007/s10068-022-01213-w. eCollection 2023 Mar.
3
Isolation and characterization of exopolysaccharide derived from Lacticaseibacillus paracasei AS20(1) with probiotic potential and evaluation of its antibacterial activity.具有益生菌潜力的副干酪乳杆菌 AS20(1) 来源胞外多糖的分离与特性分析及其抗菌活性评价。
Lett Appl Microbiol. 2022 Oct;75(4):967-981. doi: 10.1111/lam.13771. Epub 2022 Jun 29.
4
A New Approach to Exopolysaccharides of Post Probiotic L1 Strain: Anti-quarum Sensing Activity.一种新型后生元 L1 菌株胞外多糖的研究方法:抗群体感应活性。
Balkan Med J. 2023 Sep 11;40(5):351-357. doi: 10.4274/balkanmedj.galenos.2023.2023-1-96. Epub 2023 Jun 6.
5
Impact of growth temperature on exopolysaccharide production and probiotic properties of Lactobacillus paracasei strains isolated from kefir grains.生长温度对从开菲尔粒中分离的副干酪乳杆菌菌株的胞外多糖生产和益生菌特性的影响。
Food Microbiol. 2018 Feb;69:212-218. doi: 10.1016/j.fm.2017.08.012. Epub 2017 Aug 19.
6
A Novel Rhamnose-Rich Hetero-exopolysaccharide Isolated from Lactobacillus paracasei DG Activates THP-1 Human Monocytic Cells.从副干酪乳杆菌DG中分离出的一种新型富含鼠李糖的杂合胞外多糖可激活THP-1人单核细胞。
Appl Environ Microbiol. 2017 Jan 17;83(3). doi: 10.1128/AEM.02702-16. Print 2017 Feb 1.
7
Probiotic, technological, and health-related characteristics of lactobacilli isolated from breast milk.从母乳中分离出的乳酸菌的益生菌、技术和与健康相关的特性。
J Appl Microbiol. 2023 Jun 1;134(6). doi: 10.1093/jambio/lxad122.
8
Exopolysaccharide-mediated silver nanoparticles synthesized from Lactobacillus paracasei with antimicrobial, antibiofilm and antioxidant activities.副干酪乳杆菌合成的胞外多糖介导的银纳米颗粒具有抗菌、抗生物膜和抗氧化活性。
Arch Microbiol. 2023 Apr 28;205(5):210. doi: 10.1007/s00203-023-03497-w.
9
Exopolysaccharide-producing strains isolated from kefir as starter for functional dairy products.从开菲尔中分离出的产胞外多糖菌株作为功能性乳制品的发酵剂。
Front Microbiol. 2023 Feb 24;14:1110177. doi: 10.3389/fmicb.2023.1110177. eCollection 2023.
10
Characterization of Probiotic Properties of L2 Isolated from a Traditional Fermented Food "Lben".从传统发酵食品“Lben”中分离出的L2益生菌特性的表征
Life (Basel). 2022 Dec 21;13(1):21. doi: 10.3390/life13010021.

引用本文的文献

1
Purification, Structural Characterization, and Immunomodulatory Activity of an Exopolysaccharide from BJ01 in Fermentation Grains.发酵谷物中BJ01产胞外多糖的纯化、结构表征及免疫调节活性
Foods. 2025 Jun 20;14(13):2162. doi: 10.3390/foods14132162.
2
Innovative Interventions: Postbiotics and Psychobiotics in Neurodegenerative Disease Treatment.创新干预措施:后生元和精神益生菌在神经退行性疾病治疗中的应用
Probiotics Antimicrob Proteins. 2025 Jun 27. doi: 10.1007/s12602-025-10632-0.
3
Probiotics and mediterranean diet for breast cancer management and prevention?

本文引用的文献

1
Structural analysis and prebiotic activity of exopolysaccharide produced by probiotic strain EPS DA-LAIM.益生菌菌株EPS DA-LAIM产生的胞外多糖的结构分析及益生元活性
Food Sci Biotechnol. 2022 Dec 1;32(4):517-529. doi: 10.1007/s10068-022-01213-w. eCollection 2023 Mar.
2
Comprehensive characterization of glucomannans from different sources to trigger moderate macrophages immune activation.全面表征不同来源的葡甘露聚糖以触发适度的巨噬细胞免疫激活。
Carbohydr Polym. 2022 Nov 15;296:119933. doi: 10.1016/j.carbpol.2022.119933. Epub 2022 Aug 2.
3
Biological Functions of Exopolysaccharides from Lactic Acid Bacteria and Their Potential Benefits for Humans and Farmed Animals.
益生菌与地中海饮食用于乳腺癌的管理和预防?
Cell Stress. 2025 May 8;9:1-15. doi: 10.15698/cst2025.05.303. eCollection 2025.
4
Deciphering probiotic potential: a comprehensive guide to probiogenomic analyses.解读益生菌潜力:益生菌基因组分析综合指南
Future Microbiol. 2025 May-Jun;20(7-9):611-622. doi: 10.1080/17460913.2025.2492472. Epub 2025 Apr 14.
5
Advances in Microbial Exopolysaccharides: Present and Future Applications.微生物胞外多糖的研究进展:现状与未来应用。
Biomolecules. 2024 Sep 16;14(9):1162. doi: 10.3390/biom14091162.
6
Functional characterization and biotechnological applications of exopolysaccharides produced by newly isolated Enterococcus hirae MLG3-25-1.新分离的平野肠球菌MLG3-25-1产生的胞外多糖的功能表征及生物技术应用
Int Microbiol. 2025 Apr;28(4):851-862. doi: 10.1007/s10123-024-00587-7. Epub 2024 Sep 2.
7
Acid tolerance responses and their mechanisms in LM1001.LM1001中的耐酸性反应及其机制。
Food Sci Biotechnol. 2024 Jun 4;33(9):2213-2222. doi: 10.1007/s10068-024-01582-4. eCollection 2024 Jul.
8
Probiotic and immunostimulating effects of live and heat-killed TAP041.活的和热灭活的TAP041的益生菌和免疫刺激作用
Food Sci Biotechnol. 2024 Feb 19;33(9):2189-2200. doi: 10.1007/s10068-024-01530-2. eCollection 2024 Jul.
9
Novel strategies for modulating the gut microbiome for cancer therapy.用于癌症治疗的调节肠道微生物组的新策略。
Adv Drug Deliv Rev. 2024 Jul;210:115332. doi: 10.1016/j.addr.2024.115332. Epub 2024 May 15.
10
Bacillus subtilis SOM8 isolated from sesame oil meal for potential probiotic application in inhibiting human enteropathogens.从芝麻油渣中分离出的枯草芽孢杆菌 SOM8 具有潜在的益生菌应用价值,可抑制人体肠道病原体。
BMC Microbiol. 2024 Mar 28;24(1):104. doi: 10.1186/s12866-024-03263-y.
乳酸菌胞外多糖的生物学功能及其对人类和养殖动物的潜在益处。
Foods. 2022 Apr 28;11(9):1284. doi: 10.3390/foods11091284.
4
Immunostimulatory Activity of Synbiotics Using SG-030 and Glucooligosaccharides from YRK005.使用SG - 030和来自YRK005的低聚葡萄糖的合生元的免疫刺激活性。
Microorganisms. 2021 Nov 25;9(12):2437. doi: 10.3390/microorganisms9122437.
5
Health-Promoting Properties of A Focus on Kefir Isolates and Exopolysaccharide-Producing Strains.以开菲尔分离物和产胞外多糖菌株为重点的健康促进特性。
Foods. 2021 Sep 22;10(10):2239. doi: 10.3390/foods10102239.
6
Exopolysaccharides as Antimicrobial Agents: Mechanism and Spectrum of Activity.作为抗菌剂的胞外多糖:作用机制与活性谱
Front Microbiol. 2021 May 19;12:664395. doi: 10.3389/fmicb.2021.664395. eCollection 2021.
7
Probiotic Properties of Lactobacillus Species Isolated from Fermented Palm Sap in Thailand.泰国棕榈 sap 发酵中分离出的乳杆菌属的益生菌特性。
Probiotics Antimicrob Proteins. 2021 Aug;13(4):957-969. doi: 10.1007/s12602-021-09754-y. Epub 2021 Feb 17.
8
Contributions of exopolysaccharides from lactic acid bacteria as biotechnological tools in food, pharmaceutical, and medical applications.乳酸菌胞外多糖作为生物技术工具在食品、制药和医疗应用中的贡献。
Int J Biol Macromol. 2021 Mar 15;173:79-89. doi: 10.1016/j.ijbiomac.2021.01.110. Epub 2021 Jan 19.
9
Production Optimization, Structural Analysis, and Prebiotic- and Anti-Inflammatory Effects of Gluco-Oligosaccharides Produced by SBC001.SBC001产生的低聚葡萄糖的生产优化、结构分析及其益生元和抗炎作用
Microorganisms. 2021 Jan 19;9(1):200. doi: 10.3390/microorganisms9010200.
10
Probiotic Properties of Lactobacilli and Their Ability to Inhibit the Adhesion of Enteropathogenic Bacteria to Caco-2 and HT-29 Cells.乳酸菌的益生菌特性及其抑制肠致病性细菌对 Caco-2 和 HT-29 细胞黏附的能力。
Probiotics Antimicrob Proteins. 2021 Feb;13(1):102-112. doi: 10.1007/s12602-020-09659-2.