Suppr超能文献

干投酒花对啤酒化学和感官特性的影响——综述

Effects of Dry-Hopping on Beer Chemistry and Sensory Properties-A Review.

作者信息

Klimczak Krystian, Cioch-Skoneczny Monika, Duda-Chodak Aleksandra

机构信息

Department of Fermentation Technology and Microbiology, Faculty of Food Technology, University of Agriculture in Krakow, Al. Mickiewicza 21, 31-120 Kraków, Poland.

出版信息

Molecules. 2023 Sep 15;28(18):6648. doi: 10.3390/molecules28186648.

Abstract

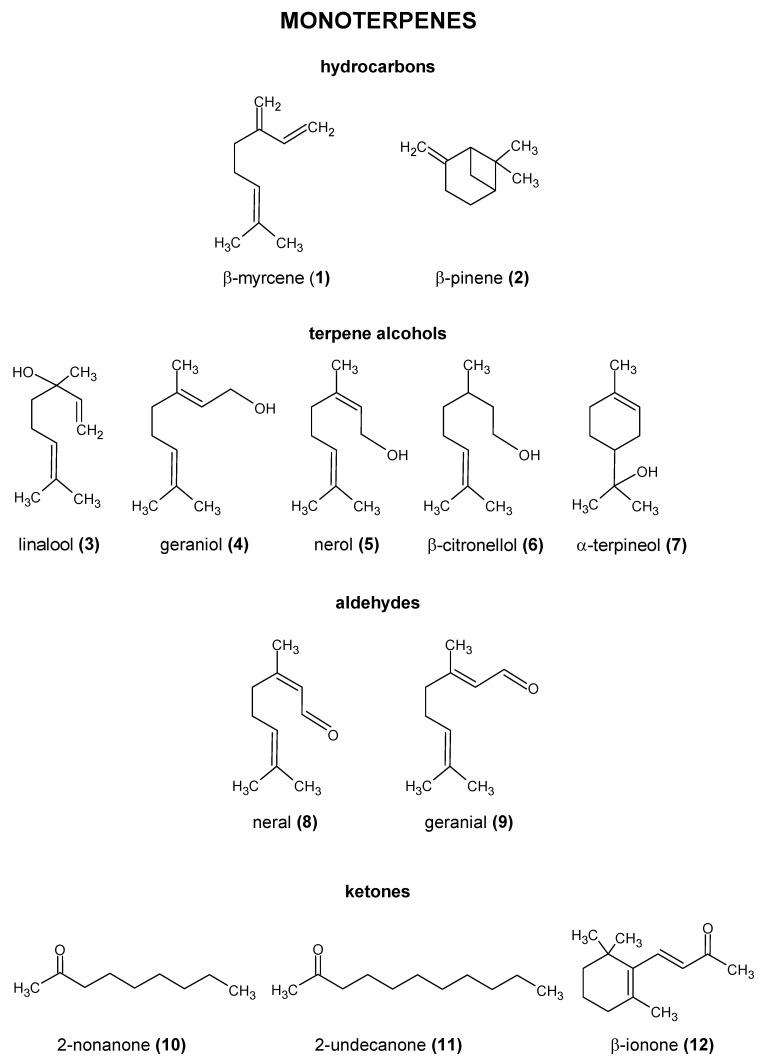
Dry-hopping is the addition of hops to the wort on the cold side of the brewing process. Unlike standard hop additions, its main purpose is not to produce a characteristic bitterness but to extract as much of the hop essential oils as possible, which are largely lost in the standard hopping process. When dry-hopped, it is possible to obtain a beer with an aroma that is difficult to achieve when hops are used on the hot side of the brewing process. As a result, this process has become very popular in recent years, particularly in beers that belong to the 'craft beer revolution' trend. In addition, the usefulness of this process is increasing with the development of new hop varieties with unique aromas. This article presents the main components of hops, focusing on those extracted during the process. Changes in the composition of beer bittering compounds and essential oils resulting from this process are discussed. This paper presents the current state of the knowledge on the factors affecting the degree of extraction, such as hop dosage, the time, and temperature of the process. Issues such as process-related physicochemical changes, hop creep, low flavor stability, haze formation, and green flavor are also discussed.

摘要

干投酒花是在酿造过程的冷端向麦芽汁中添加酒花。与标准的酒花添加不同,其主要目的不是产生特有的苦味,而是尽可能多地提取酒花精油,这些精油在标准的酒花添加过程中会大量损失。进行干投酒花时,有可能获得一种在酿造过程热端使用酒花时难以实现的香气的啤酒。因此,近年来这个过程变得非常流行,特别是在属于“精酿啤酒革命”趋势的啤酒中。此外,随着具有独特香气的新酒花品种的开发,这个过程的实用性也在增加。本文介绍了酒花的主要成分,重点关注在这个过程中提取的成分。讨论了这个过程导致的啤酒苦味化合物和精油成分的变化。本文介绍了关于影响提取程度的因素(如酒花用量、过程的时间和温度)的当前知识状态。还讨论了与过程相关的物理化学变化、酒花蠕变、风味稳定性低、浑浊形成和生青味等问题。

https://cdn.ncbi.nlm.nih.gov/pmc/blobs/971e/10534726/a64ffc3dabb2/molecules-28-06648-g001.jpg

文献AI研究员

20分钟写一篇综述,助力文献阅读效率提升50倍。

立即体验

用中文搜PubMed

大模型驱动的PubMed中文搜索引擎

马上搜索

文档翻译

学术文献翻译模型,支持多种主流文档格式。

立即体验