Suppr超能文献

AlGaAs/GaAs共振隧穿二极管异质结构沟道的双稳性

Bistability of AlGaAs/GaAs Resonant-Tunneling Diodes Heterostructural Channel.

作者信息

Vetrova Natalia, Kuimov Evgeny, Sinyakin Vladimir, Meshkov Sergey, Makeev Mstislav, Shashurin Vasiliy

机构信息

Research Institute of Radio Electronics and Laser Technology, Bauman Moscow State Technical University, 105005 Moscow, Russia.

出版信息

Sensors (Basel). 2023 Sep 19;23(18):7977. doi: 10.3390/s23187977.

Abstract

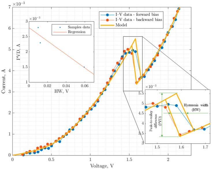
This paper presents an effective compact model of current transfer for the estimation of hysteresis parameters on the volt-ampere characteristics of resonant-tunneling diodes. In the framework of the compact model, the appearance of hysteresis is explained as a manifestation of internal bistability due to interelectronic interaction in the channel of the resonant-tunneling structure. Unlike the models based on the method of equivalent circuits, the interelectronic interaction in the compact model is taken into account using the concentration parameter. Model validation allowed us to confirm the high accuracy of the model not only at the initial section of the volt-ampere characteristics, but also at the hysteresis parameters traditionally predicted with low accuracy, namely the loop width (∆ < 0.5%) and contrast (∆ < 7%). Thus, it is concluded that the models are promising for integration into systems for synthesizing the electrical characteristics of resonant-tunneling diodes.

摘要

本文提出了一种有效的电流传输紧凑模型,用于估计共振隧穿二极管伏安特性上的滞后参数。在紧凑模型框架内,滞后现象的出现被解释为共振隧穿结构通道中电子间相互作用导致的内部双稳态的一种表现。与基于等效电路方法的模型不同,紧凑模型中的电子间相互作用是通过浓度参数来考虑的。模型验证使我们能够确认该模型不仅在伏安特性的初始部分具有高精度,而且在传统上预测精度较低的滞后参数方面也具有高精度,即回线宽度(∆ < 0.5%)和对比度(∆ < 7%)。因此,可以得出结论,这些模型有望集成到用于合成共振隧穿二极管电学特性的系统中。

https://cdn.ncbi.nlm.nih.gov/pmc/blobs/0509/10536889/e01dae6d6692/sensors-23-07977-g001.jpg

文献检索

告别复杂PubMed语法,用中文像聊天一样搜索,搜遍4000万医学文献。AI智能推荐,让科研检索更轻松。

立即免费搜索

文件翻译

保留排版,准确专业,支持PDF/Word/PPT等文件格式,支持 12+语言互译。

免费翻译文档

深度研究

AI帮你快速写综述,25分钟生成高质量综述,智能提取关键信息,辅助科研写作。

立即免费体验