Suppr超能文献

将家庭数字支持添加到基于课堂的体育活动干预中,以针对校内和校外活动:对COVID-19大流行期间“保持活跃”干预措施的评估。

Adding Family Digital Supports to Classroom-Based Physical Activity Interventions to Target In- and Out-of-School Activity: An Evaluation of the Stay Active Intervention during the COVID-19 Pandemic.

作者信息

Forseth Bethany, Ortega Adrian, Hibbing Paul R, Moon Mallory, Steel Chelsea, Singh A, Kollu Avinash, Miller Bryce, Miller Maurice, Staggs Vincent, Calvert Hannah, Davis Ann M, Carlson Jordan

机构信息

Center for Children's Healthy Lifestyles & Nutrition, Children's Mercy Kansas City, Kansas City, MO, USA.

Department of Pediatrics, University of Kansas Medical Center, USA.

出版信息

J Healthy Eat Act Living. 2021 Dec 1;1(4):226-240. eCollection 2021.

Abstract

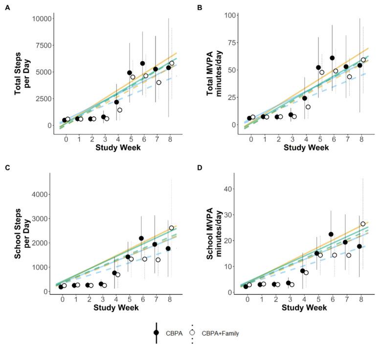
Remotely delivered interventions are promising for reaching large numbers of people, though few have targeted multiple levels of influence such as schools and families. This study evaluated two versions (arms) of a remotely delivered classroom-based physical activity (CBPA) intervention. One arm solely included remote CBPA; the other included remote CBPA and mobile health (mHealth) family supports. Six schools were randomized to CBPA or CBPA+Family. Both arms were remotely delivered for seven weeks. CBPA+Family added behavior change tools delivered via text messages and newsletters to caregiver/child dyads. Garmin devices measured moderate-to-vigorous activity (MVPA) in both arms and were used for goal setting/ monitoring in the CBPA+Family arm (integrated with the text messages). Caregivers completed surveys evaluating intervention acceptability. 53 participants (CBPA n=35; CBPA+Family n=18; 9.7±0.7 years) were included. Increases in MVPA were similar between arms, showing a pre-post effect of the CBPA but no additional effect of family supports. MVPA was low at baseline and during the first 3 weeks (CBPA 7.5±3.1 minutes/day; CBPA+Family 7.9±2.7 minutes/day) and increased by Weeks 6-8 (CBPA 56.8±34.2 minutes/day; CBPA+Family 49.2±18.7 minutes/day). Approximately 90% of caregivers reported high satisfaction with the added family support content. CBPA+Family participants wore the Garmin later into the study period. Remote delivery of CBPA appears feasible and effective for supporting increases in children's MVPA. Adding family supports to school-based interventions appears acceptable and may support engagement, demonstrating promise for more multilevel/multi-setting interventions, though the multilevel intervention was not more effective than the single-level intervention in increasing children's MVPA.

摘要

远程提供的干预措施有望惠及大量人群,不过很少有针对学校和家庭等多个影响层面的措施。本研究评估了远程提供的基于课堂的体育活动(CBPA)干预措施的两个版本(组)。一组仅包括远程CBPA;另一组包括远程CBPA和移动健康(mHealth)家庭支持。六所学校被随机分为CBPA组或CBPA+家庭组。两组均通过远程方式提供为期七周的干预。CBPA+家庭组向照料者/儿童二元组添加了通过短信和时事通讯提供的行为改变工具。佳明设备测量了两组的中度至剧烈活动(MVPA),并在CBPA+家庭组中用于目标设定/监测(与短信相结合)。照料者完成了评估干预措施可接受性的调查。纳入了53名参与者(CBPA组n=35;CBPA+家庭组n=18;年龄9.7±0.7岁)。两组的MVPA增加情况相似,显示出CBPA的前后效应,但家庭支持没有额外效果。MVPA在基线时和前3周较低(CBPA组7.5±3.1分钟/天;CBPA+家庭组7.9±2.7分钟/天),在第6 - 8周增加(CBPA组56.8±34.2分钟/天;CBPA+家庭组49.2±18.7分钟/天)。约90%的照料者报告对新增的家庭支持内容高度满意。CBPA+家庭组的参与者在研究期间佩戴佳明设备的时间更长。远程提供CBPA对于支持儿童MVPA的增加似乎是可行且有效的。在基于学校的干预措施中增加家庭支持似乎是可接受的,并且可能有助于参与度,这表明对于更多的多层次/多场景干预措施有前景,尽管在增加儿童MVPA方面,多层次干预并不比单层次干预更有效。

https://cdn.ncbi.nlm.nih.gov/pmc/blobs/9967/10522008/0a72ea24bf4a/jheal-1-4-226f1.jpg

文献AI研究员

20分钟写一篇综述,助力文献阅读效率提升50倍。

立即体验

用中文搜PubMed

大模型驱动的PubMed中文搜索引擎

马上搜索

文档翻译

学术文献翻译模型,支持多种主流文档格式。

立即体验