Suppr超能文献

2011 - 2018年美国国家健康与营养检查调查:瘦体重与内脏脂肪量比值与胰岛素抵抗之间的预期相关性

Anticipated correlation between lean body mass to visceral fat mass ratio and insulin resistance: NHANES 2011-2018.

作者信息

Shao Ya, Li Longti, Zhong Huiqin, Wang Xiaojun, Hua Yu, Zhou Xu

机构信息

Department of Health Management Center, TaiHe Hospital, Hubei University of Medicine, Shiyan, China.

Department of Nursing, TaiHe Hospital, Hubei University of Medicine, Shiyan, China.

出版信息

Front Endocrinol (Lausanne). 2023 Sep 13;14:1232896. doi: 10.3389/fendo.2023.1232896. eCollection 2023.

Abstract

OBJECTIVE

The relationship between body composition and insulin resistance (IR) is controversial. This study aimed to thoroughly examine the correlation between adipose tissue, lean body mass, and IR as evaluated by the Homeostatic Model Assessment (HOMA-IR).

METHODS

In this cross-sectional study, we utilized data from the National Health and Nutrition Examination Survey (NHANES) conducted between 2011 and 2018. Our study included 4981 subjects, and we employed multiple linear regression, smoothed curve fitting, threshold, and saturation effect analysis to investigate the relationship between lean body mass, visceral fat mass, and IR. Also, we used the lean body mass to visceral fat ratio (Log LM/VFM) as a proxy variable to analyze its association with IR alone.

RESULTS

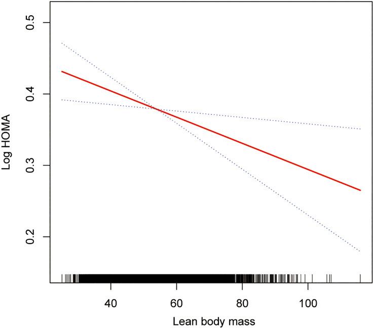
The study discovered a negative link between lean body mass and IR, but the visceral fat mass was positively correlated after correcting for covariates. A negative correlation was observed when the alternative variable Log LM/VFM was analyzed separately for its association with IR. This association was present regardless of whether the exposure variables were analyzed as continuous or categorical. The data analysis revealed a nonlinear relationship between Log LM/VFM and IR, as evidenced by the generalized additive model. In addition, a threshold effect with a critical value of 1.80 and a saturation effect with a critical point of 2.5 were also observed. Further subgroup analysis for sex, age, BMI, active levels, hypertension, and diabetes showed considerable robustness between the relationship of Log LM/VFM and IR.

CONCLUSION

Maintaining a proper ratio of lean body mass and visceral fat is beneficial for decreasing IR.

摘要

目的

身体成分与胰岛素抵抗(IR)之间的关系存在争议。本研究旨在全面探讨脂肪组织、去脂体重与通过稳态模型评估(HOMA-IR)评估的IR之间的相关性。

方法

在这项横断面研究中,我们利用了2011年至2018年期间进行的美国国家健康与营养检查调查(NHANES)的数据。我们的研究包括4981名受试者,我们采用多元线性回归、平滑曲线拟合、阈值和饱和效应分析来研究去脂体重、内脏脂肪量与IR之间的关系。此外,我们使用去脂体重与内脏脂肪比(Log LM/VFM)作为替代变量单独分析其与IR的关联。

结果

研究发现去脂体重与IR之间存在负相关,但在校正协变量后内脏脂肪量呈正相关。当单独分析替代变量Log LM/VFM与IR的关联时,观察到负相关。无论暴露变量是作为连续变量还是分类变量进行分析,这种关联都存在。数据分析显示Log LM/VFM与IR之间存在非线性关系,广义相加模型证明了这一点。此外,还观察到临界值为1.80的阈值效应和临界点为2.5的饱和效应。按性别、年龄、BMI、活动水平、高血压和糖尿病进行的进一步亚组分析显示,Log LM/VFM与IR之间的关系具有相当的稳健性。

结论

维持去脂体重与内脏脂肪的适当比例有利于降低IR。

https://cdn.ncbi.nlm.nih.gov/pmc/blobs/034b/10526824/d09b7d90c5e4/fendo-14-1232896-g001.jpg

相似文献

1
Anticipated correlation between lean body mass to visceral fat mass ratio and insulin resistance: NHANES 2011-2018.
Front Endocrinol (Lausanne). 2023 Sep 13;14:1232896. doi: 10.3389/fendo.2023.1232896. eCollection 2023.
3
Association of fat to lean mass ratio with metabolic dysfunction in women with polycystic ovary syndrome.
Hum Reprod. 2014 Jul;29(7):1508-17. doi: 10.1093/humrep/deu096. Epub 2014 May 9.
4
Relationship between DXA measured metrics of adiposity and glucose homeostasis; An analysis of the NHANES data.
PLoS One. 2019 May 22;14(5):e0216900. doi: 10.1371/journal.pone.0216900. eCollection 2019.
7
Serum Klotho and insulin resistance: Insights from a cross-sectional analysis.
Medicine (Baltimore). 2024 Apr 26;103(17):e37971. doi: 10.1097/MD.0000000000037971.
9
Correlation of body composition in early pregnancy on gestational diabetes mellitus under different body weights before pregnancy.
Front Endocrinol (Lausanne). 2022 Oct 28;13:916883. doi: 10.3389/fendo.2022.916883. eCollection 2022.

引用本文的文献

1
Association between atherogenic index of plasma and depression in premenopausal and postmenopausal women: A cross-sectional study.
PLoS One. 2025 Jul 2;20(7):e0327103. doi: 10.1371/journal.pone.0327103. eCollection 2025.
3
Muscle quality index and hyperuricemia: adipose tissue as a mediator.
Front Endocrinol (Lausanne). 2025 May 27;16:1562837. doi: 10.3389/fendo.2025.1562837. eCollection 2025.
4
Where Muscle Matters: How Regional Differences, Pain, and Gender Define Gamer Health.
Int J Environ Res Public Health. 2025 Apr 26;22(5):687. doi: 10.3390/ijerph22050687.
9
Association of metabolic syndrome and sarcopenia with all-cause and cardiovascular mortality: a prospective cohort study based on the NHANES.
Front Endocrinol (Lausanne). 2024 Mar 26;15:1346669. doi: 10.3389/fendo.2024.1346669. eCollection 2024.
10
Association between the homeostasis model assessment of insulin resistance and coronary artery calcification: a meta-analysis of observational studies.
Front Endocrinol (Lausanne). 2023 Nov 27;14:1271857. doi: 10.3389/fendo.2023.1271857. eCollection 2023.

本文引用的文献

1
Fat-to-muscle ratio is associated with insulin resistance and cardiometabolic disorders in adults with type 1 diabetes mellitus.
Diabetes Obes Metab. 2023 Nov;25(11):3181-3191. doi: 10.1111/dom.15212. Epub 2023 Jul 17.
3
BMI versus obesity subtypes in the era of precision medicine.
Lancet Diabetes Endocrinol. 2023 Jun;11(6):382-384. doi: 10.1016/S2213-8587(23)00088-8. Epub 2023 Apr 15.
4
Visceral fat correlates with insulin secretion and sensitivity independent of BMI and subcutaneous fat in Chinese with type 2 diabetes.
Front Endocrinol (Lausanne). 2023 Feb 27;14:1144834. doi: 10.3389/fendo.2023.1144834. eCollection 2023.
5
Age-specific and sex-specific associations of visceral adipose tissue mass and fat-to-muscle mass ratio with risk of mortality.
J Cachexia Sarcopenia Muscle. 2023 Feb;14(1):406-417. doi: 10.1002/jcsm.13142. Epub 2022 Nov 29.
6
Type 2 diabetes.
Lancet. 2022 Nov 19;400(10365):1803-1820. doi: 10.1016/S0140-6736(22)01655-5. Epub 2022 Nov 1.
8
Trends in insulin resistance: insights into mechanisms and therapeutic strategy.
Signal Transduct Target Ther. 2022 Jul 6;7(1):216. doi: 10.1038/s41392-022-01073-0.

文献AI研究员

20分钟写一篇综述,助力文献阅读效率提升50倍。

立即体验

用中文搜PubMed

大模型驱动的PubMed中文搜索引擎

马上搜索

文档翻译

学术文献翻译模型,支持多种主流文档格式。

立即体验