Suppr超能文献

混合胶体-聚电解质凝聚层的结构与动力学:分子模拟的见解

Structure and Dynamics of Hybrid Colloid-Polyelectrolyte Coacervates: Insights from Molecular Simulations.

作者信息

Yu Boyuan, Liang Heyi, Nealey Paul F, Tirrell Matthew V, Rumyantsev Artem M, de Pablo Juan J

机构信息

Pritzker School of Molecular Engineering, University of Chicago, Chicago, Illinois 60637, United States.

Center for Molecular Engineering, Argonne National Laboratory, Lemont, Illinois 60439, United States.

出版信息

Macromolecules. 2023 Sep 5;56(18):7256-7270. doi: 10.1021/acs.macromol.3c01079. eCollection 2023 Sep 26.

Abstract

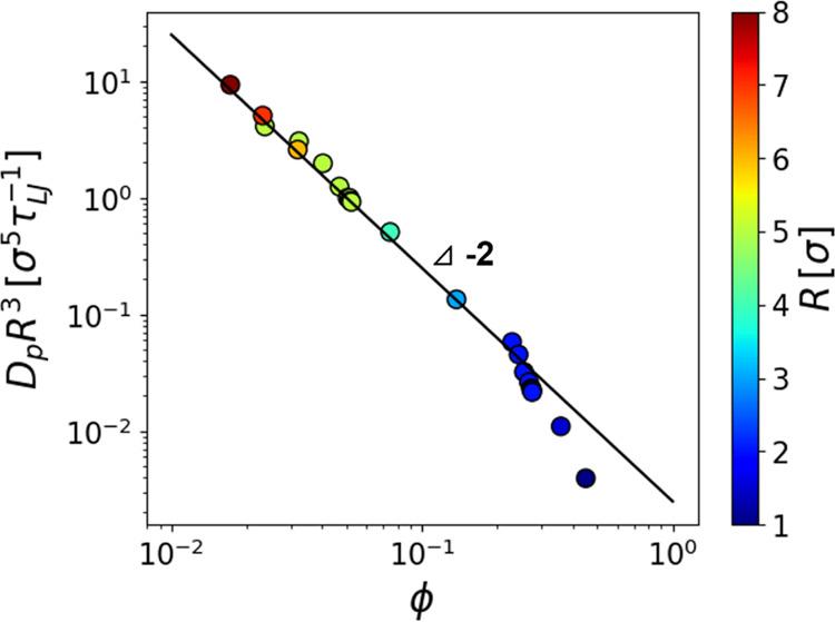
Electrostatic interactions in polymeric systems are responsible for a wide range of liquid-liquid phase transitions that are of importance for biology and materials science. Such transitions are referred to as complex coacervation, and recent studies have sought to understand the underlying physics and chemistry. Most theoretical and simulation efforts to date have focused on oppositely charged linear polyelectrolytes, which adopt nearly ideal-coil conformations in the condensed phase. However, when one of the coacervate components is a globular protein, a better model of complexation should replace one of the species with a spherical charged particle or colloid. In this work, we perform coarse-grained simulations of colloid-polyelectrolyte coacervation using a spherical model for the colloid. Simulation results indicate that the electroneutral cell of the resulting (hybrid) coacervates consists of a polyelectrolyte layer adsorbed on the colloid. Power laws for the structure and the density of the condensed phase, which are extracted from simulations, are found to be consistent with the adsorption-based scaling theory of hybrid coacervation. The coacervates remain amorphous (disordered) at a moderate colloid charge, , while an intra-coacervate colloidal crystal is formed above a certain threshold, at > *. In the disordered coacervate, if is sufficiently low, colloids diffuse as neutral nonsticky nanoparticles in the semidilute polymer solution. For higher , adsorption is strong and colloids become effectively sticky. Our findings are relevant for the coacervation of polyelectrolytes with proteins, spherical micelles of ionic surfactants, and solid organic or inorganic nanoparticles.

摘要

聚合物体系中的静电相互作用引发了一系列液-液相转变,这些转变对生物学和材料科学具有重要意义。此类转变被称为复合凝聚,近期的研究致力于理解其潜在的物理和化学原理。迄今为止,大多数理论和模拟工作都集中在带相反电荷的线性聚电解质上,它们在凝聚相中呈现出近乎理想的线圈构象。然而,当其中一种凝聚成分是球状蛋白质时,一个更好的复合模型应该用球形带电粒子或胶体来替代其中一个物种。在这项工作中,我们使用胶体的球形模型对胶体-聚电解质凝聚进行了粗粒度模拟。模拟结果表明,所得(混合)凝聚物的电中性单元由吸附在胶体上的聚电解质层组成。从模拟中提取的凝聚相结构和密度的幂律被发现与基于吸附的混合凝聚标度理论一致。在中等胶体电荷 时,凝聚物保持无定形(无序)状态,而在高于某个阈值 > * 时,会形成凝聚物内的胶体晶体。在无序凝聚物中,如果 足够低,胶体在半稀释聚合物溶液中作为中性非粘性纳米粒子扩散。对于更高的 ,吸附很强,胶体变得有效粘性。我们的发现与聚电解质与蛋白质、离子表面活性剂的球形胶束以及固体有机或无机纳米粒子的凝聚有关。

https://cdn.ncbi.nlm.nih.gov/pmc/blobs/3243/10538443/2bb79eeae6e5/ma3c01079_0002.jpg

文献AI研究员

20分钟写一篇综述,助力文献阅读效率提升50倍。

立即体验

用中文搜PubMed

大模型驱动的PubMed中文搜索引擎

马上搜索

文档翻译

学术文献翻译模型,支持多种主流文档格式。

立即体验