Suppr超能文献

霍普金斯狼疮队列中的东亚狼疮性肾炎

East-Asian lupus nephritis in the Hopkins Lupus Cohort.

作者信息

Petri Michelle, Fang Chenglong, Goldman Daniel W

机构信息

Johns Hopkins University School of Medicine, Department of Medicine, Division of Rheumatology, Baltimore, Maryland, USA.

Department of Rheumatology and Clinical Immunology, Peking Union Medical College Hospital, Chinese Academy of Medical Sciences& Peking Union Medical College; National Clinical Research Center for Dermatologic and Immunologic Diseases, Ministry of Science& Technology; State Key Laboratory of Complex Severe and Rare Diseases, Peking Union Medical College Hospital, Chinese Academy of Medical Sciences & Peking Union Medical College; Key Laboratory of Rheumatology and Clinical Immunology, Ministry of Education, Beijing 100730, China.

出版信息

Rheumatol Immunol Res. 2023 Sep 27;4(3):157-161. doi: 10.2478/rir-2023-0022. eCollection 2023 Sep.

Abstract

BACKGROUND AND OBJECTIVE

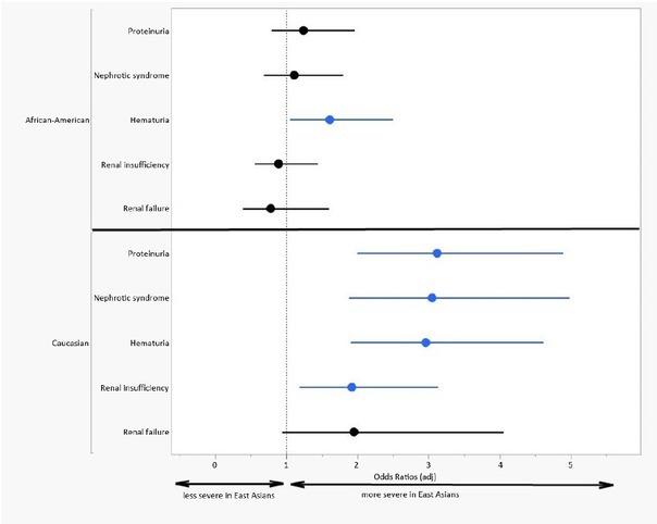
East Asian systemic lupus erythematosus (SLE) is under represented in lupus cohorts outside of East Asia. We asked whether lupus nephritis was more common and more severe in East Asians than in other ethnicities in a large United States SLE cohort.

METHODS

The Hopkins Lupus Cohort, a longitudinal cohort of 2802 patients (53.5% Caucasian, 39.2% African-American, 3.2% East Asian) was studied. The SLICC/ACR Damage Index was used to assess renal outcomes. Results: East Asian patients had the same prevalence of lupus nephritis as African-Americans and both were higher than Caucasians. East Asians were not significantly different in frequency of end stage kidney disease compared with African-Americans. East Asians were more likely than Caucasians to have anti-Sm, low C3 and low C4. East Asians were more likely than African-Americans to have low C3 and low C4.

CONCLUSION

East Asians living in the United States were more likely to have lupus nephritis than Caucasians. Poor outcomes such as end stage kidney disease occurred at an equal frequency in East Asians as in African-Americans. Lupus nephritis was both more frequent and more severe in East Asians than in African-Americans.

摘要

背景与目的

东亚地区的系统性红斑狼疮(SLE)在东亚以外的狼疮队列研究中代表性不足。我们探讨了在美国一个大型SLE队列中,东亚人患狼疮性肾炎是否比其他种族更常见、更严重。

方法

对霍普金斯狼疮队列进行研究,该队列包含2802例患者(53.5%为白种人,39.2%为非裔美国人,3.2%为东亚人)。采用SLICC/ACR损伤指数评估肾脏结局。结果:东亚患者狼疮性肾炎的患病率与非裔美国人相同,且均高于白种人。东亚人与非裔美国人相比,终末期肾病的发生率无显著差异。东亚人比白种人更易出现抗Sm抗体阳性、C3降低和C4降低。东亚人比非裔美国人更易出现C3降低和C4降低。

结论

在美国生活的东亚人比白种人更易患狼疮性肾炎。东亚人与非裔美国人终末期肾病等不良结局的发生率相同。东亚人患狼疮性肾炎比非裔美国人更常见、更严重。

https://cdn.ncbi.nlm.nih.gov/pmc/blobs/1279/10538617/75f612c28be1/j_rir-2023-0022_fig_001.jpg

文献AI研究员

20分钟写一篇综述,助力文献阅读效率提升50倍。

立即体验

用中文搜PubMed

大模型驱动的PubMed中文搜索引擎

马上搜索

文档翻译

学术文献翻译模型,支持多种主流文档格式。

立即体验