Pizzagalli Diego, Whitton Alexis, Treadway Michael, Rutherford Ashleigh, Kumar Poornima, Ironside Manon, Kaiser Roselinde, Ren Boyu, Dan Rotem
Harvard Medical School/McLean Hospital.
Black Dog Institute, University of New South Wales, Sydney.
Res Sq. 2023 Sep 28:rs.3.rs-3168186. doi: 10.21203/rs.3.rs-3168186/v1.
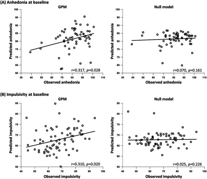
Clinical assessments often fail to discriminate between unipolar and bipolar depression and identify individuals who will develop future (hypo)manic episodes. To address this challenge, we developed a brain-based graph-theoretical predictive model (GPM) to prospectively map symptoms of anhedonia, impulsivity, and (hypo)mania. Individuals seeking treatment for mood disorders (n = 80) underwent an fMRI scan, including (i) resting-state and (ii) a reinforcement-learning (RL) task. Symptoms were assessed at baseline as well as at 3- and 6-month follow-ups. A whole-brain functional connectome was computed for each fMRI task, and the GPM was applied for symptom prediction using cross-validation. Prediction performance was evaluated by comparing the GPM's mean square error (MSE) to that of a corresponding null model. In addition, the GPM was compared to the connectome-based predictive modeling (CPM). Cross-sectionally, the GPM predicted anhedonia from the global efficiency (a graph theory metric that quantifies information transfer across the connectome) during the RL task, and impulsivity from the centrality (a metric that captures the importance of a region for information spread) of the left anterior cingulate cortex during resting-state. At 6-month follow-up, the GPM predicted (hypo)manic symptoms from the local efficiency of the left nucleus accumbens during the RL task and anhedonia from the centrality of the left caudate during resting-state. Notably, the GPM outperformed the CPM, and GPM derived from individuals with unipolar disorders predicted anhedonia and impulsivity symptoms for individuals with bipolar disorders, highlighting transdiagnostic generalization. Taken together, across DSM mood diagnoses, efficiency and centrality of the reward circuit predicted symptoms of anhedonia, impulsivity, and (hypo)mania, cross-sectionally and prospectively. The GPM is an innovative modeling approach that may ultimately inform clinical prediction at the individual level. ClinicalTrials.gov identifier: NCT01976975.
临床评估常常无法区分单相抑郁和双相抑郁,也难以识别出将来会出现(轻)躁狂发作的个体。为应对这一挑战,我们开发了一种基于大脑的图论预测模型(GPM),以前瞻性地描绘快感缺失、冲动性和(轻)躁狂症状。寻求情绪障碍治疗的个体(n = 80)接受了功能磁共振成像扫描,包括(i)静息状态和(ii)强化学习(RL)任务。在基线以及3个月和6个月随访时评估症状。针对每个功能磁共振成像任务计算全脑功能连接组,并使用交叉验证将GPM应用于症状预测。通过将GPM的均方误差(MSE)与相应的空模型进行比较来评估预测性能。此外,将GPM与基于连接组的预测建模(CPM)进行比较。在横断面研究中,GPM在RL任务期间根据全局效率(一种量化跨连接组信息传递的图论指标)预测快感缺失,在静息状态下根据左前扣带回皮质的中心性(一种捕捉区域对信息传播重要性的指标)预测冲动性。在6个月随访时,GPM在RL任务期间根据左伏隔核的局部效率预测(轻)躁狂症状,在静息状态下根据左尾状核的中心性预测快感缺失。值得注意的是,GPM优于CPM,并且源自单相障碍个体的GPM能够预测双相障碍个体的快感缺失和冲动性症状,突出了跨诊断的普遍性。总体而言,跨越《精神疾病诊断与统计手册》的情绪诊断,奖励回路的效率和中心性在横断面和前瞻性研究中均能预测快感缺失、冲动性和(轻)躁狂症状。GPM是一种创新的建模方法,最终可能为个体水平的临床预测提供依据。ClinicalTrials.gov标识符:NCT01976975。