Suppr超能文献

心房颤动患者的综合治疗 - ALL-IN 试验的预测异质治疗效果分析。

Integrated care in patients with atrial fibrillation- a predictive heterogeneous treatment effect analysis of the ALL-IN trial.

机构信息

Department of General Practice & Nursing Science, Julius Center for Health Sciences and Primary Care, University Medical Center Utrecht, Utrecht University, Utrecht, the Netherlands.

Department of Cardiology, Rijnstate, Arnhem, the Netherlands.

出版信息

PLoS One. 2023 Oct 19;18(10):e0292586. doi: 10.1371/journal.pone.0292586. eCollection 2023.

Abstract

INTRODUCTION

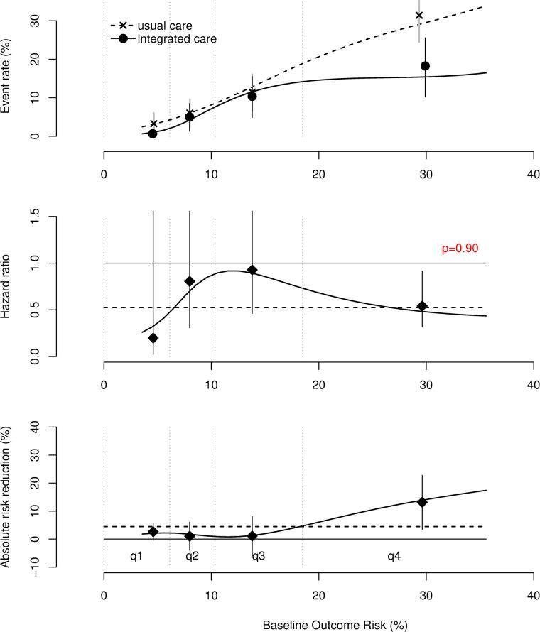
Integrated care is effective in reducing all-cause mortality in patients with atrial fibrillation (AF) in primary care, though time and resource intensive. The aim of the current study was to assess whether integrated care should be directed at all AF patients equally.

METHODS

The ALL-IN trial (n = 1,240 patients, median age 77 years) was a cluster-randomized trial in which primary care practices were randomized to provide integrated care or usual care to AF patients aged 65 years and older. Integrated care comprised of (i) anticoagulation monitoring, (ii) quarterly checkups and (iii) easy-access consultation with cardiologists. For the current analysis, cox proportional hazard analysis with all clinical variables from the CHA2DS2-VASc score was used to predict all-cause mortality in the ALL-IN trial. Subsequently, the hazard ratio and absolute risk reduction were plotted as a function of this predicted mortality risk to explore treatment heterogeneity.

RESULTS

Under usual care, after a median of 2 years follow-up the absolute risk of all-cause mortality in the highest-risk quarter was 31.0%, compared to 4.6% in the lowest-risk quarter. On the relative scale, there was no evidence of treatment heterogeneity (p for interaction = 0.90). However, there was substantial treatment heterogeneity on the absolute scale: risk reduction in the lowest risk- quarter of risk 3.3% (95% CI -0.4% - 7.0) compared to 12.0% (95% CI 2.7% - 22.0) in the highest risk quarter.

CONCLUSION

While the relative degree of benefit from integrated AF care is similar in all patients, patients with a high all-cause mortality risk have a greater benefit on an absolute scale and should therefore be prioritized when implementing integrated care.

摘要

简介

综合护理在初级保健中对降低房颤(AF)患者的全因死亡率有效,但需要投入大量的时间和资源。本研究旨在评估综合护理是否应该平等地针对所有 AF 患者。

方法

ALL-IN 试验(n = 1240 例患者,中位年龄 77 岁)为一项集群随机试验,其中初级保健实践被随机分配为 65 岁及以上的 AF 患者提供综合护理或常规护理。综合护理包括(i)抗凝监测,(ii)每季度检查和(iii)与心脏病专家的便捷咨询。对于当前的分析,使用来自 CHA2DS2-VASc 评分的所有临床变量的 Cox 比例风险分析来预测 ALL-IN 试验中的全因死亡率。随后,将风险比和绝对风险降低作为预测死亡率的函数绘制,以探索治疗异质性。

结果

在常规护理下,中位随访 2 年后,最高风险季度的全因死亡率的绝对风险为 31.0%,而最低风险季度为 4.6%。在相对规模上,没有治疗异质性的证据(p 交互= 0.90)。然而,在绝对规模上存在显著的治疗异质性:最低风险组的风险降低 3.3%(95%CI -0.4% - 7.0),而最高风险组的风险降低 12.0%(95%CI 2.7% - 22.0)。

结论

虽然综合 AF 护理的相对受益程度在所有患者中相似,但全因死亡率高的患者在绝对规模上获益更大,因此在实施综合护理时应优先考虑。

https://cdn.ncbi.nlm.nih.gov/pmc/blobs/d321/10586661/f531a671edc6/pone.0292586.g001.jpg

文献检索

告别复杂PubMed语法,用中文像聊天一样搜索,搜遍4000万医学文献。AI智能推荐,让科研检索更轻松。

立即免费搜索

文件翻译

保留排版,准确专业,支持PDF/Word/PPT等文件格式,支持 12+语言互译。

免费翻译文档

深度研究

AI帮你快速写综述,25分钟生成高质量综述,智能提取关键信息,辅助科研写作。

立即免费体验