• 文献检索
  • 文档翻译
  • 深度研究
  • 学术资讯
  • Suppr Zotero 插件Zotero 插件
  • 邀请有礼
  • 套餐&价格
  • 历史记录
应用&插件
Suppr Zotero 插件Zotero 插件浏览器插件Mac 客户端Windows 客户端微信小程序
定价
高级版会员购买积分包购买API积分包
服务
文献检索文档翻译深度研究API 文档MCP 服务
关于我们
关于 Suppr公司介绍联系我们用户协议隐私条款
关注我们

Suppr 超能文献

核心技术专利:CN118964589B侵权必究
粤ICP备2023148730 号-1Suppr @ 2026

文献检索

告别复杂PubMed语法,用中文像聊天一样搜索,搜遍4000万医学文献。AI智能推荐,让科研检索更轻松。

立即免费搜索

文件翻译

保留排版,准确专业,支持PDF/Word/PPT等文件格式,支持 12+语言互译。

免费翻译文档

深度研究

AI帮你快速写综述,25分钟生成高质量综述,智能提取关键信息,辅助科研写作。

立即免费体验

养狗对日本社区老年居民致残性痴呆症发病的保护作用:一项纵向研究。

Protective effects of dog ownership against the onset of disabling dementia in older community-dwelling Japanese: A longitudinal study.

作者信息

Taniguchi Yu, Seino Satoshi, Ikeuchi Tomoko, Hata Toshiki, Shinkai Shoji, Kitamura Akihiko, Fujiwara Yoshinori

机构信息

Japan Environment and Children's Study Programme Office, National Institute for Environmental Studies, Tsukuba, Japan. ADRESS:16-2 Onogawa, Tsukuba, Ibaraki 305-8506, Japan.

Research Team for Social Participation and Community Health, Tokyo Metropolitan Institute of Gerontology, Tokyo, Japan. ADRESS: 35-2 Sakae-cho, Itabashi-ku, Tokyo 173-0015, Japan.

出版信息

Prev Med Rep. 2023 Oct 7;36:102465. doi: 10.1016/j.pmedr.2023.102465. eCollection 2023 Dec.

DOI:10.1016/j.pmedr.2023.102465
PMID:37860160
原文链接:https://pmc.ncbi.nlm.nih.gov/articles/PMC10583170/
Abstract

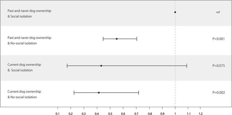
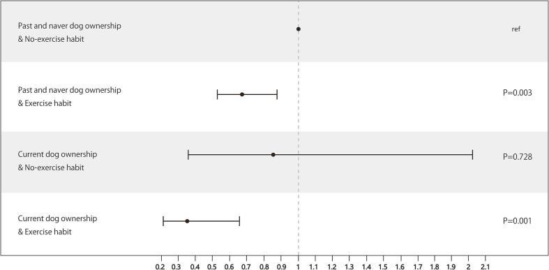
This prospective study examined the associations of dog/cat ownership with incident disabling dementia using propensity score matching based on the physical, social, and psychological characteristics of dog and cat owners. We also examined associations of the interaction between dog/cat ownership and exercise habit and social isolation with dementia. Overall, 11,194 older adults selected using stratified and random sampling strategies in 2016 were analyzed. Dog/cat ownership was defined as "current" or "past and never". Disabling dementia was defined according to physicians' rating in the long-term care insurance system in Japan during the approximately 4-year follow-up period. Statistical analysis was weighted by the inverse of the propensity score in the generalized estimating equation after adjusting for follow-up period. Current dog owners (8.6 %) had an odds ratio (OR) of 0.60 (95 %CI: 0.37-0.977) of having disabling dementia compared to past and never owners. For cat ownership, the corresponding OR was 0.98 (95 %CI: 0.62-1.55). Current dog owners with a regular exercise habit had an OR of 0.37 (0.20-0.68) compared to past and never dog owners with no exercise habit. Further, current dog owners with no social isolation had an OR of 0.41 (0.23-0.73) compared to past and never dog owners with social isolation. Dog ownership had a suppressive effect on incident disabling dementia after adjusting for background factors over a 4-year follow-up period. Specifically, dog owners with an exercise habit and no social isolation had a significantly lower risk of disabling dementia.

摘要

这项前瞻性研究基于养狗和养猫者的身体、社会和心理特征,采用倾向得分匹配法,研究了养狗/猫与致残性痴呆发病之间的关联。我们还研究了养狗/猫与运动习惯及社交孤立之间的相互作用与痴呆的关联。总体而言,对2016年采用分层随机抽样策略选取的11194名老年人进行了分析。养狗/猫被定义为“目前”或“过去养过且现在不养”。致残性痴呆根据日本长期护理保险系统中医生在约4年随访期内的评定来定义。在对随访期进行调整后,在广义估计方程中采用倾向得分的倒数进行加权统计分析。与过去养过且现在不养的人相比,目前养狗的人(8.6%)患致残性痴呆的比值比(OR)为0.60(95%置信区间:0.37 - 0.977)。对于养猫,相应的OR为0.98(95%置信区间:0.62 - 1.55)。与没有运动习惯的过去养过且现在不养的养狗者相比,有规律运动习惯的目前养狗者的OR为0.37(0.20 - 0.68)。此外,与有社交孤立的过去养过且现在不养的养狗者相比,没有社交孤立的目前养狗者的OR为0.41(0.23 - 0.73)。在对背景因素进行调整后,经过4年随访期,养狗对致残性痴呆的发病有抑制作用。具体而言,有运动习惯且没有社交孤立的养狗者患致残性痴呆的风险显著较低。

https://cdn.ncbi.nlm.nih.gov/pmc/blobs/a5ab/10583170/65a1605109f6/gr2.jpg
https://cdn.ncbi.nlm.nih.gov/pmc/blobs/a5ab/10583170/e4a43060a885/gr1.jpg
https://cdn.ncbi.nlm.nih.gov/pmc/blobs/a5ab/10583170/65a1605109f6/gr2.jpg
https://cdn.ncbi.nlm.nih.gov/pmc/blobs/a5ab/10583170/e4a43060a885/gr1.jpg
https://cdn.ncbi.nlm.nih.gov/pmc/blobs/a5ab/10583170/65a1605109f6/gr2.jpg

相似文献

1
Protective effects of dog ownership against the onset of disabling dementia in older community-dwelling Japanese: A longitudinal study.养狗对日本社区老年居民致残性痴呆症发病的保护作用:一项纵向研究。
Prev Med Rep. 2023 Oct 7;36:102465. doi: 10.1016/j.pmedr.2023.102465. eCollection 2023 Dec.
2
Association of Dog and Cat Ownership with Incident Frailty among Community-Dwelling Elderly Japanese.养犬和养猫与日本社区居住的老年人群体脆弱性事件的关联。
Sci Rep. 2019 Dec 9;9(1):18604. doi: 10.1038/s41598-019-54955-9.
3
Physical, social, and psychological characteristics of community-dwelling elderly Japanese dog and cat owners.社区居住的日本老年犬猫主人的身体、社会和心理特征。
PLoS One. 2018 Nov 14;13(11):e0206399. doi: 10.1371/journal.pone.0206399. eCollection 2018.
4
Evidence that dog ownership protects against the onset of disability in an older community-dwelling Japanese population.养狗可预防老年社区居住的日本人失能的发生:来自一项队列研究的证据。
PLoS One. 2022 Feb 23;17(2):e0263791. doi: 10.1371/journal.pone.0263791. eCollection 2022.
5
Associations of dog and cat ownership with wheezing and asthma in children: Pilot study of the Japan Environment and children's study.养狗和养猫与儿童喘息和哮喘的关系:日本环境与儿童研究的初步研究。
PLoS One. 2020 May 14;15(5):e0232604. doi: 10.1371/journal.pone.0232604. eCollection 2020.
6
Association between Experience of Pet Ownership and Psychological Health among Socially Isolated and Non-Isolated Older Adults.社会隔离和非隔离老年人的宠物饲养经历与心理健康之间的关联
Animals (Basel). 2021 Feb 24;11(3):595. doi: 10.3390/ani11030595.
7
Dog, cat, bird, fish, and other pet ownership and mortality: Evidence from the HILDA cohort.宠物狗、猫、鸟、鱼拥有情况与死亡率:来自 HILDA 队列研究的证据。
PLoS One. 2024 Aug 14;19(8):e0305546. doi: 10.1371/journal.pone.0305546. eCollection 2024.
8
Exposure to dogs and cats and risk of asthma: A retrospective study.接触狗和猫与哮喘风险:一项回顾性研究。
PLoS One. 2023 Mar 8;18(3):e0282184. doi: 10.1371/journal.pone.0282184. eCollection 2023.
9
Impact of dog and/or cat ownership on functional constipation at 3 years of age: the Japan Environment and Children's study.犬猫饲养对 3 岁时功能性便秘的影响:日本环境与儿童研究。
BMC Pediatr. 2023 Nov 23;23(1):595. doi: 10.1186/s12887-023-04412-4.
10
Pet ownership-related differences in medical and long-term care costs among community-dwelling older Japanese.养宠物与社区居住的日本老年人的医疗和长期护理费用之间的关系。
PLoS One. 2023 Jan 27;18(1):e0277049. doi: 10.1371/journal.pone.0277049. eCollection 2023.

引用本文的文献

1
Dog and Guardian Relationships: Application of a Dual-Process Actor-"Partner" Interdependence Model to Predict Regular Walking.人与宠物狗的关系:应用双过程“主人 - 宠物”相互依赖模型预测规律散步行为
Behav Sci (Basel). 2025 May 1;15(5):607. doi: 10.3390/bs15050607.
2
Social Frailty and Social Isolation in the Context of Dementia: A Simultaneous Concept Analysis.痴呆症背景下的社会脆弱性与社会隔离:一项同步概念分析
Int J Geriatr Psychiatry. 2025 Apr;40(4):e70074. doi: 10.1002/gps.70074.
3
A Pilot Randomized Controlled Trial to Examine the Impact of a Therapy Dog Intervention on Loneliness in Hospitalized Older Adults.

本文引用的文献

1
Introduction to Matching in Case-Control and Cohort Studies.病例对照研究和队列研究中的匹配介绍
Ann Clin Epidemiol. 2022 Apr 4;4(2):33-40. doi: 10.37737/ace.22005. eCollection 2022.
2
Pet ownership and survival of European older adults.欧洲老年人的宠物饲养情况与生存率
Eur J Ageing. 2022 Nov 4;19(4):1549-1560. doi: 10.1007/s10433-022-00739-6. eCollection 2022 Dec.
3
Pet ownership and psychological well-being during the COVID-19 pandemic.宠物拥有与新冠疫情期间的心理健康。
一项探讨治疗犬干预对住院老年人孤独感影响的试点随机对照试验。
Innov Aging. 2024 Sep 16;8(11):igae085. doi: 10.1093/geroni/igae085. eCollection 2024.
4
Investigation of dog ownership and physical activity on weekdays and weekends using longitudinal data from the SOEP Cohort.利用 SOEP 队列的纵向数据调查工作日和周末的养狗与身体活动情况。
Sci Rep. 2024 Oct 29;14(1):26007. doi: 10.1038/s41598-024-77231-x.
5
Dog, cat, bird, fish, and other pet ownership and mortality: Evidence from the HILDA cohort.宠物狗、猫、鸟、鱼拥有情况与死亡率:来自 HILDA 队列研究的证据。
PLoS One. 2024 Aug 14;19(8):e0305546. doi: 10.1371/journal.pone.0305546. eCollection 2024.
6
Cultural engagement and prevalence of pain in socially isolated older people: a longitudinal modified treatment policy approach.社交孤立的老年人的文化参与度与疼痛患病率:一种纵向改良治疗政策方法
EClinicalMedicine. 2024 Feb 8;69:102477. doi: 10.1016/j.eclinm.2024.102477. eCollection 2024 Mar.
Sci Rep. 2022 Apr 12;12(1):6091. doi: 10.1038/s41598-022-10019-z.
4
Association Between Physical Activity and Risk of Disabling Dementia in Japan.体力活动与日本失能性痴呆风险的关联。
JAMA Netw Open. 2022 Mar 1;5(3):e224590. doi: 10.1001/jamanetworkopen.2022.4590.
5
Evidence that dog ownership protects against the onset of disability in an older community-dwelling Japanese population.养狗可预防老年社区居住的日本人失能的发生:来自一项队列研究的证据。
PLoS One. 2022 Feb 23;17(2):e0263791. doi: 10.1371/journal.pone.0263791. eCollection 2022.
6
Global mortality from dementia: Application of a new method and results from the Global Burden of Disease Study 2019.全球痴呆症死亡率:一种新方法的应用及《2019年全球疾病负担研究》的结果
Alzheimers Dement (N Y). 2021 Jul 27;7(1):e12200. doi: 10.1002/trc2.12200. eCollection 2021.
7
Dog Walking and the Social Impact of the COVID-19 Pandemic on Loneliness in Older Adults.遛狗与新冠疫情对老年人孤独感的社会影响
Animals (Basel). 2021 Jun 22;11(7):1852. doi: 10.3390/ani11071852.
8
Impact of the First Wave of the COVID-19 Pandemic on New Applications for Long-term Care Insurance in a Metropolitan Area of Japan.新冠疫情第一波对日本某大都市长期护理保险新申请的影响。
J Epidemiol. 2021 Jun 5;31(6):401-402. doi: 10.2188/jea.JE20210047. Epub 2021 Apr 23.
9
Association between Experience of Pet Ownership and Psychological Health among Socially Isolated and Non-Isolated Older Adults.社会隔离和非隔离老年人的宠物饲养经历与心理健康之间的关联
Animals (Basel). 2021 Feb 24;11(3):595. doi: 10.3390/ani11030595.
10
How can dementia and disability be prevented in older adults: where are we today and where are we going?如何预防老年人的痴呆和残疾:我们今天在哪里,我们要去哪里?
J Intern Med. 2021 Jun;289(6):807-830. doi: 10.1111/joim.13227. Epub 2021 Jan 10.