• 文献检索
  • 文档翻译
  • 深度研究
  • 学术资讯
  • Suppr Zotero 插件Zotero 插件
  • 邀请有礼
  • 套餐&价格
  • 历史记录
应用&插件
Suppr Zotero 插件Zotero 插件浏览器插件Mac 客户端Windows 客户端微信小程序
定价
高级版会员购买积分包购买API积分包
服务
文献检索文档翻译深度研究API 文档MCP 服务
关于我们
关于 Suppr公司介绍联系我们用户协议隐私条款
关注我们

Suppr 超能文献

核心技术专利:CN118964589B侵权必究
粤ICP备2023148730 号-1Suppr @ 2026

文献检索

告别复杂PubMed语法,用中文像聊天一样搜索,搜遍4000万医学文献。AI智能推荐,让科研检索更轻松。

立即免费搜索

文件翻译

保留排版,准确专业,支持PDF/Word/PPT等文件格式,支持 12+语言互译。

免费翻译文档

深度研究

AI帮你快速写综述,25分钟生成高质量综述,智能提取关键信息,辅助科研写作。

立即免费体验

基于聚ε-己内酯和蒙脱石通过溶液浇铸和熔融挤出制备的复合聚合物颗粒

Composite Polymer Granules Based on Poly-ε-Caprolactone and Montmorillonite Prepared by Solution-Casting and Melt Extrusion.

作者信息

Sukhanova Anna, Boyandin Anatoly, Ertiletskaya Natalya, Shalygina Taisia, Shabanov Alexander, Vasiliev Alexander, Obvertkin Ivan, Brott Valeria, Prokopchuk Yulia, Samoilo Alexander

机构信息

Department of Biodegradable Polymers Materials, Reshetnev Siberian State University of Science and Technology, 31 Krasnoyarskiy Rabochiy Av., Krasnoyarsk 660037, Russia.

Department of Analysis, Synthesis, Modeling and Digital Design of Smart Materials with Specified Properties, Reshetnev Siberian State University of Science and Technology, 31 Krasnoyarskiy Rabochiy Av., Krasnoyarsk 660037, Russia.

出版信息

Polymers (Basel). 2023 Oct 16;15(20):4099. doi: 10.3390/polym15204099.

DOI:10.3390/polym15204099
PMID:37896341
原文链接:https://pmc.ncbi.nlm.nih.gov/articles/PMC10610963/
Abstract

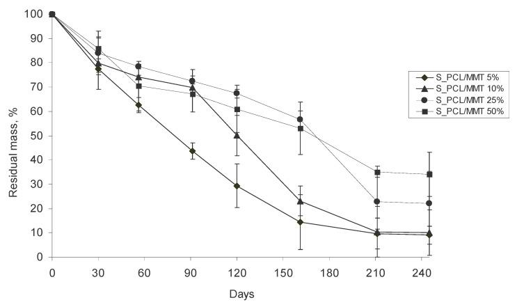
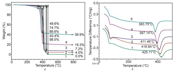
Eco-friendly polymer composites in the form of granules based on biodegradable polycaprolactone (PCL) with the inclusion of montmorillonite (MMT) from 5 to 50 wt% were prepared by solution-casting and melt extrusion. The physicochemical properties of the composite granules were studied using FTIR spectroscopy, XRDA, DSC, and TGA methods. The paper presents comparative values of crystallinity of composite granules which depend on the method of measuring (XRDA, DSC). It was shown that the crystallinity of PCL/MMT granules was affected by the preparation method and by the MMT content, and that with increase in MMT content, crystallinity increased by up to 61-67%. The change in crystallinity of the granules also affected its biodegradation in soil. At the end of exposure in soil, the mass loss for the granules prepared by solution-casting was more than 90%, whereas for the composite granules prepared by extrusion it was less than 60%. Applying melt extrusion enabled obtaining intercalated composites with predictable features, whereas only mixed-structure microcomposites could be prepared by solution-casting.

摘要

通过溶液浇铸和熔融挤出制备了基于可生物降解聚己内酯(PCL)并包含5至50重量%蒙脱石(MMT)的颗粒状环保聚合物复合材料。使用傅里叶变换红外光谱(FTIR)、X射线衍射分析(XRDA)、差示扫描量热法(DSC)和热重分析法(TGA)研究了复合颗粒的物理化学性质。本文给出了取决于测量方法(XRDA、DSC)的复合颗粒结晶度的比较值。结果表明,PCL/MMT颗粒的结晶度受制备方法和MMT含量的影响,并且随着MMT含量的增加,结晶度提高了61%至67%。颗粒结晶度的变化也影响其在土壤中的生物降解。在土壤中暴露结束时,通过溶液浇铸制备的颗粒质量损失超过90%,而通过挤出制备的复合颗粒质量损失小于60%。采用熔融挤出能够获得具有可预测特性的插层复合材料,而通过溶液浇铸只能制备混合结构的微复合材料。

https://cdn.ncbi.nlm.nih.gov/pmc/blobs/e634/10610963/63fa5f858d6c/polymers-15-04099-g012.jpg
https://cdn.ncbi.nlm.nih.gov/pmc/blobs/e634/10610963/1b0945d5174b/polymers-15-04099-g001.jpg
https://cdn.ncbi.nlm.nih.gov/pmc/blobs/e634/10610963/f6b3591835c1/polymers-15-04099-g002.jpg
https://cdn.ncbi.nlm.nih.gov/pmc/blobs/e634/10610963/6d9208b1766f/polymers-15-04099-g003.jpg
https://cdn.ncbi.nlm.nih.gov/pmc/blobs/e634/10610963/123e6e84e334/polymers-15-04099-g004.jpg
https://cdn.ncbi.nlm.nih.gov/pmc/blobs/e634/10610963/e6a05da4f8d5/polymers-15-04099-g005.jpg
https://cdn.ncbi.nlm.nih.gov/pmc/blobs/e634/10610963/7eeb6bc9fc14/polymers-15-04099-g006.jpg
https://cdn.ncbi.nlm.nih.gov/pmc/blobs/e634/10610963/52861b908d58/polymers-15-04099-g007.jpg
https://cdn.ncbi.nlm.nih.gov/pmc/blobs/e634/10610963/f8f841f4a188/polymers-15-04099-g008.jpg
https://cdn.ncbi.nlm.nih.gov/pmc/blobs/e634/10610963/71b17ffa8fd4/polymers-15-04099-g009.jpg
https://cdn.ncbi.nlm.nih.gov/pmc/blobs/e634/10610963/e8403657044f/polymers-15-04099-g010.jpg
https://cdn.ncbi.nlm.nih.gov/pmc/blobs/e634/10610963/ba2ab74b98db/polymers-15-04099-g011.jpg
https://cdn.ncbi.nlm.nih.gov/pmc/blobs/e634/10610963/63fa5f858d6c/polymers-15-04099-g012.jpg
https://cdn.ncbi.nlm.nih.gov/pmc/blobs/e634/10610963/1b0945d5174b/polymers-15-04099-g001.jpg
https://cdn.ncbi.nlm.nih.gov/pmc/blobs/e634/10610963/f6b3591835c1/polymers-15-04099-g002.jpg
https://cdn.ncbi.nlm.nih.gov/pmc/blobs/e634/10610963/6d9208b1766f/polymers-15-04099-g003.jpg
https://cdn.ncbi.nlm.nih.gov/pmc/blobs/e634/10610963/123e6e84e334/polymers-15-04099-g004.jpg
https://cdn.ncbi.nlm.nih.gov/pmc/blobs/e634/10610963/e6a05da4f8d5/polymers-15-04099-g005.jpg
https://cdn.ncbi.nlm.nih.gov/pmc/blobs/e634/10610963/7eeb6bc9fc14/polymers-15-04099-g006.jpg
https://cdn.ncbi.nlm.nih.gov/pmc/blobs/e634/10610963/52861b908d58/polymers-15-04099-g007.jpg
https://cdn.ncbi.nlm.nih.gov/pmc/blobs/e634/10610963/f8f841f4a188/polymers-15-04099-g008.jpg
https://cdn.ncbi.nlm.nih.gov/pmc/blobs/e634/10610963/71b17ffa8fd4/polymers-15-04099-g009.jpg
https://cdn.ncbi.nlm.nih.gov/pmc/blobs/e634/10610963/e8403657044f/polymers-15-04099-g010.jpg
https://cdn.ncbi.nlm.nih.gov/pmc/blobs/e634/10610963/ba2ab74b98db/polymers-15-04099-g011.jpg
https://cdn.ncbi.nlm.nih.gov/pmc/blobs/e634/10610963/63fa5f858d6c/polymers-15-04099-g012.jpg

相似文献

1
Composite Polymer Granules Based on Poly-ε-Caprolactone and Montmorillonite Prepared by Solution-Casting and Melt Extrusion.基于聚ε-己内酯和蒙脱石通过溶液浇铸和熔融挤出制备的复合聚合物颗粒
Polymers (Basel). 2023 Oct 16;15(20):4099. doi: 10.3390/polym15204099.
2
Effects of Montmorillonite and Gentamicin Addition on the Properties of Electrospun Polycaprolactone Fibers.添加蒙脱石和庆大霉素对静电纺聚己内酯纤维性能的影响。
Materials (Basel). 2021 Nov 16;14(22):6905. doi: 10.3390/ma14226905.
3
New generation poly(ε-caprolactone)/gel-derived bioactive glass composites for bone tissue engineering: Part I. Material properties.用于骨组织工程的新一代聚(ε-己内酯)/凝胶衍生生物活性玻璃复合材料:第一部分。材料特性。
Mater Sci Eng C Mater Biol Appl. 2015 Nov 1;56:9-21. doi: 10.1016/j.msec.2015.06.020. Epub 2015 Jun 11.
4
Crystallization Behavior of Poly(ε-Caprolactone)-Hollow Glass Microspheres Composites for Rotational Molding Technology.用于滚塑工艺的聚(ε-己内酯)-中空玻璃微球复合材料的结晶行为
Polymers (Basel). 2022 Oct 14;14(20):4326. doi: 10.3390/polym14204326.
5
Viscoelastic, Thermal, and Mechanical Properties of Melt-Processed Poly (ε-Caprolactone) (PCL)/Hydroxyapatite (HAP) Composites.熔融加工聚(ε-己内酯)(PCL)/羟基磷灰石(HAP)复合材料的粘弹性、热性能和力学性能
Materials (Basel). 2021 Dec 24;15(1):104. doi: 10.3390/ma15010104.
6
Electrospun composite matrices of poly(ε-caprolactone)-montmorillonite made using tenside free Pickering emulsions.使用无表面活性剂的皮克林乳液制备的聚(ε-己内酯)-蒙脱石电纺复合基质。
Mater Sci Eng C Mater Biol Appl. 2016 Dec 1;69:685-91. doi: 10.1016/j.msec.2016.07.046. Epub 2016 Jul 22.
7
Study of Thermal, Mechanical and Barrier Properties of Biodegradable PLA/PBAT Films with Highly Oriented MMT.具有高度取向蒙脱土的可生物降解聚乳酸/聚己二酸/对苯二甲酸丁二醇酯薄膜的热性能、力学性能和阻隔性能研究
Materials (Basel). 2021 Nov 25;14(23):7189. doi: 10.3390/ma14237189.
8
Paracetamol-loaded poly(epsilon-caprolactone) layered silicate nanocomposites prepared using hot-melt extrusion.载对乙酰氨基酚的聚己内酯层状硅酸盐纳米复合材料的热熔挤出法制备。
J Pharm Sci. 2009 Dec;98(12):4831-43. doi: 10.1002/jps.21787.
9
In situ preparation of hetero-polymers/clay nanocomposites by CUAAC click chemistry.通过铜催化的叠氮-炔环加成(CUAAC)点击化学原位制备杂化聚合物/粘土纳米复合材料
Turk J Chem. 2021 Feb 17;45(1):50-59. doi: 10.3906/kim-2007-62. eCollection 2021.
10
Biobased contents of biodegradable poly(epsilon-caprolactone) composites polymerized and directly molded using aluminium triflate from caprolactone with cellulose and inorganic filler.使用三氟甲磺酸铝从己内酯与纤维素和无机填料聚合并直接模塑而成的可生物降解聚(ε-己内酯)复合材料的生物基含量。
Macromol Biosci. 2006 Jul 14;6(7):517-23. doi: 10.1002/mabi.200600037.

引用本文的文献

1
Biodegradable Polymers in Biomedical Applications: A Review-Developments, Perspectives and Future Challenges.可生物降解聚合物在生物医学中的应用:综述——发展、观点和未来挑战。
Int J Mol Sci. 2023 Nov 29;24(23):16952. doi: 10.3390/ijms242316952.

本文引用的文献

1
Biodegradable Mulching Film vs. Traditional Polyethylene: Effects on Yield and Quality of San Marzano Tomato Fruits.可生物降解地膜与传统聚乙烯地膜:对圣马扎诺番茄果实产量和品质的影响
Plants (Basel). 2023 Sep 7;12(18):3203. doi: 10.3390/plants12183203.
2
Technological Aspects and Evaluation Methods for Polymer Matrices as Dental Drug Carriers.作为牙科药物载体的聚合物基质的技术方面和评估方法
Biomedicines. 2023 Apr 25;11(5):1274. doi: 10.3390/biomedicines11051274.
3
Biodegradable Mulching Films Based on Polycaprolactone and Its Porous Structure Construction.
基于聚己内酯的可生物降解地膜及其多孔结构构建
Polymers (Basel). 2022 Dec 7;14(24):5340. doi: 10.3390/polym14245340.
4
Degradability and Properties of PBAT-Based Biodegradable Mulch Films in Field and Their Effects on Cotton Planting.PBAT基可降解地膜在田间的降解性能及特性及其对棉花种植的影响
Polymers (Basel). 2022 Aug 2;14(15):3157. doi: 10.3390/polym14153157.
5
Shape-Memory Polymer Nanocomposites of Poly(ε-caprolactone) with the Polystyrene--polybutadiene--polystyrene-tri- Copolymer Encapsulated with Metal Oxides.聚(ε-己内酯)与金属氧化物封装的聚苯乙烯-聚丁二烯-聚苯乙烯三嵌段共聚物的形状记忆聚合物纳米复合材料
ACS Omega. 2021 Feb 22;6(9):6261-6273. doi: 10.1021/acsomega.0c05839. eCollection 2021 Mar 9.
6
The effect of diameter of fibre on formation of hydrogen bonds and mechanical properties of 3D-printed PCL.纤维直径对3D打印聚己内酯中氢键形成及力学性能的影响。
Mater Sci Eng C Mater Biol Appl. 2020 Sep;114:111072. doi: 10.1016/j.msec.2020.111072. Epub 2020 May 11.
7
Effect of Organic Modifier and Clay Content on Non-Isothermal Cold Crystallization and Melting Behavior of Polylactide/Organovermiculite Nanocomposites.有机改性剂和黏土含量对聚乳酸/有机蛭石纳米复合材料非等温冷结晶及熔融行为的影响
Polymers (Basel). 2020 Feb 7;12(2):364. doi: 10.3390/polym12020364.
8
Poly(ε-Caprolactone)/Poly(Lactic Acid) Blends Compatibilized by Peroxide Initiators: Comparison of Two Strategies.过氧化物引发剂增容的聚(ε-己内酯)/聚乳酸共混物:两种策略的比较
Polymers (Basel). 2020 Jan 16;12(1):228. doi: 10.3390/polym12010228.
9
Starch/PCL composite nanofibers by co-axial electrospinning technique for biomedical applications.用于生物医学应用的同轴静电纺丝技术制备淀粉/聚己内酯复合纳米纤维
Biomed Eng Online. 2017 Mar 29;16(1):40. doi: 10.1186/s12938-017-0334-y.